15 Bài tập Khái niệm hai tam giác đồng dạng lớp 8 (có đáp án)
Bài viết 15 Bài tập Khái niệm hai tam giác đồng dạng có đáp án gồm các dạng bài tập về Khái niệm hai tam giác đồng dạng lớp 8 từ cơ bản đến nâng cao giúp học sinh lớp 8 biết cách làm bài tập Khái niệm hai tam giác đồng dạng.
15 Bài tập Khái niệm hai tam giác đồng dạng lớp 8 (có đáp án)
(199k) Xem Khóa học Toán 8 KNTTXem Khóa học Toán 8 CTSTXem Khóa học Toán 8 CD
Bài 1: Ta có Δ MNP ∼ Δ ABC thì
A. MN/AB = MP/AC
B. MN/AB = MP/BC
C. MN/AB = NP/AC
D. MN/BC = NP/AC
Lời giải:
Ta có: Δ MNP ∼ Δ ABC ⇒ MN/AB = NP/BC = MP/AC
Chọn đáp án A.
Bài 2: Cho Δ ABC ∼ Δ A'B'C' có AB = 3A'B'. Kết quả nào sau đây sai?
A. Aˆ = A'ˆ; Bˆ = B'ˆ
B. A'C' = 1/3AC
C. AC/BC = A'C'/B'C' = 3
D. AB/A'B' = AC/A'C' = BC/B'C'
Lời giải:
Ta có: Δ ABC ∼ Δ A'B'C' ⇒
Đáp án C sai.
Chọn đáp án C.
Bài 3: Cho Δ ABC ∼ Δ A'B'C' có AB/A'B' = 2/5. Biết hiệu số chu vi của Δ A'B'C' và Δ ABC là 30cm. Phát biểu nào sau đây đúng?
A. Chu vi của Δ ABC là 20cm, chu vi của Δ A'B'C' là 50cm.
B. Chu vi của Δ ABC là 50cm, chu vi của Δ A'B'C' là 20cm.
C. Chu vi của Δ ABC là 45cm, chu vi của Δ A'B'C' là 75cm.
D. Cả 3 đáp án đều sai.
Lời giải:
Ta có: Δ ABC ∼ Δ A'B'C'
Khi đó
Mà PA'B'C' - PABC = 30cm.
Suy ra
Vậy chu vi của Δ ABC là 20cm, chu vi của Δ A'B'C' là 50cm.
Chọn đáp án A.
Bài 4: Cho Δ ABC có AB = 8cm,AC = 6cm,BC = 10cm. Tam giác A'B'C' đồng dạng với tam giác ABC có độ dài cạnh lớn nhất là 25 cm. Tính độ dài các cạnh còn lại của Δ A'B'C' ?
A. 4cm; 3cm B. 7,5cm; 10cm
C. 4,5cm; 6cm D. 15cm; 20cm
Lời giải:
Ta có: Δ ABC ∼ Δ A'B'C'
Chọn đáp án D.
Bài 5: Cho Δ ABC ∼ Δ DEF có tỉ số đồng dạng là k = 3/5, chu vi của Δ ABC bằng 12cm. Chu vi của Δ DEF là?
A. 7,2cm B. 20cm
C. 3cm D. 17/3cm
Lời giải:
Ta có: Δ ABC ∼ Δ DEF
Chọn đáp án B.
Bài 6: Cho hai tam giác ABC và MNP đồng dạng với nhau. Biết
A. 180cm B. 20cm
C. 30cm D. 57cm
Lời giải:
Do tam giác ABC đồng dạng với tam giác MNP nên:
Theo tính chất của dãy tỉ số bằng nhau ta có:
Vậy
Chọn đáp án A
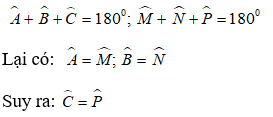
Bài 7: Cho hai tam giác ABC và MNP có:
Tìm khẳng định đúng
A. Hai tam giác ABC và MNP đồng dạng với nhau.
B. Chưa thể kết luận hai tam giác này đồng dạng.
C. ∠C ≠ ∠P
D. Tất cả sai.
Lời giải:
Tổng ba góc trong 1 tam giác bằng 180o nên :
Do đó, hai tam giác ABC và MNP đồng dạng với nhau
Chọn đáp án A
Bài 8: Cho tam giác ABC, gọi M, N và P theo thứ tự là trung điểm của AB, AC và BC. Khi đó tam giác AMN đồng dạng với tam giác nào ?
A. ΔAMC B. ΔABC
C. ΔABP D. ΔAPC
Lời giải:
Xét tam giác ABC có M và N lần lượt là trung điểm của AB và AC nên MN là đường trung bình của tam giác ABC
Suy ra: MN // B C
Do đó, tam giác AMN đồng dạng với tam giác ABC ( định lí)
Chọn đáp án B
Bài 9: Cho tam giác ABC, trên đoạn thẳng AB và AC lấy các điểm M và N sao cho AM = 6cm; MB = 8cm; AN = 3cm và AC = 7cm. Tìm khẳng định sai ?
A.
B. Hai tam giác AMN và ABC đồng dạng với nhau
C. MN// BC
D. Tam giác AMC đồng dạng với tam giác ABN.
Lời giải:
Ta có: NC = AC – AN = 7 – 3 = 4cm
Vì
nên MN // BC (định lí Ta let đảo)
Suy ra: Tam giác AMN đồng dạng với tam giác ABC.
Ta có:
Chọn đáp án D
Bài 10: Cho 2 tam giác ABC và MNP đồng dạng với nhau. Biết chu vi tam giác ABC là 40cm; AB = 4cm; MN = 10cm . Tính chu vi tam giác MNP?
A. 50cm B. 60cm
C. 100cm D. 80cm
Lời giải:
Vì tam giác ABC đồng dạng với tam giác MNP nên;
Theo tính chất dãy tỉ số bằng nhau ta có:
Chọn đáp án C
Bài 11: Hãy chọn câu đúng. Hai ΔABC và ΔDEF có . Nếu ΔABC đồng dạng với ΔDEF thì:
Lời giải
Vì tam giác ABC đồng dạng với tam giác DEF nên:
Đáp án cần chọn là: D
Bài 12: Cho ΔABC đồng dạng với ΔDEF và . Số đo góc Ê là:
A. 800
B. 300
C. 700
D. 500
Lời giải
Mà tam giác ABC đồng dạng với tam giác DEF nên:
Đáp án cần chọn là: B
Bài 13: Hãy chọn câu đúng. Tam giác ABC đồng dạng với tam giác MNP theo tỉ số , biết chu vi của tam giác ABC bằng 40 cm. Chu vi của tam giác MNP là:
A. 60 cm
B. 20 cm
C. 30 cm
D. 45 cm
Lời giải
Vì tam giác ABC đồng dạng với tam giác MNP theo tỉ số nên
Đáp án cần chọn là: A
Bài 14: Hãy chọn câu đúng. Cho tam giác ABC có AB = AC = 5cm, BC = 4 cm đồng dạng với tam giác MNP theo tỉ số . Chu vi của tam giác MNP là:
A. 4 cm
B. 21 cm
C. 14 cm
D. 49 cm
Lời giải
Vì tam giác ABC đồng dạng với tam giác MNP theo tỉ số nên
Đáp án cần chọn là: D
Bài 15: Cho tứ giác ABCD có đường chéo BD chia tứ giác đó thành hai tam giác đồng dạng ΔABD và ΔBDC.
1. Chọn câu đúng nhất.
A. AB // DC
B. ABCD là hình thang
C. ABCD là hình bình hành
D. Cả A, B đều đúng
Lời giải
Vì ΔABD ⁓ ΔBDC (gt) nên (hai góc tương ứng).
Mà hai góc này ở vị trí so le trong nên AB // CD suy ra ABCD là hình thang (dấu hiệu nhận biết)
Đáp án cần chọn là: D
2. Tính các độ dài BD, BC biết AB = 2cm, AD = 3cm, CD = 8cm.
A. BD = 5cm, BC = 6cm
B. BD = 6cm, BC = 4cm
C. BD = 6cm, BC = 6cm
D. BD = 4cm, BC = 6cm
Lời giải
Đáp án cần chọn là: D
(199k) Xem Khóa học Toán 8 KNTTXem Khóa học Toán 8 CTSTXem Khóa học Toán 8 CD
Xem thêm các phần lý thuyết, các dạng bài tập Toán lớp 8 có đáp án chi tiết hay khác:
- Lý thuyết Tính chất đường phân giác của tam giác
- Bài tập Tính chất đường phân giác của tam giác
- Lý thuyết Khái niệm hai tam giác đồng dạng
- Lý thuyết Các trường hợp đồng dạng của tam giác
- Bài tập Các trường hợp đồng dạng của tam giác
Xem thêm các loạt bài Để học tốt Toán lớp 8 hay khác:
Tủ sách VIETJACK shopee lớp 6-8 (2025):
Đã có app VietJack trên điện thoại, giải bài tập SGK, SBT Soạn văn, Văn mẫu, Thi online, Bài giảng....miễn phí. Tải ngay ứng dụng trên Android và iOS.
Theo dõi chúng tôi miễn phí trên mạng xã hội facebook và youtube:Loạt bài Lý thuyết & 700 Bài tập Toán lớp 8 có lời giải chi tiết có đầy đủ Lý thuyết và các dạng bài có lời giải chi tiết được biên soạn bám sát nội dung chương trình sgk Đại số 8 và Hình học 8.
Nếu thấy hay, hãy động viên và chia sẻ nhé! Các bình luận không phù hợp với nội quy bình luận trang web sẽ bị cấm bình luận vĩnh viễn.
- Giải Tiếng Anh 8 Global Success
- Giải sgk Tiếng Anh 8 Smart World
- Giải sgk Tiếng Anh 8 Friends plus
- Lớp 8 - Kết nối tri thức
- Soạn văn 8 (hay nhất) - KNTT
- Soạn văn 8 (ngắn nhất) KNTT
- Giải sgk Toán 8 - KNTT
- Giải sgk Khoa học tự nhiên 8 - KNTT
- Giải sgk Lịch Sử 8 - KNTT
- Giải sgk Địa Lí 8 - KNTT
- Giải sgk Giáo dục công dân 8 - KNTT
- Giải sgk Tin học 8 - KNTT
- Giải sgk Công nghệ 8 - KNTT
- Giải sgk Hoạt động trải nghiệm 8 - KNTT
- Giải sgk Âm nhạc 8 - KNTT
- Lớp 8 - Chân trời sáng tạo
- Soạn văn 8 (hay nhất) - CTST
- Soạn văn 8 (ngắn nhất) - CTST
- Giải sgk Toán 8 - CTST
- Giải sgk Khoa học tự nhiên 8 - CTST
- Giải sgk Lịch Sử 8 - CTST
- Giải sgk Địa Lí 8 - CTST
- Giải sgk Giáo dục công dân 8 - CTST
- Giải sgk Tin học 8 - CTST
- Giải sgk Công nghệ 8 - CTST
- Giải sgk Hoạt động trải nghiệm 8 - CTST
- Giải sgk Âm nhạc 8 - CTST
- Lớp 8 - Cánh diều
- Soạn văn 8 Cánh diều (hay nhất)
- Soạn văn 8 Cánh diều (ngắn nhất)
- Giải sgk Toán 8 - Cánh diều
- Giải sgk Khoa học tự nhiên 8 - Cánh diều
- Giải sgk Lịch Sử 8 - Cánh diều
- Giải sgk Địa Lí 8 - Cánh diều
- Giải sgk Giáo dục công dân 8 - Cánh diều
- Giải sgk Tin học 8 - Cánh diều
- Giải sgk Công nghệ 8 - Cánh diều
- Giải sgk Hoạt động trải nghiệm 8 - Cánh diều
- Giải sgk Âm nhạc 8 - Cánh diều


Giải bài tập SGK & SBT
Tài liệu giáo viên
Sách
Khóa học
Thi online
Hỏi đáp

