Lý thuyết, Bài tập Toán 8 Chương 1 (sách mới)
Bài viết Tổng hợp Lý thuyết, Bài tập Toán 8 Chương 1 sách mới Cánh diều, Kết nối tri thức, Chân trời sáng tạo lớp 8 hay, chi tiết giúp bạn nắm vững kiến thức trọng tâm Toán 8 Chương 1.
Lý thuyết, Bài tập Toán 8 Chương 1 (sách mới)
(199k) Xem Khóa học Toán 8 KNTTXem Khóa học Toán 8 CTSTXem Khóa học Toán 8 CD
(Chân trời sáng tạo) Lý thuyết Toán 8 Chương 1: Biểu thức đại số
Lời giải bài tập Toán 8 Chương 1 sách mới:
Lưu trữ: Lý thuyết, Bài tập Toán 8 Chương 1 (sách cũ)
A. Lý thuyết
1. Tứ giác
a) Định nghĩa
Tứ giác ABCD là hình gồm bốn đoạn thẳng AB, BC, CD, DA trong đó bất kì đoạn thẳng nào cũng không cùng nằm trên một đường thẳng.
b) Tổng các góc của tứ giác
Định lí: Tổng các góc của một tứ giác bằng 3600.
2. Hình thang
a) Định nghĩa
Hình thang là tứ giác có hai cạnh đối song song.
Hai cạnh song song gọi là hai đáy.
Hai cạnh còn lại gọi là hai cạnh bên.
b) Hình thang vuông
Định nghĩa: Hình thang vuông là hình thang có một góc vuông
Dấu hiệu nhận biết: Hình thang có một góc vuông là hình thang vuông
3. Hình thang cân
a) Định nghĩa
Hình thang cân là hình thang có hai góc kề một đáy bằng nhau.
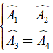
Tứ giác ABCD là hình thang cân (đáy AB, CD) ⇔
Chú ý: Nếu ABCD là hình thang cân (đáy AB, CD) thì Cˆ = Dˆ và Aˆ = Bˆ.
b) Tính chất
Định lí 1: Trong một hình thang cân, hai cạnh bên bằng nhau, ABCD là hình thang cân (đáy AB, CD) ⇒ AD = BC
Định lí 2: Trong một hình thang cân, hai đường chéo bằng nhau, ABCD là hình thang cân (đáy AB, CD) ⇒ AC = BD
Định lí 3: Hình thang có hai đường chéo bằng nhau là hình thang cân. Hình thang ABCD (đáy AB, CD) có AC = BD ⇒ ABCD là hình thang cân.
c) Dấu hiệu nhận biết
Hình thang có hai góc kề một đáy bằng nhau là hình thang cân.
Hình thang có hai đường chéo bằng nhau là hình thang cân.
4. Đường trung bình của tam giác
Định nghĩa: Đường trung bình của tam giác là đoạn thẳng nối trung điểm hai cạnh của tam giác.
Định lí:
Định lí 1: Đường thẳng đi qua trung điểm một cạnh của tam giác và song song với cạnh thứ hai thì đi qua trung điểm của cạnh thứ ba,
Định lí 2: Đường trung bình của tam giác thì song song với cạnh thứ ba và bằng nửa cạnh ấy.
Δ ABC,AD = DB,AE = EC ⇒ DE//BC,DE = 1/2BC.
5. Đường trung bình của hình thang
Định nghĩa: Đường trung bình của hình thang là đoạn thẳng nối trung điểm hai cạnh bên của hình thang.
Định lý:
Định lí 1: Đường thẳng đi qua trung điểm một cạnh bên của hình thang và song song với hai đáy thì đi qua trung điểm cạnh bên thứ hai.
Định lí 2: Đường trung bình của hình thang thì song song với hai đáy và bằng nửa tổng hai đáy.
ABCD ( AB//CD ),AE = ED,BF = FC ⇒ EF = (AB + CD)/2
6. Đối xứng trục
a) Hai điểm đối xứng với nhau qua đường thẳng
Hai điểm được gọi là đối xứng với nhau qua đường thẳng d nếu d là đường trung trực của đoạn thẳng nối hai điểm đó
Quy ước: Nếu điểm B nằm trên đường thẳng d thì điểm đối xứng của B qua đường thẳng d cũng chính là điểm B.
b) Hai hình đối xứng qua một đường thẳng
Định nghĩa: Hai hình gọi là đối xứng với nhau qua đường thẳng d nếu mỗi điểm thuộc hình này đối xứng với một điểm thuộc hình kia qua đường thẳng d và ngược lại.
Đường thẳng d gọi là trục đối xứng của hai hình đó.
c) Hình có trục đối xứng
Đường thẳng d gọi là trục đối xứng của hình H nếu điểm đối xứng với mỗi điểm thuộc hình H qua đường thẳng d cũng thuộc hình H.
Ta nói rằng hình H có trục đối xứng.
Định lí: Đường thẳng đi qua trung điểm hai đáy của hình thang cân là trục đối xứng của hình thang đó.
7. Hình bình hành
a) Định nghĩa
Hình bình hành là tứ giác có các cạnh đối song song
Tứ giác ABCD là hình bình hành
b) Tính chất
Định lí: Trong hình bình hành:
+ Các cạnh đối bằng nhau.
+ Các góc đối bằng nhau.
+ Hai đường chéo cắt nhau tại trung điểm của mỗi đường
c) Dấu hiệu nhận biết
+ Tứ giác có các cạnh đối song song là hình bình hành.
+ Tứ giác có các cạnh đối bằng nhau là hình bình hành.
+ Tứ giác có hai cạnh đối song song và bằng nhau là hình bình hành.
+ Tứ giác có các góc đối bằng nhau là hình bình hành.
+ Tứ giác có hai đường chéo cắt nhau tại trung điểm mỗi đường là hình bình hành.
8. Đối xứng tâm
a) Hai điểm đối xứng qua một điểm
Định nghĩa: Hai điểm gọi là đối xứng với nhau qua điểm I nếu I là trung điểm của đoạn thẳng nối hai điểm đó.
b) Hai hình đối xứng qua một điểm
Định nghĩa: Hai hình gọi là đối xứng với nhau qua điểm I nếu mỗi điểm thuộc hình này đối xứng với một điểm thuộc hình kia qua điểm I và ngược lại.
c) Hình có tâm đối xứng
Định nghĩa: Điểm I gọi là tâm đối xứng qua hình H nếu điểm đối xứng với mỗi điểm thuộc hình H qua điểm I cũng thuộc hình H.
Định lí: Giao điểm hai đường chéo của hình bình hành là tâm đối xứng của hình bình hành đó.
9. Hình chữ nhật
a) Định nghĩa
Hình chữ nhật là tứ giác có bốn góc vuông. Hình chữ nhật cũng là một hình bình hành và cũng là hình thang cân
Tổng quát: ABCD là hình chữ nhật ⇔ Aˆ = Bˆ = Cˆ = Dˆ = 900
b) Tính chất
Hình chữ nhật là có tất cả các tính chất của hình bình hành và hình thang cân.
Định lí: Trong hình chữ nhật, hai đường chéo bằng nhau và cắt nhau tại trung điểm mỗi đường
c) Dấu hiệu nhận biết
+ Tứ giác có ba góc vuông là hình chữ nhật.
+ Hình thang cân có một góc vuông là hình chữ nhật.
+ Hình bình hành có một góc vuông là hình chữ nhật.
+ Hình bình hành có hai đường chéo bằng nhau là hình chữ nhật.
d) Áp dụng vào trong tam giác
+ Trong tam giác vuông đường trung tuyến ứng với cạnh huyền bằng nửa cạnh huyền.
+ Nếu một tam giác có đường trung tuyến ứng với một cạnh bằng nửa cạnh ấy thì tam giác đó là tam giác vuông.
10. Hình thoi
a) Định nghĩa
Hình thoi là tứ giác có bốn cạnh bằng nhau.
Hình thoi cũng là một hình bình hành.
Tổng quát: ABCD là hình thoi ⇔ AB = BC = CD = DA.
b) Tính chất
Hình thoi có tất cả các tính chất của hình bình hành.
Định lí: Trong hình thoi:
+ Hai đường chéo vuông góc với nhau.
+ Hai đường chéo là các đường phân giác các góc của hình thoi.
c) Dấu hiệu nhận biết
+ Tứ giác có bốn cạnh bằng nhau là hình thoi.
+ Hình bình hành có hai cạnh kề bằng nhau là hình thoi
+ Hình bình hành có hai đường chéo vuông góc với nhau là hình thoi.
+ Hình bình hành có một đường chéo là đường phân giác của một góc là hình thoi.
11. Hình vuông
a) Định nghĩa
Hình vuông là tứ giác có bốn góc vuông và có bốn cạnh bằng nhau.
Tổng quát: ABCD là hình vuông ⇔
Nhận xét:
+ Hình vuông là hình chữ nhật có bốn cạnh bằng nhau.
+ Hình vuông là hình thoi có bốn góc vuông.
+ Hình vuông vừa là hình chữ nhật vừa là hinh thoi.
b) Tính chất
Hình vuông có tất cả các tính chất của hình chữ nhật và hình thoi.
c) Dấu hiệu nhận biết
+ Hình chữ nhật có hai cạnh kề bằng nhau là hình vuông.
+ Hình chữ nhật có hai đường chéo vuông góc với nhau là hình vuông.
+ Hình chữ nhật có một đường chéo là đường phân giác một góc là hình vuông.
+ Hình thoi có một góc vuông là hình vuông.
+ Hình thoi có hai đường chéo bằng nhau là hình vuông.
B. Trắc nghiệm & Tự luận
I. Bài tập trắc nghiệm
Bài 1: Cho tứ giác ABCD, trong đó Aˆ + Bˆ = 1400. Tổng Cˆ + Dˆ = ?
A. 2200 B. 2000
C. 1600 D. 1500
Lời giải:
Định lí: Tổng các góc của một tứ giác bằng 3600.
Khi đó ta có Aˆ + Bˆ + Cˆ + Dˆ = 3600 ⇒ ( Cˆ + Dˆ ) = 3600 - ( Aˆ + Bˆ ) = 3600 - 1400 = 2200.
Chọn đáp án A.
Bài 2: Số đo các góc của tứ giác ABCD theo tỷ lệ A:B:C:D = 4:3:2:1. Số đo các góc theo thứ tự đó là?
A. 1200;900;600;300.
B. 1400;1050;700;350.
C. 1440;1080;720;360.
D. Cả A, B, C đều sai.
Lời giải:
Định lí: Tổng các góc của một tứ giác bằng 3600.
Theo giải thiết ta có A:B:C:D = 4:3:2:1 ⇒ Aˆ = 4Dˆ; Bˆ = 3Dˆ; Cˆ = 2Dˆ
Khi đó ta có Aˆ + Bˆ + Cˆ + Dˆ = 3600 ⇔ 4Dˆ + 3Dˆ + 2Dˆ + Dˆ = 3600
⇔ 10Dˆ = 3600 ⇔ Dˆ = 360.
Chọn đáp án C.
Bài 3: Chọn câu đúng trong các câu sau:
A. Tứ giác ABCD có 4 góc đều nhọn.
B. Tứ giác ABCD có 4 góc đều tù.
C. Tứ giác ABCD có 2 góc vuông và 2 góc tù.
D. Tứ giác ABCD có 4 góc đều vuông.
Lời giải:
Theo định lí: Tổng các góc của một tứ giác bằng 3600.
Nhận xét:
+ α là góc nhọn thì 0 < α < 900 ⇒ 0 < 4.α < 3600.
⇒ Không tồn tại tứ giác ABCD có 4 góc đều nhọn. ⇒ Loại A.
+ α là góc tù thì 900 < α < 1800 ⇒ 3600 < 4.α < 7200
⇒ Không tồn tại tứ giác ABCD có 4 góc đều tù. ⇒ Loại B.
+ α là góc vuông thì α = 900; β là góc tù thì 900 < β < 1800 ⇒ 1800 < 2.β < 3600
Khi đó ta có : 1800 + 1800 < 2α + 2β < 1800 + 3600
⇒ 3600 < 2α + 2β < 5400.
⇒ Không tồn tại tứ giác ABCD có 2 góc nhọn và 2 góc tù. ⇒ Loại C.
+ Vì tứ góc có 4 góc vuông thì tổng các góc bằng 3600.
Chọn đáp án D.
Bài 4: Cho tứ giác ABCD có Aˆ = 650; Bˆ = 1170; Cˆ = 710. Số đo góc Dˆ = ?
A. 1190. B. 1070.
C. 630. D. 1260.
Lời giải:
Định lí: Tổng các góc của một tứ giác bằng 3600.
Khi đó ta có Aˆ + Bˆ + Cˆ + Dˆ = 3600 ⇒ Dˆ = 3600 - ( Aˆ + Bˆ + Cˆ ) = 3600 - ( 650 + 1170 + 710 )
⇒ Dˆ = 3600 - 2530 = 1070.
Chọn đáp án B.
Bài 5: Cho tứ giác ABCD trong đó có Bˆ = 750; Dˆ = 1200. Khi đó Aˆ + Cˆ = ?
A. 1900 B. 1300
C. 2150 D. 1650
Lời giải:
Định lí: Tổng các góc của một tứ giác bằng 3600.
Khi đó ta có Aˆ + Bˆ + Cˆ + Dˆ = 3600 ⇒ ( Cˆ + Aˆ ) = 3600 - ( Bˆ + Dˆ ) = 3600 - 1950 = 1650.
Chọn đáp án D.
Bài 6: Chọn câu đúng trong các câu sau:
A. Hình thang có ba góc tù, một góc nhọn.
B. Hình thang có ba góc vuông, một góc nhọn.
C. Hình thang có ba góc nhọn, một góc tù.
D. Hình thanh có nhiều nhất hai góc nhọn và nhiều nhất hai góc tù.
Lời giải:
Ta có tổng các góc của hình thang bằng 3600.
+ Hình thang có ba góc tù, một góc nhọn.
Ví dụ: Hình thang có 3 góc tù là 1000,1200,1350 và 1 góc nhọn là 600.
⇒ Tổng 4 góc của hình thang bằng 1000 + 1200 + 1350 + 600 = 4150 > 3600
⇒ Không tồn tại hình thang có ba góc tù, một góc nhọn. Đáp án A sai
+ Hình thang có ba góc vuông, một góc nhọn.
Ví dụ: Hình thang có 3 góc bằng 900 và một góc nhọn bằng 650.
⇒ Tổng 4 góc của hình thang bằng 900 + 900 + 900 + 650 = 3350 < 3600
⇒ Không tồn tại hình thang ba góc vuông, một góc nhọn. Đáp án B sai.
+ Hình thang có ba góc nhọn, một góc tù.
Ví dụ: Hình thang có ba góc nhọn là 450,750,800, một góc tù là 1600
⇒ Tổng 4 góc của hình thang bằng 450 + 750 + 800 + 1600 = 3600
⇒ Tồn tại Hình thang có ba góc nhọn, một góc tù. Đáp án C đúng
⇒ Hình thang có nhiều nhất là 3 góc nhọn. Đáp án D sai.
Chọn đáp án C.
Bài 7: Một hình thang có một cặp góc đối là 1250 và 750, cặp góc đối còn lại của hình thang đó là ?
A. 1050, 550 B. 1050, 450
C. 1150, 550 D. 1150, 650
Lời giải:
Tổng bốn góc của hình thang bằng 3600.
Theo giả thiết ta có một cặp góc đối là 1250 và 750
⇒ Tổng số đo góc của cặp góc đối còn lại là 1600.
Xét đáp án ta có cặp 1050, 550 thỏa mãn.
Chọn đáp án A.
Bài 8: Hình thang ABCD có Cˆ + Dˆ = 1500. Khi đó Aˆ + Bˆ = ?
A. 2200 B. 2100
C. 2000 D. 1900
Lời giải:
Tổng bốn góc của hình thang bằng 3600.
Khi đó ta có: Aˆ + Bˆ + Cˆ + Dˆ = 3600 ⇒ Aˆ + Bˆ = 3600 - ( Cˆ + Dˆ )
⇒ Aˆ + Bˆ = 3600 - 1500 = 2100.
Chọn đáp án B.
Bài 9: Cho hình thang ABCD trong đó có Aˆ = 1200,Bˆ = 600,Dˆ = 1350 thì số đo của góc Cˆ = ?
A. 550 B. 450
C. 500 D. 600
Lời giải:
Tổng bốn góc của hình thang bằng 3600.
Khi đó ta có: Aˆ + Bˆ + Cˆ + Dˆ = 3600 ⇒ Cˆ = 3600 - ( Aˆ + Bˆ + Dˆ )
⇒ Cˆ = 3600 - ( 1200 + 600 + 1350 ) = 450.
Chọn đáp án B.
Bài 10: Điền cụm từ thích hợp vào chỗ trống
A. Hình thang cân là…………………………………..
B. Hình thang có………………. là hình thang cân .
C. Hai cạnh bên của hình thang cân…………………..
D. Hình thang cân có hai góc kề một đáy…………….
Lời giải:
+ Hình thang cân là hình thang có hai góc kề một đáy bằng nhau.
→ Đáp án A điền: “hình thang có hai góc kề một đáy bằng nhau”.
+ Hình thang có hai góc kề một đáy bằng nhau là hình thang cân.
→ Đáp án B điền: “hai góc kề một đáy bằng nhau”
+ Hai cạnh bên của hình thang cân bằng nhau.
→ Đáp án C điền: “bằng nhau”
+ Hình thang cân là hình thang có hai góc kề một đáy bằng nhau
→ Đáp án D điền: “bằng nhau”
Bài 11: Điền chữ “Đ” hoặc “S” vào mỗi câu khẳng định sau:
A. Tứ giác có hai cạnh bên bằng nhau là hình thang cân.
B. Hình thang cân có hai cạnh bên bằng nhau.
C. Hình thang cân có hai góc kề một cạnh đáy bù nhau.
D. Hình thang cân có hai góc kề một cạnh đáy bằng nhau.
Lời giải:
+ Tứ giác có hai cạnh bên bằng nhau là hình thang cân.
→ Đáp án A sai vì hai cạnh bên bằng nhau chưa chắc tạo ra hình thang.
+ Hình thang cân có hai cạnh bên bằng nhau.
→ Đáp án B đúng.
+ Hình thang cân có hai góc kề một cạnh đáy bằng nhau.
→ Đáp án D đúng, đáp án C sai.
Bài 12: Cho hình thang cân ABCD (như hình vẽ) có BADˆ = 600. Số đo của BCDˆ = ?
A. 500 B. 600
C. 1200 D. 800
Lời giải:
Áp dụng tính chất của hình thang cân ta có:
Mà Aˆ + Bˆ + Cˆ + Dˆ = 3600 ⇔ 2Aˆ + 2Cˆ = 3600
⇒ 2Cˆ = 3600 - 2Aˆ = 3600 - 2.600 = 2400 ⇔ Cˆ = 1200
Chọn đáp án C.
Bài 13: Cho tam giác ABC có D, E lần lượt là trung điểm của AB, AC. Phát biểu nào sau đây sai?
A. DE là đường trung bình của tam giác ABC.
B. DE song song với BC.
C. DECB là hình thang cân.
D. DE có độ dài bằng nửa BC.
Lời giải:
Xét tam giác ABC có D, E lần lượt là trung điểm của AB, AC
⇒ DE là đương trung bình của tam giác ABC
Hay DE//BC và DE = 1/2BC.
+ Hình thang cân là hình thang có hai góc kề một cạnh bằng nhau và hai cạnh bên bằng nhau nhưng bài toán này hai góc kề một cạnh đấy không bằng nhau
→ Đáp án C sai.
Chọn đáp án C.
Bài 14: Cho tam giác ABC có D, E lần lượt là trung điểm của AB, AC và DE = 4cm. Biết đường cao AH = 6cm. Diện tích của tam giác ABC là?
A. S = 24( cm2 ) B. S = 16( cm2 )
C. S = 48( cm2 ) D. S = 32( cm2 )
Lời giải:
Xét tam giác ABC có D, E lần lượt là trung điểm của AB, AC
⇒ DE là đương trung bình của tam giác ABC
Hay DE//BC và DE = 1/2BC ⇒ BC = 2DE = 2.4 = 8( cm )
Khi đó ta có: S = 1/2AH.BC = 1/2.6.8 = 24( cm2 )
Chọn đáp án A.
Bài 15: Chọn phát biểu đúng
A. Đường trung bình của hình thang là đoạn thẳng nối hai trung điểm của hai cạnh bên của hình thoi.
B. Đường trung bình của hình thang là đoạn thẳng nối hai trung điểm của hai cạnh đối của hình thoi.
C. Đường trung bình của hình thang thì song song với hai đáy và bằng tổng hai hai đáy.
D. Một hình thang có thể có một hoặc nhiều đường trung bình.
Lời giải:
Định nghĩa: Đường trung bình của hình thang là đoạn thẳng nối trung điểm hai cạnh bên của hình thang.
→ Đáp án A đúng.
+ Đường trung bình của hình thang thì song song với hai đáy và bằng nửa tổng của hai đáy.
+ Một hình thang thì chỉ có 1 đường trung bình duy nhất.
Chọn đáp án A.
Bài 16: Với a, b, h lần lượt là độ dài đáy lớn, đáy nhỏ và chiều cao của hình thang thì công thức diện tích của hình thang là ?
A. S = ( a + b )h
B. S = 1/2( a + b )h
C. S = 1/3( a + b )h
D. S = 1/4( a + b )h
Lời giải:
Diện tích hình thang bằng nửa tổng độ dài hai đáy nhân với đường cao của hình thang,
⇒ S = 1/2( a + b )h
Chọn đáp án B.
Bài 17: Chọn phương án đúng nhất trong các phương án sau
A. Đường thẳng đi qua hai đáy của hình thang là trục đối xứng của hình thang đó.
B. Đương thẳng đi qua hai đáy của hình thang cân là trục đối xứng của hình thang cân.
C. Đường thẳng đi qua trung điểm hai đáy của hình thang cân là trục đối xứng của hình thang cân đó.
D. Cả A, B, C đều sai.
Lời giải:
Định lí: Đường thẳng đi qua trung điểm hai đáy của hình thang cân là trục đối xứng của hình thang đó.
Chọn đáp án C.
Bài 18: Cho đoạn thẳng AB có độ dài là 3cm và đường thẳng d, đoạn thẳng A'B' đối xứng với AB qua d, khi đó độ dài của A'B' là ?
A. 3cm B. 6cm
C. 9cm D. 12cm
Lời giải:
Tính chất: Nếu hai đoạn thẳng (góc, tam giác) đối xứng với nhau qua một đường thẳng thì chúng bằng nhau.
Khi đó AB = A'B' = 3cm.
Chọn đáp án A.
Bài 19: Tam giác ABC đối xứng với tam giác A'B'C' qua đường thẳng d, biết chu vi của tam giác ABC là 48cm thì chu vi của tam giác A'B'C' là ?
A. 24cm B. 32cm
C. 40cm D. 48cm
Lời giải:
Tính chất: Nếu hai đoạn thẳng (góc, tam giác) đối xứng với nhau qua một đường thẳng thì chúng bằng nhau.
Khi đó ta có: PABC = PA'B'C' = 48( cm )
Chọn đáp án D.
Bài 20: Chọn phương án sai trong các phương án sau?
A. Tứ giác có các cạnh đối song song là hình bình hành.
B. Tứ giác có các cạnh đối bằng nhau là hình bình hành.
C. Tứ giác có hai góc đối bằng nhau là hình bình hành.
D. Tứ giác có hai đường chéo cắt nhau tại trung điểm mỗi đường là hình bình hành.
Lời giải:
Dấu hiệu nhận biết hình bình hành.
+ Tứ giác có các cạnh đối song song là hình bình hành.
+ Tứ giác có các cạnh đối bằng nhau là hình bình hành.
+ Tứ giác có hai cạnh đối song song và bằng nhau là hình bình hành.
+ Tứ giác có các góc đối bằng nhau là hình bình hành.
+ Tứ giác có hai đường chéo cắt nhau tại trung điểm mỗi đường là hình bình hành.
⇒ Đáp án C sai.
Chọn đáp án C.
Bài 21: Chọn phương án đúng trong các phương án sau.
A. Hình bình hành là tứ giác có hai cạnh đối song song.
B. Hình bình hành là tứ giác có các góc bằng nhau.
C. Hình bình hành là tứ giác có các cạnh đối song song.
D. Hình bình hành là hình thang có hai cạnh kề bằng nhau.
Lời giải:
Trong tính chất của hình bình hành:
Định lí: Trong hình bình hành:
+ Các cạnh đối bằng nhau.
+ Các góc đối bằng nhau.
+ Hai đường chéo cắt nhau tại trung điểm của mỗi đường.
⇒ Đáp án C đúng.
Chọn đáp án C.
Bài 22: Cho hình bình hành ABCD có Aˆ = 1200, các góc còn lại của hình bình hành là?
A. Bˆ = 600, Cˆ = 1200, Dˆ = 600.
B. Bˆ = 1100, Cˆ = 800, Dˆ = 600.
C. Bˆ = 800, Cˆ = 1200, Dˆ = 800.
D. Bˆ = 1200, Cˆ = 600, Dˆ = 1200.
Lời giải:
Trong tính chất của hình bình hành:
Định lí: Trong hình bình hành:
+ Các cạnh đối bằng nhau.
+ Các góc đối bằng nhau.
+ Hai đường chéo cắt nhau tại trung điểm của mỗi đường
⇒ Aˆ = Cˆ = 1200.
Khi đó ta có:
Chọn đáp án A.
Bài 23: Cho hình bình hành ABCD có Aˆ - Bˆ = 200. Xác định số đo góc A và B?
A. Aˆ = 800, Bˆ = 1000
B. Aˆ = 1000, Bˆ = 800
C. Aˆ = 800, Bˆ = 600
D. Aˆ = 1200, Bˆ = 1000
Lời giải:
Theo giả thiết, ta có: Aˆ - Bˆ = 200 ⇒ Aˆ = Bˆ + 200
Mặt khác ABCD là hình bình hành nên Aˆ + Bˆ = 1800
Khi đó:
Chọn đáp án B.
Bài 24: Cho hình bình hành ABCD, có I là giao điểm của AC và BD. Chọn phương án đúng trong các phương án sau
A. AC = BD
B. Δ ABD cân tại A.
C. BI là đường trung tuyến của Δ ABC
D. Aˆ + Cˆ = Bˆ + Dˆ.
Lời giải:
Trong hình bình hành các góc đối bằng nhau
Hay
→ đáp án D sai.
+ Δ ABD cân tại A khi và chỉ khi AB = AD nhưng theo giả thiết ta chưa có dữ kiện này
→ Đáp án B sai.
+ Hình bình hành có hai đường chéo bằng nhau là hình chữ nhật.
→ Đáp án A sai vì theo giả thiết chữ đủ dữ kiện
Chọn đáp án C.
Bài 25: Chọn đáp án đúng trong các đáp án sau
A. Hai điểm được gọi là đối xứng với nhau qua điểm O nếu O thuộc đoạn nói hai điểm đó.
B. Hai điểm được gọi là đối xứng với nhau qua điểm O nếu O các đều hai điểm đó
C. Hai điểm được gọi là đối xứng với nhau qua điểm O nếu O là trung điểm của đoạn thẳng nối hai điểm đó.
D. Hai điểm được gọi là đối xứng với nhau qua điểm O nếu O là đoạn thẳng trung trực của hai điểm đó.
Lời giải:
Định nghĩa: Hai điểm gọi là đối xứng với nhau qua điểm O nếu O là trung điểm của đoạn thẳng nối hai điểm đó.
Chọn đáp án C.
Bài 26: Cho AB = 6cm, A' là điểm đối xứng với A qua B, AA' có độ dài bằng bao nhiêu ?
A. AA' = 3cm B. AA' = 12cm
C. AA' = 6cm D. AA' = 9cm
Lời giải:
Định nghĩa: Hai điểm gọi là đối xứng với nhau qua điểm O nếu O là trung điểm của đoạn thẳng nối hai điểm đó.
Khi đó, A' là điểm đối xứng với A qua B thì AB = BA' = 6cm
⇒ AA' = AB + BA' = 6 + 6 = 12cm
Chọn đáp án B.
Bài 27: Chọn phương án sai trong các phương án sau đây
A. Hai đoạn thẳng đối xứng với nhau qua một điểm thì chúng bằng nhau.
B. Hai góc đối xứng với nhau qua một điểm thì chúng bằng nhau.
C. Hai đường thẳng đối xứng với nhau qua một điểm thì chúng bằng nhau.
D. Hai tam giác đối xứng với nhau qua một điểm thì chúng bằng nhau.
Lời giải:
Ta có tính chất: Nếu hai đoạn thẳng (góc, tam giác) đối xứng với nhau qua một điểm thì chúng bằng nhau.
Các phương án đúng là:
+ Đáp án A: Hai đoạn thẳng đối xứng với nhau qua một điểm thì chúng bằng nhau.
+ Đáp án B: Hai góc đối xứng với nhau qua một điểm thì chúng bằng nhau.
+ Đáp án D: Hai tam giác đối xứng với nhau qua một điểm thì chúng bằng nhau.
→ Đáp án C sai.
Chọn đáp án C.
Bài 28: Hình nào dưới đây có tâm không phải là giao điểm của hai đường chéo?
A. Hình bình hành
B. Hình chữ nhật
C. Hình thoi
D. Hình thang
Lời giải:
Các hình có tâm đối xứng là giao điểm điểm của hai đường chéo là
+ Hình bình hành
+ Hình chữ nhật
+ Hình thoi
→ Hình thang không có tâm đối xứng là giao điểm của hai đường chéo.
Chọn đáp án D.
Bài 29: Cho tam giác ABC và tam giác A'B'C' đối xứng với nhau qua điểm I biết AB = 4cm, AC = 8cm và chu vi của tam giác ABC bằng 22cm. Hỏi độ dài cạnh B'C' của tam giác A'B'C' là?
A. B'C' = 9cm B. B'C' = 8cm
C. B'C' = 4cm D. B'C' = 10cm
Lời giải:
Ta có tính chất: Nếu hai đoạn thẳng (góc, tam giác) đối xứng với nhau qua một điểm thì chúng bằng nhau.
Khi đó ta có:
⇒ BC = B'C' = 22 - 8 - 4 = 10( cm )
Chọn đáp án D.
Bài 30: Chọn đáp án đúng nhất trong các đáp án sau?
A. Hình chữ nhật là tứ giác có bốn cạnh bằng nhau.
B. Hình chữ nhật là tứ giác có bốn góc vuông.
C. Hình chữ nhật là tứ giác có hai góc vuông.
D. Các phương án trên đều không đúng.
Lời giải:
Định nghĩa: Hình chữ nhật là tứ giác có bốn góc vuông.
Chọn đáp án B.
Bài 31: Tìm câu sai trong các câu sau
A. Trong hình chữ nhật có hai đường chéo bằng nhau.
B. Trong hình chữ nhật có hai đường chéo cắt nhau tại trung điểm mỗi đường.
C. Trong hình chữ nhật có hai cạnh kề bằng nhau.
D. Trong hình chữ nhật, giao của hai đường chéo là tâm của hình chữ nhật đó
Lời giải:
Định lý trong hình chữ nhật
+ Hình chữ nhật có hai đường chéo bằng nhau.
+ Hình chữ nhật có hai đường chéo cắt nhau tại trung điểm tại trung điểm mỗi đường.
+ Giao của hình đường chéo của hình chữ nhật là tâm của hình chữ nhật đó.
+ Hình chữ nhật có hai cạnh kề bằng nhau là hình vuông
→ Đáp án C sai.
Chọn đáp án C.
Bài 32: Các dấu hiệu nhận biết sau, dấu hiệu nào nhận biết chưa đúng?
A. Hình bình hành có hai đường chéo cắt nhau tại trung điểm mỗi đường là hình chữ nhật.
B. Tứ giác có ba góc vuông là hình chữ nhật.
C. Hình thang cân có một góc vuông là hình chữ nhật.
D. Hình bình hành có hai đường chéo bằng nhau là hình chữ nhật.
Lời giải:
Dấu hiệu nhận biết hình chữ nhật:
+ Tứ giác có ba góc vuông là hình chữ nhật.
+ Hình thang cân có một góc vuông là hình chữ nhật.
+ Hình bình hành có một góc vuông là hình chữ nhật.
+ Hình bình hành có hai đường chéo bằng nhau là hình chữ nhật.
⇒ Hình bình hành có hai đường chéo cắt nhau tại trung điểm mỗi đường chưa đủ điều kiện để là hình chữ nhật.
Chọn đáp án A.
Bài 33: Khoanh tròn vào phương án sai
A. Trong tam giác vuông đường trung tuyến ứng với cạnh huyền và bằng nửa cạnh huyền.
B. Trong tam giác, đường trung tuyến với với một cạnh và bằng nửa cạnh ấy thì tam giác đó là tam giác vuông.
C. Trong tam giác vuông, đường trung tuyến ứng với cạnh góc vuông không bằng cạnh ấy.
D. Trong tam giác vuông, đường trung tuyến ứng với cạnh huyền thì vuông góc với cạnh huyền.
Lời giải:
Định lý
+ Trong tam giác vuông đường trung tuyến ứng với cạnh huyền bằng nửa cạnh huyền.một cạnh bằng nửa cạnh ấy thì tam giác đó là tam giác vuông.
+ Nếu một tam giác có đường trung tuyến ứng với một cạnh bằng nửa cạnh ấy thì tam giác đó là tam giác vuông.
⇒ Trong tam giác vuông, đường trung tuyến ứng với cạnh huyền thì vuông góc với cạnh huyền nếu tam giác vuông đó là tam giác vuông cân.
Chọn đáp án D.
Bài 34: Trong hình chữ nhật có kích thước lần lượt là 5cm và 12cm. Độ dài đường chéo của hình chữ nhật là ?
A. 17cm B. 13cm
C. √ 119 cm D. 12cm
Lời giải:
Độ dài của đường chéo hình chữ nhật bằng căn bậc hai tổng hai bình phương của hai kích thước hình chữ nhật
Do đó, độ dài đường chéo là √ (52 + 122) = 13( cm )
Chọn đáp án B.
Bài 35 Chọn phương án đúng nhất trong các phương án sau?
A. Khoảng cách giữa hai đường thẳng song song là khoảng cách từ một điểm tùy ý trên đường thẳng này đến một điểm tùy ý trên đường thẳng kia.
B. Khoảng cách giữa hai đường thẳng song song là độ dài từ một điểm tùy ý trên đường thẳng này đến một điểm tùy ý trên đường thẳng kia.
C. Khoảng cách giữa hai đường thẳng song song là khoảng cách từ một điểm tùy ý trên đường thẳng này đến đường thẳng kia
D. Các ba đáp án trên đều sai.
Lời giải:
Định nghĩa: Khoảng cách giữa hai đường thẳng song song là khoảng cách từ một điểm tùy ý trên đường thẳng này đến đường thẳng kia. h là khoảng cách giữa hai đường thẳng song song a và b.
Chọn đáp án C.
Bài 36: Chọn phương án đúng trong các phương án sau
A. Các điểm cách đường thẳng b một khoảng cho trước bằng h nằm trên một đường thẳng song song với b và cách b một khoảng bằng h.
B. Các điểm cách đường thẳng b một khoảng cho trước bằng h nằm trên hai đường thẳng song song với b và cách b một khoảng bằng h
C. Các điểm cách đường thẳng b một khoảng cho trước bằng h nằm trên ba đường thẳng song song với b và cách b một khoảng bằng h
D. Cả ba đáp án đều sai.
Lời giải:
Tính chất:
Các điểm cách đường thẳng b một khoảng bằng h nằm trên hai đường thẳng song song với b và cách b một khoảng bằng h.
Nhận xét: Từ định nghĩa về khoảng cách hai đường thẳng song song và tính chất trên ta có: Tập hợp các điểm cách một đường thẳng cố định một khoảng bằng h không đổi là hai đường thẳng song song với đường thẳng đó và cách đường thẳng đó một khoảng bằng h.
Chọn đáp án B.
Bài 37: Cho hình sau trong đó các đường thẳng a,b,c,d song song với nhau. Nếu các đường thẳng a,b,c,d song song cách đều thì :
A. EF > FG > GH
B. EF < FG < GH
C. EF = FG = GH
D. Cả 3 đáp án đều sai
Lời giải:
Định lí:
+ Nếu các đường thẳng song song cách đều cắt một đường thằng thì chúng chắn trên đường thẳng đó các đoạn thẳng liên tiếp bằng nhau.
+ Nếu các đường thẳng song song cắt một đường thẳng và chúng chắn trên đường thẳng đó các đoạn thẳng liên tiếp bằng nhau thì chúng song song cách đều.
⇒ EF = FG = GH
Chọn đáp án C.
Bài 38: Khoanh tròn vào phương án đúng trong các phương án sau ?
A. Hình thoi là tứ giác có bốn góc bằng nhau.
B. Hình thoi là tứ giác có hai cạnh đối bằng nhau.
C. Hình thoi là tứ giác có ba góc vuông.
D. Hình thoi là tứ giác có bốn cạnh bằng nhau.
Lời giải:
Định nghĩa: Hình thoi là tứ giác có bốn cạnh bằng nhau.
Chọn đáp án D.
Bài 39: Trong các khẳng định sau, khẳng định nào sai về hình thoi ?
A. Hai đường chéo bằng nhau.
B. Hai đường chéo vông góc và là các đường phân giác của các góc hình thoi.
C. Hai đường chéo cắt nhau tại trung điểm mỗi đường.
D. Hình thoi có 4 cạnh bằng nhau.
Lời giải:
Định lí: Trong hình thoi:
+ Hai đường chéo vuông góc với nhau.
+ Hai đường chéo là các đường phân giác các góc của hình thoi.
+ Hai đường chéo cắt nhau tại trung điểm mỗi đường.
⇒ Đáp án A sai.
Chọn đáp án A.
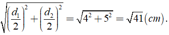
Bài 40: Hai đường chéo của hình thoi có độ dài lần lượt là 8cm và 10cm. Độ dài cạnh của hình thoi đó là ?
A. 6cm. B. √ 41 cm.
C. √ 164 cm. D. 9cm.
Lời giải:
Độ dài đường chéo của hình thoi lần lượt là d1 = 8cm; d2 = 10cm
⇒ Độ dài đường chéo của hình thoi là:
.
Chọn đáp án B.
Bài 41: Hình thoi có độ dài các cạnh là 4cm thì chu vi của hình thoi là ?
A. 8cm. B. 44cm.
C. 16cm. D. Cả A, B, C đều sai.
Lời giải:
Chu vi của hình thoi là Pht = 4 + 4 + 4 + 4 = 16( cm ).
Chọn đáp án C.
Bài 42: Các phương án sau, phương án nào sai?
A. Các trung điểm của bốn cạnh hình chữ nhật là các đỉnh của một hình thoi.
B. Các trung điểm của bốn cạnh hình thoi là bốn đỉnh của hình chữ nhật.
C. Giao điểm của hai đường chéo của hình thoi là tâm đối xứng của hình thoi đó.
D. Hình thoi của bốn trục đối xứng.
Lời giải:
Định lí:
+ Hai thoi có hai trực đối xứng là hai đường chéo của hình thoi.
+ Có một tâm đối xứng là giao điểm của hai đường chéo.
Mở rộng:
+ Trong hình chữ nhật, các trung điểm của các cạnh hĩnh chữ nhật là các đỉnh của một hình thoi.
+ Trong hình thoi, các trung điểm của bốn cạnh hình thoi là các hình chữ nhật.
⇒ Đáp án D sai.
Chọn đáp án D.
Bài 43: Hãy khoan tròn vào phương án đúng nhất trong các phương án sau ?
A. Hình vuông là tứ giác có 4 góc vuông và 4 cạnh bằng nhau.
B. Hình vuông là tứ giác có 4 góc bằng nhau.
C. Hình vuông là tứ giác có 4 cạnh bằng nhau.
D. Hình vuông là tứ giác có hai cạnh kề bằng nhau.
Lời giải:
+ Tứ giác có 4 góc vuông là hình chữ nhật
Hình chữ nhật có 4 cạnh bằng nhau là hình vuông.
⇒ Hình vuông là tứ giác có 4 góc vuông và 4 cạnh bằng nhau.
Chọn đáp án A.
Bài 44: Hãy chọn đáp án sai trong các phương án sau đây ?
A. Trong hình vuông có hai đường chéo bằng nhau và cắt nhau tại trung điểm mỗi đường.
B. Trong hình vuông có hai đường chéo không vuông góc với nhau.
C. Trong hình vuông thì hai đường chéo đồng thời là hai trục đối xứng của hình vuông.
D. Trong hình vuông có hai đường chéo vuông góc với nhau và bằng nhau.
Lời giải:
+ Trong hình vuông có hai đường chéo vuông góc với nhau, bằng nhau và cắt nhau tại trung điểm mỗi đường
+ Hai đường chéo trong hình vuông đồng thời là trục đối xứng của hình vuông đó.
⇒ Đáp án B sai.
Chọn đáp án B.
Bài 45: Trong các dấu hiệu nhận biết sau thì dấu hiệu nào không đủ điều kiện để tứ giác là hình vuông?
A. Hình chữ nhật có hai cạnh kề bằng nhau là hình vuông.
B. Hình chữ nhật có hai đường chéo vuông gócvới nhau là hình vuông.
C. Hình chữ nhật có một đường chéo là đường phân giác của một góc là hình vuông.
D. Hình bình hành có hai đường chéo bằng nhau là hình vuông.
Lời giải:
Dấu hiệu nhận biết hình vuông:
+ Hình chữ nhật có hai cạnh kề bằng nhau là hình vuông.
+ Hình chữ nhật có hai đường chéo vuông góc với nhau là hình vuông.
+ Hình chữ nhật có một đường chéo là đường phân giác một góc là hình vuông.
+ Hình thoi có một góc vuông là hình vuông.
+ Hình thoi có hai đường chéo bằng nhau là hình vuông.
⇒ Hình bình hành có hai đường chéo bằng nhau thì không là hình vuông.
⇒ Đáp án D sai.
Chọn đáp án D.
Bài 46: Tìm câu nói đúng khi nói về hình vuông?
A. Hình vuông vừa là hình chữ nhật, vừa là hình thoi.
B. Hình thoi có một góc vuông là hình vuông.
C. Hình thoi có hai đường chéo bằng nhau là hình vuông.
D. Các phương án đều đúng.
Lời giải:
Dấu hiệu nhận biết hình vuông:
+ Hình chữ nhật có hai cạnh kề bằng nhau là hình vuông.
+ Hình chữ nhật có hai đường chéo vuông góc với nhau là hình vuông.
+ Hình chữ nhật có một đường chéo là đường phân giác một góc là hình vuông.
+ Hình thoi có một góc vuông là hình vuông.
+ Hình thoi có hai đường chéo bằng nhau là hình vuông.
⇒ Hình vuông vừa là hình chữ nhật, cũng vừa là hình thoi.
⇒ Cả 3 phương án đều đúng.
Chọn đáp án D.
Bài 47: Một hình vuông có độ dài cạnh bằng 4cm thì độ dài đường chéo của hình vuông là ?
A. 8cm
B. √ 32 cm
C. 5cm
D. 4cm
Lời giải:
Hình vuông có độ dài cạnh là a( cm )
Áp dụng định lý Py – to – go thì độ dài đường chéo của hình vuông là a√ 2 ( cm )
Do đó với a = 4 thì độ dài đường chéo là 4√ 2 = √ 32 ( cm )
Chọn đáp án B.
II. Bài tập tự luận
1. Nhận biết – Thông hiểu
Bài 1:
a) Cho tứ giác ABCD trong đó Aˆ = 730, Bˆ = 1120, Dˆ = 840. Tính số đo góc Cˆ ?
b) Cho tứ giác ABCD có Aˆ = 700, Bˆ = 900. Các tia phân giác của các góc C và D cắt nhau tại O. Tính số đo góc CODˆ ?
Lời giải:
a) Áp dụng định lí: Tổng các góc của một tứ giác bằng 3600.
Khi đó ta có Aˆ + Bˆ + Cˆ + Dˆ = 3600 ⇒ Cˆ = 3600 - ( Aˆ + Bˆ + Dˆ ) = 3600 - ( 730 + 1120 + 840 )
⇒ Cˆ = 3600 - 2690 = 910.
Vậy số đo của góc Cˆ cần tìm là Cˆ = 910.
b) Áp dụng định lí: Tổng các góc của một tứ giác bằng 3600.
Ta có Aˆ + Bˆ + Cˆ + Dˆ = 3600 ⇒ Cˆ + Dˆ = 3600 - ( Aˆ + Bˆ ) = 3600 - ( 700 + 900 )
⇒ Cˆ + Dˆ = 2000.
Theo giả thiết, ta có OC,OD là các đường phân giác
Khi đó ta có
⇒ Cˆ + Dˆ = BCOˆ + OCDˆ + CDOˆ + ODAˆ = 2OCDˆ + 2ODCˆ
⇔ 2( OCDˆ + ODCˆ ) = 2000 ⇔ OCDˆ + ODCˆ = 1000.
Xét Δ OCD có
OCDˆ + ODCˆ + CODˆ = 1800 ⇒ CODˆ = 1800 - ( OCDˆ + ODCˆ ) = 1800 - 1000 = 800.
Vậy CODˆ = 800.
Bài 2:
a) Hình thang vuông ABCD có Aˆ = Dˆ = 900; AB = AD = 3cm; CD = 6cm. Tính số đo góc B và C của hình thang ?
b) Tính các góc của hình thang cân, biết có một góc bằng 600
Lời giải:
a) Kẻ BE ⊥ CD thì AD//BE do cùng vuông góc với CD
+ Hình thang ABED có cặp cạnh bên song song là hình bình hành.
Áp dụng tính chất của hình bình hành ta có
AD = BE = 3cm.
Xét Δ BEC vuông tại E có
⇒ Δ BEC là tam giác vuông cân tại E.
Suy ra: ∠BCD = 45o; ∠ABC = 180o - 45o = 135o
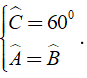
b) Xét hình thang cân ABCD ( AB//CD ) có Dˆ = 600
Theo định nghĩa và giả thiết về hình thang cân ta có:
Do góc A và góc D là hai góc cùng nằm một phía của
AB//CD nên chúng bù nhau hay Aˆ + Dˆ = 1800.
⇒ Aˆ = 1800 - Dˆ = 1800 - 600 = 1200.
Do đó Aˆ = Bˆ = 1200.
Vậy Cˆ = Dˆ = 600 và Aˆ = Bˆ = 1200.
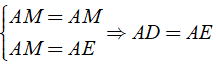
Bài 3: Cho tam giác ABC ( AB > AC ) có Aˆ = 500. Trên cạnh AB lấy điểm D sao cho BD = AC. Gọi E,F lần lượt là trung điểm của cạnh AD,BC. Tính BEFˆ = ?
Lời giải:
Do E,F lần lượt là trung điểm của cạnh AD,BC theo giả thiết nên ta vẽ thêm I là trung điểm của CD nên EI, FI theo thứ tự lần lượt là đường trung bình của tam giác BCD và ACD.
Đặt BD = AC = 2a
Áp dụng định lý đường trung bình của hai tam giác trên ta có:
( 1 ) FI//BD ( 2 ) FI = a
( 3 ) EI = a ( 4 ) EI//AC
Từ ( 1 ) ⇒ E1ˆ = F1ˆ (vì so le trong) ( 5 )
Từ ( 2 ) và ( 3 ) ⇒ FI = EI nên E2ˆ = F1ˆ (vì trong tam giác, đối diện với hai cạnh bằng nhau là hai góc bằng nhau) ( 6 )
Từ ( 5 ) và ( 6 ) ⇒ E1ˆ = E2ˆ
Từ ( 4 ) ⇒ BEIˆ = Aˆ = 500 (vì đồng vị)
Mà BEIˆ = 2E1ˆ ⇒ E1ˆ = 250
Bài 4: Tìm giá trị của x từ các thông tin trên hình sau ?
Lời giải:
Kẻ BH ⊥ CD, tứ giác ABHD có Aˆ = ABHˆ = BHDˆ = 900
⇒ Tứ giác ABHD là hình chữ nhật.
Áp dụng tính chất của hình chữ nhật ta có:
Ta có: CD = DH + HC ⇒ HC = CD - DH = 15 - 10 = 5( cm )
+ Xét Δ BCH, áp dụng định lý Py – to – go ta có:
BC2 = HC2 + BH2 ⇒ BH2 = BC2 - HC2
⇒ BH = √ (BC2 - HC2) = √ (132 - 52) = 12( cm )
Do đó BH = AD = x = 12( cm ). Vậy x = 12
Bài 5: Chứng minh rằng các đường cao của hình thoi bằng nhau.
Lời giải:
Xét hình thoi ABCD, kẻ hai đường cao AH ⊥ BC, AK ⊥ CD
Ta cần chứng minh: AH = AK.
Áp dụng định nghĩa, tính chất về góc và giả thiết của hình thoi ABCD, ta có:
⇒ Δ ABH = Δ ADH ( g - c - g )
⇒ AH = AK (cặp cạnh tương ứng bằng nhau)
→ (đpcm)
2. Vận dung – Vận dụng cao
Bài 1: Cho hình thang ABCD ( AB//CD ) có AB = 2cm, CD = 5cm, AD = 7cm. Gọi E là trung điểm của BC. Tính AEDˆ = ?
Lời giải:
Đặt E1ˆ = α , E2ˆ = β ⇒ AEDˆ = α + β
Do E là trung điểm của BC theo giả thiết vẽ I là trung điểm của AD thì
AI = ID = AD/2 = 3,5( cm ). ( 1 )
Ta có EI là đường trung bình của hình thang ABCD.
Áp dụng định lý đường trung bình của hình thang ABCD ta có:
IE = (AB + CD)/2 = (2 + 5)/2 = 3,5( cm ) ( 2 )
Từ ( 1 ) và ( 2 ) ta có
(vì trong tam giác, đối diện với hai cạn bằng nhau là hai góc bằng nhau)
+ Xét tam giác ADE có A1ˆ + AEDˆ + D2ˆ = 1800
Hay α + α + β + β = 2( α + β ) = 1800 ⇒ α + β = 900
Do α + β = 900 nên AEDˆ = 900.
Bài 2: Cho Δ ABC có Aˆ = 500, điểm M thuộc cạnh BC. Vẽ điểm D đối xứng với M qua AB, vẽ điểm E đối xứng với M qua AC.
a) Chứng minh rằng AD = AE.
b) Tính số đo góc DAEˆ = ?
Lời giải:
a) Theo giả thiết ta có:
+ D đối xứng với M qua AB.
+ E đối xứng với M qua AC.
+ A đối xứng với A qua AB, AC.
AD đối xứng với AM qua AB, AE đối xứng với AM qua AC.
⇒ Áp dụng tính chất đối xứng ta có:
⇒ (đpcm).
b) Theo ý câu a, ta có
+ A1ˆ đối xứng A2ˆ qua AB
+ A3ˆ đối xứng A4ˆ qua AC.
Áp dụng tính chất đối xứng trục, ta có:
⇒ A1ˆ + A4ˆ = A2ˆ + A3ˆ = Aˆ = 500 ⇒ DAEˆ = 2Aˆ = 1000.
Vậy DAEˆ = 1000.
Bài 3: Cho tam giác nhọn ABC, các đường cao BD, CE. Gọi H, K lần lượt là các chân đường cao kẻ từ kẻ từ B và C đến đường thẳng DE. Chứng minh rằng HE = DK.
Lời giải:
Vì BD, CE là đường cao của tam giác ABC nên
do đó Δ BDC vuông tại D, Δ CEB vuông tại E.
Gọi M là trung điểm của BC
⇒ DM, EM là đường trung tuyến ứng với cạnh huyền của Δ BDC và Δ CEB.
Áp dụng tính chất của đường trung tuyến ứng với cạnh huyền của hai tam giác trên ta được:
⇒ DM = EM ⇒ Δ MDE cân tại M.
Từ giả thiết ta có tứ giác BHKC là hình thang vuông nên vẽ MI ⊥ DE thì BH//MI//CK ( 1 ) (vì cùng vuông góc với đường thẳng DE)
Mà ta có BM = MC ( 2 ) (do ta vẽ hình trên)
Từ ( 1 ),( 2 ) suy ra BH, MI, CK là ba đường thẳng song song cách đều nên chúng chắn trên đường thẳng HK hai đoạn thẳng liên tiếp bằng nhau là HI = IK ( 3 ).
Áp dụng tính chất của đường cao ứng với cạnh đáy của tam giác cân MDE ta được:
EI = ID ( 4 ).
Trừ theo vế đẳng thức ( 3 ) cho ( 4 ), ta được: HE = DK.
Bài 4: Cho hình vuông ABCD cạnh bằng a. Trên hai cạnh BC, CD lấy lần lượt hai điểm M, N sao cho MANˆ = 450. Trên tia đối của của tia DC lấy điểm K sao cho DK = BM. Hãy tính :
a) Tính số đo KANˆ = ?
b) Chu vi tam giác MCN theo a.
Lời giải:
a) Áp dụng đĩnh nghĩa và giả thiết của hình vuông ABCD, ta được
⇒ Δ ABM = Δ ADK ( c - g - c )
Áp dụng kết quả của hai tam giác bằng nhau và giả thiết, ta có:
⇒ KANˆ = A3ˆ + A4ˆ = A1ˆ + A3ˆ = 900 - 450 = 450
b) Đặt BM = DK = x thì KN = x + DN, MC = a - x, CN = a - DN
Từ kết quả của hai tam giác bằng nhau ở câu a và giả thiết ta có:
⇒ Δ AMN = Δ AKN ( c - g - c )
⇒ MN = KN (cạnh tương ứng bằng nhau)
Khi đó, chu vi của tam giác MCN là
MC + CN + MN = a - x + a - DN + x + DN = 2a.
Bài 5: Tính chiều cao của hình thang cân ABCD, biết rằng cạnh bên AD = 5cm, cạnh đáy AB = 6cm và CD = 14cm.
Lời giải:
Kẻ AH ⊥ CD, BK ⊥ CD thì AH//BK nên hình thang ABKH có hai cạnh bên song song.
Áp dụng tính chất của hình thang ABKH có hai cạnh bên song song, ta có:
Áp dụng định lí Py – ta – go vào tam giác ADH vuông tại H ta được:
AD2 = DH2 + HA2 hay 52 = 42 + HA2
⇔ AH2 = 32 ⇔ HA = 3( cm ) (vì AH > 0 ).
Vậy chiều cao của hình thang cân là 3cm.
Bài 6: Tính chiều cao BH của hình thang cân ABCD, biết AC ⊥ BD và hai cạnh đáy AB = a, CD = b. Từ đó suy ra cách vẽ hình.
Lời giải:
Kẻ Bx ⊥ BD cắt DC tại E, do cùng với vuông góc với BD.
Hình thang ABEC có hai cạnh bên song song, nên AC = BE ( 1 ) và hai đáy AB = CE = a.
Suy ra DE = DC + CE = a + b
Lại có: AC = BD (vì là đường chéo của hình thang cân) ( 2 )
Từ ( 1 ) và ( 2 ) suy ra BD = BE nên tam giác BDE vuồn cân tại B.
Do BH vừa là đường cao vừa là đường trung tuyến của tam giác BDE, nên
DH = DE/2 = (a + b)/2 và D1ˆ = 450. Lúc đó tam giác BDH vuông cân tại H.
Vậy BH = (a + b)/2.
Cách vẽ hình:
+ Bước 1: Vẽ Δ BDE vuông cân tại B có đường cao BH và DE = a + b.
+ Bước 2: Kẻ Bx//DE. Lấy C ∈ HE sao cho CE = b.
+ Bước 3: Kẻ Cy//DE cắt Bx tại A. Ta được hình thang thỏa mãn yêu cầu bài cho.
Bài 7: Cho hình vuông ABCD. Gọi I,K lần lượt là trung điểm của AD và DC.
a) Chứng minh rằng BI ⊥ AK.
b) Gọi E là giao điểm của BI và AK. Chứng minh rằng CE = AB.
Lời giải:
Xét Δ BAI và Δ ADK có:
⇒ Δ BAI = Δ ADK ( c - g - c )
⇒ ABIˆ = DAKˆ (góc tương ứng bằng nhau)
Mà IAEˆ + EABˆ = 900 ⇒ ABIˆ + EABˆ = 900
+ Xét Δ ABE có EABˆ + ABEˆ + AEBˆ = 1800
⇒ AEBˆ = 1800 - ( ABEˆ + BAEˆ ) = 1800 - 900 = 900 hay AK ⊥ BI (đpcm)
+ Xét tứ giác EBCK có KEBˆ + EBCˆ + BCKˆ + CKEˆ = 3600
⇒ EBCˆ + EKCˆ = 1800.
Mà AKDˆ + AKCˆ = 1800 nên EBCˆ = EKDˆ
+ Tứ giác EBCK nội tiếp nên BECˆ = BKCˆ
Mà BKCˆ = AKDˆ nên EBCˆ = BECˆ hay tam giác BEC cân tại C
⇒ CE = BC = AB (đpcm)
Bài 8: Cho hai điểm A, B cùng nằm trên một nửa mặt phẳng có bờ là đường thẳng d. Tìm trên d điểm M sao cho tổng MA + MB nhỏ nhất.
Lời giải:
Vẽ điểm C đối xứng với B qua đường thẳng d, giả sử tìm được điểm M trên d thì MB = MC ( 1 ).
Do A, B, d cố định nên C cũng cố định suy ra độ dài đoạn AC không đổi.
Áp dụng bất đẳng thức tam giác ta có vào Δ AMC ta được: MA + MC ≥ AC ( 2 )
Dấu bằng xảy ra khi M nằm giữa A và C hay M là giao điểm của AC và đường thẳng d
Từ ( 1 ) và ( 2 ) suy ra MA + MB nhỏ nhất bằng AC khi M là giao điểm của AC và đường thẳng d
Bài 9: Cho hình thang vuông ABCD có Aˆ = Dˆ = 900 và CD = 2AB. Kẻ DE ⊥ AC, gọi I là trung điểm của EC. Chứng minh rằng BIDˆ = 900.
Lời giải:
Vẽ BH ⊥ DC thì tứ giác ABHD có ba góc vuông là Aˆ = Dˆ = Hˆ = 900 nên nó là hình chữ nhật.
Áp dụng tính chất về cạnh và giả thiết về hình chữ nhật ABHD ta được:
Lại có IE = IC ( 2 )
Từ ( 1 ), ( 2 ) suy ra HI là đường trung bình của tam giác DCE.
Áp dụng định lý về được trung bình trong tam giác DCE ta được HI//DE do DE ⊥ AC theo giả thiết nên HI ⊥ AC hay tam giác AIH vuông tại I.
+ Trong hình chữ nhật ABHD có
là đường trung tuyến của hai tam giác vuông AIH và BID.
Mặt khác ta lại có:
Điều đó chứng tỏ trong tam giác BID có IO là đường trung tuyến ứng với cạnh huyền và bằng nửa cạnh ấy nên nó là tam giác vuông tại I.
Vậy BIDˆ = 900
Bài 10: Cho hình vuông ABCD. Trên cạnh BC lấy điểm M, qua A kẻ AN ⊥ AM (điểm N thuộc tia đối của tia DC). Gọi I là trung điểm của MN. Chứng minh rằng:
a) AM = AN
b) Ba điểm B, I, D thẳng hàng.
Lời giải:
a) Áp dụng định nghĩa và giả thiết của hình vuông ABCD ta được:
⇒ Δ ABM = Δ ADN( g - c - g )
Do đó AM = AN (cặp cạnh tương ứng bằng nhau)
b) Ta có IA, IC lần lượt là các đường trung tuyến ứng với cạnh huyền của hai tam giác vuông AMN, CMN.
Áp dụng tính chất đường trung tuyến ứng vói cạnh huyền của hai tam giác vuông trên và định nghĩa ta có:
Chứng tỏ hai điểm B và I cách đều hai điểm A và C nên BI là đường trung trực của đoạn AC.
Mà theo tính chất của hình vuông thì BD là đường trung trực của AC mà đoạn AC chỉ có một đường trung trực nên BI trung với BD hay B,I,D thẳng hàng.
(199k) Xem Khóa học Toán 8 KNTTXem Khóa học Toán 8 CTSTXem Khóa học Toán 8 CD
Xem thêm các phần lý thuyết, các dạng bài tập Toán lớp 8 có đáp án chi tiết hay khác:
- Lý thuyết Đa giác. Đa giác đều
- Bài tập Đa giác. Đa giác đều
- Lý thuyết Diện tích hình chữ nhật
- Bài tập Diện tích hình chữ nhật
- Lý thuyết Diện tích tam giác
- Bài tập Diện tích tam giác
Xem thêm các loạt bài Để học tốt Toán lớp 8 hay khác:
Tủ sách VIETJACK shopee lớp 6-8 (2025):
Đã có app VietJack trên điện thoại, giải bài tập SGK, SBT Soạn văn, Văn mẫu, Thi online, Bài giảng....miễn phí. Tải ngay ứng dụng trên Android và iOS.
Theo dõi chúng tôi miễn phí trên mạng xã hội facebook và youtube:Loạt bài Lý thuyết & 700 Bài tập Toán lớp 8 có lời giải chi tiết có đầy đủ Lý thuyết và các dạng bài có lời giải chi tiết được biên soạn bám sát nội dung chương trình sgk Đại số 8 và Hình học 8.
Nếu thấy hay, hãy động viên và chia sẻ nhé! Các bình luận không phù hợp với nội quy bình luận trang web sẽ bị cấm bình luận vĩnh viễn.
- Giải Tiếng Anh 8 Global Success
- Giải sgk Tiếng Anh 8 Smart World
- Giải sgk Tiếng Anh 8 Friends plus
- Lớp 8 - Kết nối tri thức
- Soạn văn 8 (hay nhất) - KNTT
- Soạn văn 8 (ngắn nhất) KNTT
- Giải sgk Toán 8 - KNTT
- Giải sgk Khoa học tự nhiên 8 - KNTT
- Giải sgk Lịch Sử 8 - KNTT
- Giải sgk Địa Lí 8 - KNTT
- Giải sgk Giáo dục công dân 8 - KNTT
- Giải sgk Tin học 8 - KNTT
- Giải sgk Công nghệ 8 - KNTT
- Giải sgk Hoạt động trải nghiệm 8 - KNTT
- Giải sgk Âm nhạc 8 - KNTT
- Lớp 8 - Chân trời sáng tạo
- Soạn văn 8 (hay nhất) - CTST
- Soạn văn 8 (ngắn nhất) - CTST
- Giải sgk Toán 8 - CTST
- Giải sgk Khoa học tự nhiên 8 - CTST
- Giải sgk Lịch Sử 8 - CTST
- Giải sgk Địa Lí 8 - CTST
- Giải sgk Giáo dục công dân 8 - CTST
- Giải sgk Tin học 8 - CTST
- Giải sgk Công nghệ 8 - CTST
- Giải sgk Hoạt động trải nghiệm 8 - CTST
- Giải sgk Âm nhạc 8 - CTST
- Lớp 8 - Cánh diều
- Soạn văn 8 Cánh diều (hay nhất)
- Soạn văn 8 Cánh diều (ngắn nhất)
- Giải sgk Toán 8 - Cánh diều
- Giải sgk Khoa học tự nhiên 8 - Cánh diều
- Giải sgk Lịch Sử 8 - Cánh diều
- Giải sgk Địa Lí 8 - Cánh diều
- Giải sgk Giáo dục công dân 8 - Cánh diều
- Giải sgk Tin học 8 - Cánh diều
- Giải sgk Công nghệ 8 - Cánh diều
- Giải sgk Hoạt động trải nghiệm 8 - Cánh diều
- Giải sgk Âm nhạc 8 - Cánh diều


Giải bài tập SGK & SBT
Tài liệu giáo viên
Sách
Khóa học
Thi online
Hỏi đáp

