Tổng hợp Lý thuyết, Bài tập Chương 2 Toán 8 (sách mới, có đáp án)
Với lý thuyết tổng hợp và bài tập Chương 2 Toán 8 sách mới Chân trời sáng tạo, Cánh diều, Kết nối tri thức lớp 8 hay, chi tiết giúp bạn nắm vững kiến thức trọng tâm, ôn luyện để học tốt Toán 8 Chương 2.
Tổng hợp Lý thuyết, Bài tập Chương 2 Toán 8 (sách mới, có đáp án)
(199k) Xem Khóa học Toán 8 KNTTXem Khóa học Toán 8 CTSTXem Khóa học Toán 8 CD
(Chân trời sáng tạo) Lý thuyết Toán 8 Chương 2: Các hình khối trong thực tiễn
(Kết nối tri thức) Lý thuyết Toán 8 Chương 2: Hằng đẳng thức đáng nhớ và ứng dụng
Lời giải bài tập Toán 8 Chương 2 sách mới:
(Chân trời sáng tạo) Giải Toán 8 Chương 2: Các hình khối trong thực tiễn
(Kết nối tri thức) Giải Toán 8 Chương 2: Hằng đẳng thức đáng nhớ và ứng dụng
Lưu trữ: Lý thuyết, Bài tập Toán 8 Chương 2 Hình học (sách cũ)
A. Lý thuyết
1. Định nghĩa đa giác
Đa giác lồi là đa giác luôn nằm trong một nửa mặt phẳng có bờ là đường thẳng chứa bất kì cạnh nào của đa giác đó.
Đa giác đều là đa giác có tất cả các cạnh bằng nhau và tất cả các góc bằng nhau.
2. Mở rộng
Tổng các góc của đa giác n cạnh bằng (n - 2).1800.
Mỗi góc của đa giác đều n cạnh bằng
Số các đường chéo của đa giác n cạnh bằng
3. Công thức diện tích
Diện tích tam giác bằng nửa tích một cạnh với chiều cao ứng với cạnh đó: S = 1/2a.h.
Diện tích tam giác vuông bằng nửa tích hai cạnh góc vuông: S = 1/2ab.
Diện tích hình chữ nhật bằng tích hai kích thước của nó: S = ab.
Diện tích hình vuông bằng bình phương cạnh của nó: S = a2.
Diện tích hình thang bằng nửa tích của tổng hai đáy với chiều cao: S = 1/2(a + b)h.
Diện tích hình bình hành bằng tích của một cạnh với chiều cao ứng với cạnh đó: S = ah.
Diện tích hình thoi bằng nửa tích hai đường chéo: S = 1/2d1d2.
B. Trắc nghiệm & Tự luận
I. Bài tập trắc nghiệm
Bài 1: Đa giác đều là đa giác ?
A. Có tất cả các cạnh bằng nhau.
B. Có tất cả các góc bằng nhau.
C. Có tất cả các cạnh bằng nhau và tất cả các góc bằng nhau.
D. Cả 3 đáp án trên đều đúng
Lời giải:
Ta cần nhớ định nghĩa: Đa giác đều là đa giác có tất cả các cạnh bằng nhau và tất cả các góc bằng nhau.
Chọn đáp án C.
Bài 2: Lục giác đều có?
A. Có 6 cạnh bằng nhau và 6 góc bằng nhau.
B. Có 6 cạnh bằng nhau và 6 góc bất kì
C. Có 5 cạnh bằng nhau và 5 góc bằng nhau.
D. Có 4 cạnh bằng nhau và 4 góc bằng nhau.
Lời giải:
Ta cần nhớ định nghĩa: Đa giác đều là đa giác có tất cả các cạnh bằng nhau và tất cả các góc bằng nhau.
Lục giác đều là đa giác có 6 cạnh và 6 góc bằng nhau.
Chọn đáp án A.
Bài 3: Trong các khẳng định sau, khẳng định nào đúng, khẳng định nào sai ?
A. Hình vuông là đa giác đều.
B. Tổng các góc của đa giác lồi 8 cạnh là 10800.
C. Hình thoi là đa giác đều.
D. Số đo góc của hình bát giác đều là 135,50.
Lời giải:
Ta cần nhớ định nghĩa: Đa giác đều là đa giác có tất cả các cạnh bằng nhau và tất cả các góc bằng nhau.
+ Hình vuông là hình có 4 cạnh bằng nhau và 4 góc bằng nhau
⇒ Hình vuông là đa giác đều.
⇒ Đáp án A đúng.
+ Hình thoi là hình có 4 cạnh bằng nhau nhưng 4 góc không bằng nhau.
⇒ Hình thoi không phải là đa giác đều.
⇒ Đáp án C sai.
+ Tổng số đo các góc của đa giác n cạnh là ( n - 2 ).1800.
Khi đó tổng các góc của đa giác lồi 8 cạnh là ( 8 - 2 ).1800 = 10800.
⇒ Đáp án B đúng.
+ Số đo của một góc của đa giác đều n cạnh là (( n - 2 ).1800)/n.
Khi đó số đo của hình bát giác đều là (( 8 - 2 ).1800)/8 = 1350.
⇒ Đáp án D sai.
Bài 4: Một đa giác 7 cạnh thì số đường chéo của đa giác đó là ?
A. 12. B. 13.
C. 14. D. Kết quả khác.
Lời giải:
Số đường chéo của đa giác n cạnh là (n( n - 3 ))/2.
Khi đó số đường chéo của đa giác 7 cạnh là (7( 7 - 3 ))/2 = 14 (đường chéo)
Chọn đáp án C.
Bài 5: Một đa giác có số đường chéo bằng số cạnh của đa giác thì đa giác có số cạnh là?
A. 5. B. 6.
C. 4. D. 7.
Lời giải:
Số đường chéo của đa giác n cạnh là (n( n - 3 ))/2. ( n ∈ N, n ≥ 3 )
Theo giả thiết ta có (n( n - 3 ))/2 = n ⇔ n( n - 3 ) = 2n ⇔ n2 - 3n - 2n = 0
⇔ n2 - 5n = 0 ⇔ n( n - 5 ) = 0 ⇔
So sánh điều kiện ta có n = 5 thỏa mãn.
Chọn đáp án A.
Bài 6: Diện tích hình chữ nhật thay đổi như thế nào nếu chiều rộng tăng 4 lần, chiều dài giảm 2 lần ?
A. Diện tích không đổi.
B. Diện tích giảm 2 lần.
C. Diện tích tăng 2 lần.
D. Cả đáp án A, B, C đều sai.
Lời giải:
Công thức diện tích hình chữ nhật là Shcn = a.b
Trong đó : a là chiều dài, b là chiều rộng
Theo giả thiết: Sban đầu = a.b
Khi đó ta có: Ssau = 4b.1/2a = 2a.b = 2Sban đầu
Do đó, diện tích sau tăng lên 2 lần.
Chọn đáp án C.
Bài 7: Cho hình chữ nhật có chiều dài là 4 cm, chiều rộng là 1,5 cm. Diện tích của hình chữ nhật đó là ?
A. 5( cm ) B. 6( cm2 )
C. 6( cm ) D. 5( cm2 )
Lời giải:
Công thức diện tích hình chữ nhật là Shcn = a.b
Trong đó : a là chiều dài, b là chiều rộng
Khi đó ta có: Shcn = 4. 1,5 = 6( cm2 ).
Chọn đáp án B.
Bài 8: Cho hình vuông có độ dài cạnh hình vuông là 4 cm. Diện tích của hình vuông đó là?
A. 8( cm ). B. 16( cm )
C. 8( cm2 ) D. 16( cm2 )
Lời giải:
Diện tích hình vuông bằng bình phương cạnh của nó: S = a2.
Khi đó ta có Shv = 4.4 = 16 ( cm2 ).
Chọn đáp án D.
Bài 9: Cho tam giác vuông, có độ dài hai cạnh góc vuông lần lượt là 6cm, 4cm. Diện tích của tam giác vuông đó là ?
A. 24( cm2 ) B. 14( cm2 )
C. 12( cm2 ) D. 10( cm2 )
Lời giải:
Diện tích tam giác vuông bằng nửa tích hai cạnh: S = 1/2a.b.
Khi đó ta có S = 1/2. 6. 4 = 12( cm2 ).
Chọn đáp án C.
Bài 10: Cho hình vuông có đường chéo là 6( dm ) thì diện tích là ?
A. 12( cm2 ) B. 18( cm2 )
C. 20( cm2 ) D. 24( cm2 )
Lời giải:
Diện tích hình vuông bằng bình phương cạnh của nó: S = a2.
Ngoài công thức này, diện tích hình vuông còn một công thức mở rộng là:
Diện tích hình vuông bằng nửa tích của hai đường chéo
Khi đó ta có : S = 1/2. 6. 6 = 18( cm2 ).
Chọn đáp án B.
Bài 11: Tam giác có độ dài cạnh đáy bằng a , độ dài cạnh huyền là h. Khi đó diện tích tam giác được tính bằng công thức ?
A. a.h B. 1/3ah
C. 1/2ah D. 2ah
Lời giải:
Ta có diện tích của tam giác: S = 1/2a.h.
Trong đó: a là độ dài cạnh đáy, h là độ dài đường cao
Chọn đáp án C.
Bài 12: Diện tích tam giác SAHB = ? với H là chân đường cao kẻ từ A.
A. SABC - SAHB
B. SAHC - SABC
C. SABC - SAHC
D. SAHC + SABC
Lời giải:
Ta có: SAHB + SAHC = SABC ⇒ SAHB = SABC - SAHC
Chọn đáp án C.
Bài 13: Cho Δ ABC, có đường cao AH = 2/3BC thì diện tích tam giác là ?
A. 2/5BC2. B. 2/3BC2.
C. 1/3BC2. D. 1/3BC.
Lời giải:
Ta có diện tích của tam giác: S = 1/2b.h.
Trong đó: b là độ dài cạnh đáy, h là độ dài đường cao
Khi đó ta có :
S = 1/2AH.BC = 1/2.2/3BC.BC = 1/3BC2.
Chọn đáp án C.
Bài 14: Δ ABC có đáy BC = 6cm, đường cao AH = 4cm. Diện tích Δ ABC là ?
A. 24cm2 B. 12cm2
C. 24cm. D. 14cm2
Lời giải:
Ta có diện tích Δ ABC là S = 1/2AH.BC = 1/2.6.4 = 12( cm2 ).
Chọn đáp án B.
Bài 15: Cho Δ ABC vuông tại A, có đáy BC = 5cm và AB = 4cm. Diện tích Δ ABC là ?
A. 12cm2 B. 10cm
C. 6cm2 D. 3cm2
Lời giải:
Áp dụng định lý Py – ta – go ta có AB2 + AC2 = BC2 ⇒ AC = √ (BC2 - AB2)
⇒ AC = √ (52 - 42) = 3cm.
Khi đó SABC = 1/2AB.AC = 1/2.4.3 = 6( cm2 )
Chọn đáp án C.
Bài 16: Cho Δ ABC, đường cao AH. Biết AB = 15cm, AC = 41cm, HB = 12cm. Diện tích của Δ ABC là ?
A. 234( cm2 ) B. 214( cm2 )
C. 200( cm2 ) D. 154( cm2 )
Lời giải:
Áp dụng định lý Py – ta – go ta có:
+ Xét Δ ABH có AH2 + BH2 = AB2 ⇒ AH = √ (AB2 - BH2)
⇒ AH = √ (152 - 122) = 9 ( cm ).
+ Xét Δ ACH có AC2 = AH2 + HC2 ⇒ HC = √ (AC2 - AH2)
⇒ HC = √ (412 - 92) = 40 ( cm ).
Khi đó SABC = 1/2AH.BC = 1/2AH( HB + HC ) = 1/2.9.( 12 + 40 ) = 234 ( cm2 ).
Chọn đáp án A.
Bài 17: Hình thang có độ dài đáy lần lượt là 2√ 2 cm, 3cm và chiều cao là 3√ 2 cm. Diện tích của hình thang là ?
A. 2( 2 + √ 2 )cm2.
B. 3( 2 + 3/2√ 2 )cm2.
C. 3( 3 + √ 2 )cm2.
D. 3( 2 + (√ 2 )/2 )cm2
Lời giải:
Ta có: S = 1/2( a + b ).h
Khi đó ta có:
= 3√ 2 .( √ 2 + 3/2 ) = 3( 2 + 3/2√ 2 )cm2
Chọn đáp án B.
Bài 18: Hình thang có độ dài đáy lần lượt là 6cm, 4cm và diện tích hình thang đó là 15cm2. Chiều cao hình thang có độ dài là ?
A. 3cm. B. 1,5cm
C. 2cm D. 1cm
Lời giải:
Diện tích của hình thang là S = 1/2( a + b ).h
⇒ ( a + b ).h = 2S ⇔ h = (2S)/(a + b).
Khi đó, chiều cao của hình thang là h = (2.15)/(6 + 4) = 3( cm ).
Chọn đáp án A.
Bài 19: Cho hình bình hành ABCD ( AB//CD ) có AB = CD = 4cm, độ dài đường cao hình bình hành là h = 2cm. Diện tích của hình bình hành là?
A. 4( cm2 ) B. 8( cm2 )
C. 6( cm2 ) D. 3( cm2 )
Lời giải:
Ta có : S = a.h
Khi đó ta có: S = 4.2 = 8( cm2 ).
Chọn đáp án B.
Bài 20: Cho hình thang vuông ABCD ( Aˆ = Dˆ = 900 ), trong đó có Cˆ = 450, AB = 2cm, CD = 4cm. Diện tích của hình thang vuông ABCD là
A. 3( cm2 ) B. 8( cm2 )
C. 4( cm2 ) D. 6( cm2 )
Lời giải:
Xét hình thang ABCD
Từ B kẻ BH ⊥ CD, khi đó ta được hình chữ nhật ABHD ⇒ AB = DH = 2cm
⇒ HC = CD - DH = 4 - 2 = 2cm.
+ Xét Δ BDC có BH là đường cao đồng thời là đường trung tuyến
⇒ Δ BDC là tam giác cân tại B.
Mà BCDˆ = 450 ⇒ BDCˆ = 450
⇒ DˆBC = 1800 - ( BCDˆ + BDCˆ ) = 1800 - 900 = 900.
⇒ Δ BDC là tam giác vuông cân tại B nên BH = 1/2DC = 2cm.
Do đó
Chọn đáp án D.
Bài 21: Công thức diện tích hình thoi là ?
A. d1d2
B. 1/2d1d2
C. 2d1d2
D. Cả 3 đều sai.
Lời giải:
Diện tích của hình thoi là S = 1/2d1.d2
Trong đó d1,d2 lần lượt là độ dài hai đường chéo.
Chọn đáp án B.
Bài 22: Cho hình thoi có độ dài hai đường chéo lần lượt là 8cm, 10cm. Diện tích hình thoi là?
A. 80cm2. B. 40cm2.
C. 18cm2. D. 9cm2.
Lời giải:
Diện tích của hình thoi là S = 1/2d1.d2
Trong đó d1,d2 lần lượt là độ dài hai đường chéo.
Khi đó, diện tích của hình thoi là Shình thoi = 1/2.8.10 = 40( cm2 )
Chọn đáp án B.
Bài 23: Hình thoi có độ dài hai đường chéo lần lượt là a√ 2 ,cm, a√ 3 cm. Diện tích của hình thoi là ?
A. a2√ 6 ( cm2 )
B. (a2√ 6 )/3( cm2 )
C. (a2√ 6 )/2( cm2 )
D. (a2√ 5 )/2( cm2 )
Lời giải:
Diện tích của hình thoi là S = 1/2d1.d2
Trong đó d1,d2 lần lượt là độ dài hai đường chéo.
Khi đó, diện tích của hình thoi là Shình thoi = 1/2. a√ 2 . a√ 3 = (a2√ 6 )/2( cm2 )
Chọn đáp án C.
Bài 24: Cho hình thoi ABCD có AB = BC = CD = DA = 4cm và BACˆ = 600. Diện tích của hình thoi ABCD là ?
A. 8( cm2 ) B. 8√ 3 ( cm2 )
C. 16( cm2 ) D. 16√ 3 ( cm2 )
Lời giải:
Xét hình thoi ABCD có BACˆ = 600.
Ta có ⇒ Δ ABD đều
⇒ AB = AD = BD = 4cm
Gọi H là giao điểm của hai đường chéo AC,BD.
Áp dụng định lí Py – ta – go ta có:
AH2 + HB2 = AB2 ⇒ AH = √ (AB2 - HB2)
⇒ AC = 2AH = 4√ 3 ( cm )
Do đó SABCD = 1/2AC.BD = 1/2.4√ 3 .4 = 8√ 3 ( cm2 )
Chọn đáp án B.
Bài 25: Cho hình thoi ABCD có chu vi bằng 40cm và đường chéo BD = 8cm. Diện tích của hình thoi là ?
A. 16( cm2 )
B. 8√ 21 ( cm2 )
C. 16√ 21 ( cm2 )
D. 8( cm2 )
Lời giải:
Gọi H là giao điểm của hai đường chéo AC,BD.
⇒ HB = HD = 4( cm )
Theo giải thiết ta có:
PABCD = AB + BC + CD + DA = 40
⇒ AB = BC = CD = DA = 10( cm )
Áp dụng định lý Py – ta – go ta có :
AH2 + HB2 = AB2 ⇒ AH = √ (AB2 - HB2) = √ (102 - 42) = 2√ 21 ( cm )
⇒ AC = 2AH = 4√ 21 ( cm )
Do đó SABCD = 1/2.BD.AC = 1/2.4√ 21 .8 = 16√ 21 ( cm2 )
Chọn đáp án C.
II. Bài tập tự luận
1. Nhận biết – Thông hiểu
Bài 1: Cho đa giác đều có 14 cạnh. Tính :
a) Tổng số đo góc của đa giác đó
b) Số đo một góc của đa giác
c) Số đường chéo của đa giác.
Lời giải:
a) Tổng số đo các góc của đa giác n cạnh là ( n - 2 ).1800.
Tổng số đo của đa giác 14 cạnh là ( 14 - 2 ).1800 = 21600.
b) Số đo của một góc của đa giác đều n cạnh là
Số đo một góc của đa giác 14 cạnh là
c) Số đường chéo của đa giác n cạnh là
Số đường chéo của đa giác 14 cạnh làđường chéo
Bài 2: Diện tích hình chữ nhật thay đổi như thế nào nếu :
a) Chiều dài tăng hai lần, chiều rộng không đổi
b) Chiều dài và chiều rộng tăng 3 lần.
c) Chiều dài tăng 4 lần, chiều rộng giảm 4 lần.
Lời giải:
Gọi chiều dài và chiều rộng của một hình chữ nhật lần lượt là a,b
Diện tích hình chữ nhật là Shcn = a.b.
a) Nếu chiều dài tăng lên 2 lần, chiều rộng không đổi thì khi đó chiều dài, chiều rộng mới là là 2a và b
Diện tích hình chữ nhật mới là Sm = 2a.b = 2S.
⇒ Diện tích hình chữ nhật tăng lên 2 lần.
b) Nếu chiều dài và chiều rộng tăng lên 3 lần thì chiều dài, chiều rộng mới là 3a,3b
Diện tích hình chữ nhật mới là Sm = 3a.3b = 9S.
⇒ Diện tích hình chữ nhật tăng lên 9 lần.
c) Nếu chiều dài tăng 4 lần, chiều rộng giảm đi 4 lần thì chiều dài, chiều rộng mới là 4a, 1/4b
Diện tích hình chữ nhật mới là Sm = 4a. 1/4b = ab = S.
⇒ Diện tích hình chữ nhật không đổi.
Bài 3: Tính độ dài các cạnh hình chữ nhật biết rằng
a) Bình phương độ dài một cạnh là 16cm và diện tích hình chữ nhật là 28cm2.
b) Tỉ số các cạnh là 4:9 và diện tích của nó là 144cm2.
Lời giải:
Gọi hai kích thước của hình chữ nhật là a,b ( a > 0, b > 0 ). Khi đó diện tích của hình chữ nhật là Shcn = a.b
a) Theo bài ra ta có: x.y = 28 ( 1 ) và x2 = 16 = 42 ⇔ x = 4 (vì x > 0 ), trường hợp y2 = 16 tương tự.
Thay x = 4 vào đẳng thức ( 1 ) ta có: 4y = 28 ⇔ y = 7.
Với x = 4,y = 7 thỏa mãn yêu cầu điều kiện.
Vậy hai kích thức của hình chữ nhật là 4cm, 7cm
b) Theo bài ra ta có x/y = 4/9 ( 2 ) và x.y = 144 ( 3 )
Nhân theo vế đẳng thức ( 2 ) với ( 3 ) ta được x2 = 82 ⇔ x = 8 (vì x > 0 )
Thay x = 8 vào đẳng thức ( 3 ) ta được 8y = 144 ⇔ y = 18.
Với x = 8,y = 18 thỏa mãn yêu cầu bài toán.
Vậy kích thức của hình chữ nhật là 8cm,18cm.
Bài 4: Tính diện tích của một tam giác cân có cạnh đáy là a, cạnh bên bằng b. Từ đó hãy tính diện tích của một tam giác đều có cạnh bằng a.
Lời giải:
Xét Δ ABC cân tại A có AB = AC = b, BC = a.
Từ A kẻ AH ⊥ BC.
Ta có BH = HC = 1/2BC = a/2
Khi đó ta có: SABC = 1/2AH.BC = 1/2.a.AH
Áp dụng định lý Py – to – go ta có:
AC2 = AH2 + HC2 ⇒ AH = √ (AC2 - HC2) .
Khi đó SABC = 1/2AH.BC
Do đó diện tích của tam giác đều các cạnh bằng a là
Bài 5: Cho Δ ABC cân tại A có BC = 30( cm ), đường cao AH = 20 ( cm ). Tính đường cao ứng với cạnh bên của tam giác cân đó.
Lời giải:
Xét Δ ABC cân tại A có BC = 30( cm )
⇒ BH = CH = 15( cm ).
Áp dụng đinh lý Py – ta – go ta có:
AB = √ (AH2 + HB2) = √ (202 + 152) = 25( cm )
Kẻ BK ⊥ AC, giờ ta phải tính BK = ?
Ta có : SABC = 1/2AH.BC = 1/2.20.30 = 300 ( cm2 )
Mặt khác SABC = 1/2BK.AC = 1/2.BK.25
Do đó, ta có 1/2BK.25 = 300 ⇔ BK = (2.300)/25 = 24( cm ).
Bài 6: Tính diện tích mảnh đất hình thang ABED có AB = 23cm, DE = 31cm và diện tích hình chữ nhật ABCD là 828cm2.
Lời giải:
Theo bài ra ta có SABCD = AB.BC = 23.BC = 828 ⇒ BC = 36 ( cm )
Khi đó ta có
Vậy diện tích hình thang ABED là 972( cm2 )
Bài 7: Cho hình thoi có độ dài hai đường chéo lần lượt là 10cm, 12cm. Tính diện tích của hình thoi đó ?
Lời giải:
Công thức diện tích của hình thoi là S = 1/2d1.d2
Trong đó d1,d2 là độ dài của hai đường chéo.
Khi đó diện tích hình thoi cần tìm là: S = 1/2.10.12 = 60( cm2 )
Vậy diện tích hình thoi cần tìm là 60( cm2 )
2. Vận dung – Vận dụng cao
Bài 1: Tìm số cạnh của một đa giác, biết rằng các đường chéo của nó có độ dài bằng nhau.
Lời giải:
Nhận thấy: Hình vuông và hình ngũ giác đều thỏa mãn yêu cầu của bài toán
Ta chứng minh đa giác có số cạnh lớn hơn 5 không thỏa mãn yêu cầu của bài toán bằng phương pháp phản chứng.
Giả sử tồn tại đa giác AA1A2 ... An với n ≥ 6 có các đường chéo có độ dài bằng nhau.
⇒ A1A4 = A2A5 vì chúng là các đường chéo.
Xét tứ giác A1A2A4A5, có các đoạn thẳng A1A4,A2A5 là các đường chéo; còn A1A5,A2A4 là các cạnh của tứ giác nên tổng hai đường chéo lớn hơn tổng hai cạnh đối.
Hay A1A5 + A2A4 < A1A4 + A2A5 mẫu thuẫn với giải thiết quy nạp vì A1A5,A2A4 cũng là hai đường chéo của đa giác.
⇒ Giả thiết đưa ra là sai.
Vậy đa giác có số cạnh lớn hơn 5 thì không thỏa mãn yêu cầu bài.
Bài 2: Cho hình chữ nhật ABCD. Qua E là một điểm bất kỳ nằm trrên đường chéo AC, kẻ hai đường chéo FG//AD và HK//AB ( F ∈ AB, G ∈ DC, H ∈ AD, K ∈ DC ). Chứng minh rằng hai hình chữ nhật EFBK và EGDH có cùng diện tích.
Lời giải:
Theo giả thiết ta có FG//AD, HK//AB nên HE//AF và AH//EF.
Xét tứ giác AFEH có:
⇒ AFEH là hình bình hành.
Mà Aˆ = 900 ⇒ AFEH là hình chữ nhật.
⇒ Δ AFE = Δ AHE ( c - g - c ) → SAFE = SAHE.
Tương tự: SEKC = SEGC; SABC = SADC
⇒ SABC - SAFE - SEKC = SADC - SAHE - SEGC hay SEFBK = SEHDG.
Bài 3: Trung tuyến AD và BE của Δ ABC cắt nhau tại G. Chứng minh rằng:
SDEG = 1/2SCEG = 1/3SCED = 1/4SABG = 1/6SABE = 1/12SABC.
Lời giải:
Đặt SDEG = a. Ta cần chứng minh:
SCEG = 2a; SCED = 3a; SABG = 4a; SABE = 6a; SABC = 12a
Đường trung tuyến AD và BE cứt nhau tại G nên G là trọng tâm của Δ ABC
⇒ Khoảng cách từ G đến các đỉnh của tam giác bằng 2/3 độ dài các đường trung tuyến tương ứng.
Ta có SBDG = 2SDGE = 2a (vì chung đường cao kẻ từ D xuống BE và BG = 2GE )
SBDG = SCGD = 2a (vì chung đường cao kẻ từ G xuống BC và BD = DC )
Do đó SBDC = SBDG + SCGD = 2a + 2a = 4a.
Lại có SCEG = 1/2SBGC = 1/2.4a = 2a (vì chung đường cao kẻ từ C xuống BE và BG = 2GE )
+ SEDC = SEBD = 2a + a = 3a (vì chung đường cao kẻ từ E xuống BC và BD = DC )
+ SAGB = 2SGBD = 4a (vì chung đường cao kẻ từ B xuống AD và AG = 2GD )
+ SAEB = 3/2SAGB = 3/2.4a = 6a (vì chung đường cao kẻ từ A xuống BE và BE = 3/2BG )
+ SABC = 2SABE = 2.6a = 12a.
Bài 4: Trên 3 cạnh AB, BC, CA của Δ ABC lấy ba đoạn AD, BE, CF mỗi đoạn dài bằng 1/3 độ dài của cạnh tương ứng. Chứng minh SABC = 3SDEF.
Lời giải:
Đặt SABC = 9a. Ta có:
+ SABE = 1/3SABC = 1/3.9a = 3a (vì chung đường cao kẻ từ A xuống BC và BC = 3BE )
+ SADE = 1/3SABE = 1/3.3a = a (vì chung đường cao kẻ từ E xuống AB và AB = 3AD )
Do đó SBDE = SABE - SADE = 3a - a = 2a.
Tương tự: SADF = SCEF = 2a
Vậy SDEF = 9a - 6a = 3a hay SABC = 3SDEF.
Bài 5: Cho tam giác nhọn ABC, các đường cao AA', BB', CC' cắt nhau tại H. Chứng minh rằng:
Lời giải:
Gọi diện tích ABC, ABH,BCH,CAH lần lượt là S,S1,S2,S3.
Ta có S = S1 + S2 + S3.
+ Các tam giác ABC và ABH có chung đáy AB nên tỉ số đường cao bằng tỉ số diện tích:
+ Tương tự:
Khi đó ta có
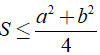
Bài 6: Chứng minh rằng
với S là diện tích của tam giác có độ dài hai cạnh là a,b ?
Lời giải:
Xét tam giác ABC có BC = a, AC = b
Kẻ AH ⊥ BC thì AH và AC lần lượt là đường xiên.
Đường vuông góc kẻ từ A ở ngoài đường thẳng BC đến đường thẳng đó nên đường AH là đường ngắn nhất hay AH ≤ AC.
Khi đó ta có:
Mặt khác ta có:
+ 4ab = ( a + b )2 - ( a - b )2 ≤ ( a + b )2 ( 1 )
+ 2( a2 + b2 ) = ( a + b )2 + ( a - b )2 ≥ ( a + b )2 ( 2 )
Từ ( 1 ) và ( 2 ), ta có: 4ab ≤ 2( a2 + b2 ) ⇒
hay(đpcm)
Bài 7: Tính diện tích hình thang, biết hai đường chéo của nó vuông góc với nhau và có độ dài tương ướng là 3,6dm và 6dm.
Lời giải:
Xét hình thang ABCD ( AB//CD ) có AC ⊥ BD và AC = 6dm, BD = 3,6dm.
Kẻ đường cao BH của hình thang.
Ta có
Kẻ BE//AC thì BD ⊥ BE thì hình thang ABEC có hai cặp cạnh đối song song → ABEC là hình bình hành.
Do đó, ta có: CD + AB = CD + CE = DE
Khi đó ta có
⇒ S là diện tích của tam giác DBE vuông tại B.
Khi đó S = 1/2BD.BE = 1/2.3,6. 6 = 10,8( dm2 )
Vậy diện tích của hình thang là 10,8( dm2 )
Bài 8: Hai cạnh của một hình bình hành có độ dài là 6cm và 8cm. Một trong các đường cao có độ dài là 5cm. Tính độ dài đường cao thứ hai. Hỏi bài toán có mấy đáp án ?
Lời giải:
Xét hình bình bình ABCD có AB = CD = 8( cm ) và AD = BC = 6( cm )
Từ A kẻ các đường cao AH,AK.
Khi đó ta có:
+ Shbh = AH.CD = 8.AH
+ Shbh = AK.BC = 6.AK
Mà một hình bình hành thì chỉ có một diện tích chung nên 8.AH = 6.AK
Nếu độ dài đường cao thứ nhất là AH = 5( cm ) thì:
8.5 = 6.AK ⇔ AK = (8.5)/6 = 20/3( cm ) là độ dài đường cao thứ hai.
Nếu độ dài đường cao thứ nhất là AK = 5( cm ) thì:
8.AH = 6.5 ⇔ AH = (6.5)/8 = 15/4( cm ) là độ dài đường cao thứ hai.
Vậy bài toán này có hai đáp số
Bài 9: Tính diện tích hình thoi có cạnh là 17cm và tổng hai đường chéo là 46cm.
Lời giải:
Gọi H là giao điểm của hai đường chéo AC,BD.
Theo giải thiết ta có: AC + BD = 46( cm )
⇔ ( HB + HD ) + ( HC + HA ) = 46
⇔ 2HB + 2HA = 46 ⇔ HA + HB = 23
Khi đó ta có: HA + HB = 23 ⇔ ( HA + HB )2 = 232
⇔ HA2 + 2HA.HB + HB2 = 232 ( 1 )
Mặt khác, theo định lí Py – to – go ta có: AH2 + HB2 = AB2 = 172 ( 2 )
Từ ( 1 ) và ( 2 ) ta có: 172 + 2HA.HB = 232 ⇒ HA.HB = (232 - 172)/2 = 120.
Hay AC/2.BD/2 = 120 ⇔ 1/2.AC.BD = 240 ⇒ SABCD = 240( cm2 )
Vậy diện tích hình thoi là 240cm2.
Bài 10: Cho hình thoi ABCD có AB = 6cm, Aˆ = 600. Tính diện tích của hình thoi?
Lời giải:
Diện tích của hình thoi ABCD là
S = 1/2AC.BD
Gọi O là giao điểm của AC và BD
⇒ S = 2OA.OB
Từ giả thiết ta có hình thoi ABCD có Aˆ = 600 nên Δ ABD đều
Do đó Δ ABO là nửa tam giác đều có BO = 1/2BD = 6/2 = 3( cm ).
Áo dụng định lí Py – to – go ta có:
AB2 = AO2 + BO2 ⇒ AO = √ (AB2 - BO2) = √ (62 - 32) = 3√ 3 ( cm )
Khi đó ta có: S = 2OA.OB = 2.3√ 3 .3 = 18√ 3 ( cm2 )
Vậy diện tích hình thoi là 18√ 3 ( cm2 )
(199k) Xem Khóa học Toán 8 KNTTXem Khóa học Toán 8 CTSTXem Khóa học Toán 8 CD
Xem thêm các phần lý thuyết, các dạng bài tập Toán lớp 8 có đáp án chi tiết hay khác:
- Lý thuyết Mở đầu về phương trình
- Bài tập Mở đầu về phương trình
- Lý thuyết Phương trình bậc nhất một ẩn và cách giải
- Bài tập Phương trình bậc nhất một ẩn và cách giải
- Lý thuyết Phương trình đưa được về dạng ax + b = 0
- Bài tập Phương trình đưa được về dạng ax + b = 0
Xem thêm các loạt bài Để học tốt Toán lớp 8 hay khác:
Tủ sách VIETJACK shopee lớp 6-8 (2025):
Đã có app VietJack trên điện thoại, giải bài tập SGK, SBT Soạn văn, Văn mẫu, Thi online, Bài giảng....miễn phí. Tải ngay ứng dụng trên Android và iOS.
Theo dõi chúng tôi miễn phí trên mạng xã hội facebook và youtube:Loạt bài Lý thuyết & 700 Bài tập Toán lớp 8 có lời giải chi tiết có đầy đủ Lý thuyết và các dạng bài có lời giải chi tiết được biên soạn bám sát nội dung chương trình sgk Đại số 8 và Hình học 8.
Nếu thấy hay, hãy động viên và chia sẻ nhé! Các bình luận không phù hợp với nội quy bình luận trang web sẽ bị cấm bình luận vĩnh viễn.
- Giải Tiếng Anh 8 Global Success
- Giải sgk Tiếng Anh 8 Smart World
- Giải sgk Tiếng Anh 8 Friends plus
- Lớp 8 - Kết nối tri thức
- Soạn văn 8 (hay nhất) - KNTT
- Soạn văn 8 (ngắn nhất) KNTT
- Giải sgk Toán 8 - KNTT
- Giải sgk Khoa học tự nhiên 8 - KNTT
- Giải sgk Lịch Sử 8 - KNTT
- Giải sgk Địa Lí 8 - KNTT
- Giải sgk Giáo dục công dân 8 - KNTT
- Giải sgk Tin học 8 - KNTT
- Giải sgk Công nghệ 8 - KNTT
- Giải sgk Hoạt động trải nghiệm 8 - KNTT
- Giải sgk Âm nhạc 8 - KNTT
- Lớp 8 - Chân trời sáng tạo
- Soạn văn 8 (hay nhất) - CTST
- Soạn văn 8 (ngắn nhất) - CTST
- Giải sgk Toán 8 - CTST
- Giải sgk Khoa học tự nhiên 8 - CTST
- Giải sgk Lịch Sử 8 - CTST
- Giải sgk Địa Lí 8 - CTST
- Giải sgk Giáo dục công dân 8 - CTST
- Giải sgk Tin học 8 - CTST
- Giải sgk Công nghệ 8 - CTST
- Giải sgk Hoạt động trải nghiệm 8 - CTST
- Giải sgk Âm nhạc 8 - CTST
- Lớp 8 - Cánh diều
- Soạn văn 8 Cánh diều (hay nhất)
- Soạn văn 8 Cánh diều (ngắn nhất)
- Giải sgk Toán 8 - Cánh diều
- Giải sgk Khoa học tự nhiên 8 - Cánh diều
- Giải sgk Lịch Sử 8 - Cánh diều
- Giải sgk Địa Lí 8 - Cánh diều
- Giải sgk Giáo dục công dân 8 - Cánh diều
- Giải sgk Tin học 8 - Cánh diều
- Giải sgk Công nghệ 8 - Cánh diều
- Giải sgk Hoạt động trải nghiệm 8 - Cánh diều
- Giải sgk Âm nhạc 8 - Cánh diều


Giải bài tập SGK & SBT
Tài liệu giáo viên
Sách
Khóa học
Thi online
Hỏi đáp

