15 Bài tập Hình chóp đều và hình chóp cụt đều lớp 8 (có đáp án)
Bài viết 15 Bài tập Hình chóp đều và hình chóp cụt đều có đáp án gồm các dạng bài tập về Hình chóp đều và hình chóp cụt đều lớp 8 từ cơ bản đến nâng cao giúp học sinh lớp 8 biết cách làm bài tập Hình chóp đều và hình chóp cụt đều.
15 Bài tập Hình chóp đều và hình chóp cụt đều lớp 8 (có đáp án)
(199k) Xem Khóa học Toán 8 KNTTXem Khóa học Toán 8 CTSTXem Khóa học Toán 8 CD
Bài 1: Chọn phát biểu sai trong các phát biểu sau?
A. Hình chóp đều là hình chóp có đáy là một đa giác bất kì, các mặt bên là những tam giác bất kì có chung đỉnh.
B. Chân đường cao của hình chóp đều trùng với tâm của đường tròn đi qua các đỉnh của mặt đáy.
C. Đường cao vẽ từ đỉnh của mỗi mặt bên của hình chóp đều được gọi là trung đoạn của hình chóp đó.
D. Trong hình chóp đường thẳng đi qua đỉnh và vuông góc với mặt phẳng đáy gọi là đường cao.
Lời giải:
Áp dụng định nghĩa của hình chóp: Hình chóp đều là hình chóp có đáy là một đa giác đều, các mặt bên là những tam giác cân bằng nhau có chung đỉnh.
Phát biểu A sai.
Chọn đáp án A.
Bài 2: Mặt bên của hình chóp cụt đều là hình gì?
A. Hình chữ nhật
B. Hình vuông.
C. Hình thang cân
D. Tứ giác bất kì
Lời giải:
Áp dụng định nghĩa của hình thang cân ta có: Mỗi mặt bên của hình chóp cụt đều là một hình thang cân.
Chọn đáp án C.
Bài 3: Hình chóp tứ giác đều có mặt bên là hình gì?
A. Tam giác cân
B. Tam giác đều
C. Tam giác vuông
D. Tam giác vuông cân
Lời giải:
Hình chóp tứ giác đều có mặt bên là tam giác cân.
Chọn đáp án A.
Bài 4: Hình chóp lục giác đều có bao nhiêu mặt?
A. 4 B. 5
C. 6 D. 7
Lời giải:
Hình chóp lục giác đều gồm có 6 mặt bên và 1 mặt đáy.
Chọn đáp án D.
Bài 5: Hình chóp tam giác đều có đáy là?
A. Tam giác cân
B. Tam giác đều
C. Tam giác vuông
D. Hình vuông
Lời giải:
Hình chóp tam giác đều có đáy là tam giác đều.
Chọn đáp án B
Bài 6: Hình chóp ngũ giác đều có bao nhiêu mặt bên?
A. 5 B. 6
C. 4 D. 7
Lời giải:
Hình chóp ngũ giác đều có đáy là ngũ giác đều và có 5 mặt bên.
Chọn đáp án A
Bài 7: Hình chóp tứ giác đều có tất cả bao nhiêu mặt?
A. 3 B. 4
C. 5 D. 6
Lời giải:
Hình chóp tứ giác đều có 4 mặt bên và 1 mặt đáy
Vậy có tất cả 5 mặt
Chọn đáp án C
Bài 8: Hình chóp lục giác đều có bao nhiêu cạnh ?
A. 6 B.7
C. 10 D.12
Lời giải:
Hình chóp lục giác đều có đáy là lục giác đều có 6 cạnh bằng nhau và có 6 cạnh bên.
Do đó, có tất cả 6 + 6 = 12 cạnh
Chọn đáp án D
Bài 9: Cho hình chóp tứ giác đều. Khi đó:
A. Đáy là hình vuông
B. Có 4 mặt bên
C. Có tất cả 8 cạnh
D. Số mặt của hình chóp là 4.
Chọn khẳng định sai
Lời giải:
Hình chóp tứ giác đều có:
+ Đáy là hình vuông.
+ Có 4 mặt bên và 1 mặt đáy. Nên có tất cả 5 mặt.
+ Số cạnh đáy là 4, số cạnh bên là 4 nên có tất cả 8 cạnh
Chọn đáp án D
Bài 11: Một hình chóp tứ giác đều có thể tích bằng 200cm3, chiều cao bằng 12cm. Tính độ dài cạnh bên.
A. 12cm
B. 13cm
C. 11cm
D. 16cm
Lời giải
Xét hình chóp tứ giác đều S.ABCD có V = 200cm3, đường cao SH = 12cm.
Ta có:
Tức BC2 = 50
Tam giác BHC vuông cân nên HB2 + HC2 = BC2 hay 2HC2 = BC2 hay 2HC2 = 50
Suy ra HC2 = 25
SC2 = SH2 + HC2 = 122 + 252 = 169 = 132.
Vậy SC = 13cm.
Vậy độ dài cạnh bên là 13cm.
Đáp án cần chọn là: B
Bài 12: Một hình chóp có thể tích bằng 64cm3, chiều cao bằng 12cm. Tính độ dài cạnh đáy.
A. 16cm
B. 8cm
C. 4cm
D. 10cm
Lời giải
Xét hình chóp tứ giác đều S.ABCD có V = 64cm3, đường cao h = 12cm.
Ta có:
Tức BC2 = 50 ⇒ BC = 4
Vậy độ dài cạnh đáy là 4cm
Đáp án cần chọn là: C
Bài 13: Thể tích của hình chóp tứ giác đều có chiều cao 6cm, cạnh đáy 4cm là
A. 32cm3
B. 24cm3
C. 144cm3
D. 96cm3
Lời giải
Đáy của hình chóp tứ giác đều là hình vuông nên diện tích đáy là S = 42 = 16cm2
Thể tích cần tìm là:
Đáp án cần chọn là: A
Bài 14: Thể tích của hình chóp tứ giác đều có chiều cao 9cm, cạnh đáy 5cm là
A. 75cm3
B. 225cm3
C. 180cm3
D. 60cm3
Lời giải
Đáy của hình chóp tứ giác đều là hình vuông nên diện tích đáy là S = 52 = 25cm2
Thể tích cần tìm là:
Đáp án cần chọn là: A
Bài 15: Tính diện tích xung quanh của hình chóp cụt tứ giác đều có các cạnh đáy bằng 6cm và 8cm, chiều cao của mặt bên bằng 5cm.
A. 120cm2
B. 70cm2
C. 150cm2
D. 140cm2
Lời giải
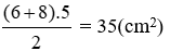
Mặt bên hình chóp cụt tứ giác đều là hình thang cân nên diện tích một mặt bên bằng:
Hình chóp cụt tứ giác đều có 4 mặt bên bằng nhau nên diện tích xung quanh bằng 35.4 = 140 (cm2)
Đáp án cần chọn là: D
(199k) Xem Khóa học Toán 8 KNTTXem Khóa học Toán 8 CTSTXem Khóa học Toán 8 CD
Xem thêm các phần lý thuyết, các dạng bài tập Toán lớp 8 có đáp án chi tiết hay khác:
- Lý thuyết Hình chóp đều và hình chóp cụt đều
- Lý thuyết Hình chóp đều
- Bài tập Hình chóp đều
- Lý thuyết Diện tích xung quanh của hình chóp đều
- Lý thuyết Thể tích của hình chóp đều
- Tổng hợp Lý thuyết & Trắc nghiệm Chương 4 Hình học 8
Xem thêm các loạt bài Để học tốt Toán lớp 8 hay khác:
Tủ sách VIETJACK shopee lớp 6-8 (2025):
Đã có app VietJack trên điện thoại, giải bài tập SGK, SBT Soạn văn, Văn mẫu, Thi online, Bài giảng....miễn phí. Tải ngay ứng dụng trên Android và iOS.
Theo dõi chúng tôi miễn phí trên mạng xã hội facebook và youtube:Loạt bài Lý thuyết & 700 Bài tập Toán lớp 8 có lời giải chi tiết có đầy đủ Lý thuyết và các dạng bài có lời giải chi tiết được biên soạn bám sát nội dung chương trình sgk Đại số 8 và Hình học 8.
Nếu thấy hay, hãy động viên và chia sẻ nhé! Các bình luận không phù hợp với nội quy bình luận trang web sẽ bị cấm bình luận vĩnh viễn.
- Giải Tiếng Anh 8 Global Success
- Giải sgk Tiếng Anh 8 Smart World
- Giải sgk Tiếng Anh 8 Friends plus
- Lớp 8 - Kết nối tri thức
- Soạn văn 8 (hay nhất) - KNTT
- Soạn văn 8 (ngắn nhất) KNTT
- Giải sgk Toán 8 - KNTT
- Giải sgk Khoa học tự nhiên 8 - KNTT
- Giải sgk Lịch Sử 8 - KNTT
- Giải sgk Địa Lí 8 - KNTT
- Giải sgk Giáo dục công dân 8 - KNTT
- Giải sgk Tin học 8 - KNTT
- Giải sgk Công nghệ 8 - KNTT
- Giải sgk Hoạt động trải nghiệm 8 - KNTT
- Giải sgk Âm nhạc 8 - KNTT
- Lớp 8 - Chân trời sáng tạo
- Soạn văn 8 (hay nhất) - CTST
- Soạn văn 8 (ngắn nhất) - CTST
- Giải sgk Toán 8 - CTST
- Giải sgk Khoa học tự nhiên 8 - CTST
- Giải sgk Lịch Sử 8 - CTST
- Giải sgk Địa Lí 8 - CTST
- Giải sgk Giáo dục công dân 8 - CTST
- Giải sgk Tin học 8 - CTST
- Giải sgk Công nghệ 8 - CTST
- Giải sgk Hoạt động trải nghiệm 8 - CTST
- Giải sgk Âm nhạc 8 - CTST
- Lớp 8 - Cánh diều
- Soạn văn 8 Cánh diều (hay nhất)
- Soạn văn 8 Cánh diều (ngắn nhất)
- Giải sgk Toán 8 - Cánh diều
- Giải sgk Khoa học tự nhiên 8 - Cánh diều
- Giải sgk Lịch Sử 8 - Cánh diều
- Giải sgk Địa Lí 8 - Cánh diều
- Giải sgk Giáo dục công dân 8 - Cánh diều
- Giải sgk Tin học 8 - Cánh diều
- Giải sgk Công nghệ 8 - Cánh diều
- Giải sgk Hoạt động trải nghiệm 8 - Cánh diều
- Giải sgk Âm nhạc 8 - Cánh diều


Giải bài tập SGK & SBT
Tài liệu giáo viên
Sách
Khóa học
Thi online
Hỏi đáp

