Lý thuyết, Bài tập Toán 8 Chương 4 (sách mới)
Bài viết Tổng hợp Lý thuyết, Bài tập Toán 8 Chương 4 sách mới Cánh diều, Kết nối tri thức, Chân trời sáng tạo lớp 8 hay, chi tiết giúp bạn nắm vững kiến thức trọng tâm Toán 8 Chương 4.
Lý thuyết, Bài tập Toán 8 Chương 4 (sách mới)
(199k) Xem Khóa học Toán 8 KNTTXem Khóa học Toán 8 CTSTXem Khóa học Toán 8 CD
(Kết nối tri thức) Lý thuyết Toán 8 Chương 4: Định lí Thalès
(Chân trời sáng tạo) Lý thuyết Toán 8 Chương 4: Một số yếu tố thống kê
Lời giải bài tập Toán 8 Chương 4 sách mới:
(Chân trời sáng tạo) Giải Toán 8 Chương 4: Một số yếu tố thống kê
Lưu trữ: Lý thuyết, Bài tập Toán 8 Chương 4 (sách cũ)
A. Lý thuyết
1. Bất đẳng thức
Hệ thức dạng a < b (hay dạng a > b; a ≥ b; a ≤ b ) được gọi là bất đẳng thức a gọi là vế trái, b gọi là vế phải của bất đẳng thức.
2. Liên hệ giữa thứ tự và phép cộng
Tính chất: Cho ba số a,b và c, ta có
Nếu a < b thì a + c < b + c.
Nếu a ≤ b thì a + c ≤ b + c.
Nếu a > b thì a + c > b + c.
Nếu a ≥ b thì a + c ≥ b + c.
3. Liên hệ giữa thứ tự và phép nhân với số dương
a) Tính chất
Khi nhân cả hai vế của một bất đẳng thức với cùng một số dương ta được một bất đẳng thức mới cùng chiều với bất đẳng thức đã cho
b) Tổng quát
Với ba số a, b và c mà c > 0, ta có:
Nếu a < b thì ac < bc
Nếu a ≤ b thì ac ≤ bc
Nếu a > b thì ac > bc
Nếu a ≥ b thì ac ≥ bc.
4. Liên hệ giữa thứ tự và phép nhân với số âm
a) Tính chất
Khi nhân cả hai vế của một bất đẳng thức với cùng một số âm ta được một bất đẳng thức mới ngược chiều với bất đẳng thức đã cho
b) Tổng quát
Với ba số a, b và c mà c < 0, ta có:
Nếu a < b thì ac > bc
Nếu a ≤ b thì ac ≥ bc
Nếu a > b thì ac < bc
Nếu a ≥ b thì ac ≤ bc.
5. Bất phương trình một ẩn
Bất phương trình ẩn x là hệ thức A( x ) > B( x ) hoặc A( x ) < B( x ) hoặc A( x ) ≥ B( x ) hoặc A( x ) ≤ B( x ).
Trong đó: A( x ) gọi là vế trái; B( x ) gọi là vế phải.
Nghiệm của bất phương trình là giá trị của ẩn để khi thay vào bất phương trình ta được một khẳng định đúng.
6. Định nghĩa bất phương trình bậc nhất một ẩn
Bất phương trình dạng ax + b < 0 (hoặc ax + b > 0, ax + b < 0, ax + b ≤ 0, ax + b ≥ 0 ) trong đó a và b là hai số đã cho, a ≠ 0, được gọi là bất phương trình bậc nhất một ẩn.
7. Hai quy tắc biến đổi
a) Quy tắc chuyển vế
Khi chuyển một hạng tử của bất phương trình từ vế này sang vế kia ta đổi dấu hạng tử đó.
b) Quy tắc nhân với một số.
Khi nhân hai vế của bất phương trình với cùng một số khác 0, ta phải:
Giữ nguyên chiều bất phương trình nếu số đó dương.
Đổi chiều bất phương trình nếu số đó âm.
8. Giá trị tuyệt đối
Giá trị tuyệt đối của số a, được kí hiệu là | a |, ta định nghĩa như sau:
9. Các dạng toán liên quan đến giá trị tuyệt đối
a) Phương pháp chung
Bước 1: Áp dụng định nghĩa giá trị tuyệt đối để loại bỏ dấu giá trị tuyệt đối
Bước 2: Giải các phương trình sau khi phá dấu giá trị tuyệt đối
Bước 3: Chọn nghiệm thích hợp trong từng trường hợp đang xét
Bước 4: Kết luận nghiệm
b) Một số dạng cơ bản
Dạng
hoặc
Dạng | A | = | B | ⇔ A = B hay A = - B.
Dạng phương trình có chứa nhiều dấu giá trị tuyệt đối
+ Xét dấu các biểu thức chứa ẩn nằm trong dấu GTTĐ.
+ Chia trục số thành nhiều khoảng sao cho trong mỗi khoảng, các biểu thức nói trên có dấu xác định.
+ Xét từng khoảng, khử các dấu GTTĐ, rồi giải PT tương ứng trong trường hợp đó.
+ Kết hợp các trường hợp đã xét, suy ra số nghiệm của PT đã cho.
B. Trắc nghiệm & Tự luận
I. Bài tập trắc nghiệm
Bài 1: Trong các khẳng định sau đây, khẳng định nào đúng?
4 + ( - 3 ) ≤ 5 ( 1 )
6 + ( - 2 ) ≤ 7 + ( - 2 ) ( 2 )
24 + ( - 5 ) > 25 + ( - 5 ) ( 3 )
A. ( 1 ),( 2 ),( 3 ) B. ( 1 ),( 3 )
C. ( 1 ),( 2 ) D. ( 2 ),( 3 )
Lời giải:
+ Ta có: -3 < 1 nên 4 + (-3) < 4 + 1 hay 4 + (-3) < 5
→ Khẳng định ( 1 ) đúng.
+ Ta có: 6 ≤ 7 ⇒ 6 + (-2) ≤ 7 + (-2)
→ Khẳng định ( 2 ) đúng.
+ Ta có: 24 < 25 ⇒ 24 + ( - 5 ) < 25 + ( - 5 )
→ Khẳng định ( 3 ) sai.
Chọn đáp án C.
Bài 2: Cho a - 3 > b - 3. So sánh hai số a và b
A. a ≥ b B. a < b
C. a > b D. a ≤ b
Lời giải:
Ta có a - 3 > b - 3 ⇒ ( a - 3 ) + 3 > ( b - 3 ) + 3 ⇔ a > b
Chọn đáp án C.
Bài 3: Cho a > b. So sánh 5 - a với 5 - b
A. 5 - a ≥ 5 - b.
B. 5 - a > 5 - b.
C. 5 - a ≤ 5 - b.
D. 5 - a < 5 - b.
Lời giải:
Ta có: a > b ⇒ - a < - b ⇔ 5 + ( - a ) < 5 + ( - b ) hay 5 - a < 5 - b.
Chọn đáp án D.
Bài 4: Một Ampe kế có giới hạn đo là 25 ampe. Gọi x( A ) là số đo cường độ dòng điện có thể đo bằng Ampe kế. Khẳng định nào sau đây đúng?
A. x ≤ 25 B. x < 25
C. x > 25 D. x ≥ 25
Lời giải:
Một Ampe kế đo cường độ dòng điện thì cường độ dòng điện tối đa mà Ampe đo được là giới hạn đo của ampe kế đó.
Khi đó: x ≤ 25
Chọn đáp án A.
Bài 5: Cho a > b, c > d. Khẳng định nào sau đây đúng?
A. a + d > b + c
B. a + c > b + d
C. b + d > a + c
D. a + b > c + d
Lời giải:
Theo giả thiết ta có: a > b, c > d ⇒ a + c > b + d.
Chọn đáp án B.
Bài 6: Trong các khẳng định sau đây, khẳng định nào sai?
( 1 ) ( - 4 ).5 < ( - 5 ).4
( 2 ) ( - 7 ).12 ≥ ( - 7 ).11
( 3 ) - 4x2 > 0
A. ( 1 ),( 2 ) và ( 3 ) B. ( 1 ),( 2 )
C. ( 1 ) D. ( 2 ),( 3 )
Lời giải:
+ Ta có: ( - 4 ).5 = 4.( - 5 ) → Khẳng định ( 1 ) sai.
+ Ta có: 12 > 11 ⇒ 12.( - 7 ) < 11.( - 7 ) → Khẳng định ( 2 ) sai.
+ Ta có: x2 ≥ 0 ⇒ - 4x2 ≤ 0 → Khẳng định ( 3 ) sai
Chọn đáp án A.
Bài 7: Cho a + 1 ≤ b + 2. So sánh hai số 2a + 2 và 2b + 4. Khẳng định nào dưới đây đúng ?
A. 2a + 2 > 2b + 4
B. 2a + 2 < 2b + 4
C. 2a + 2 ≤ 2b + 4
D. 2a + 2 ≥ 2b + 4
Lời giải:
Với ba số a, b và c mà c > 0, ta có: Nếu a ≤ b thì ac ≤ bc
Khi đó, ta có: a + 1 ≤ b + 2 ⇒ 2( a + 1 ) ≤ 2( b + 2 ) ⇔ 2a + 2 ≤ 2b + 4.
Chọn đáp án C.
Bài 8: Cho a > b. Khẳng định nào sau đây đúng?
A. - 3a - 1 > - 3b - 1
B. - 3( a - 1 ) < - 3( b - 1 )
C. - 3( a - 1 ) > - 3( b - 1 )
D. 3( a - 1 ) < 3( b - 1 )
Lời giải:
+ Ta có: a > b ⇒ - 3a < - 3b ⇔ - 3a - 1 < - 3b - 1
→ Đáp án A sai.
+ Ta có: a > b ⇒ a - 1 > b - 1 ⇔ - 3( a - 1 ) < - 3( b - 1 )
→ Đáp án B đúng.
+ Ta có: a > b ⇒ a - 1 > b - 1 ⇔ - 3( a - 1 ) < - 3( b - 1 )
→ Đáp án C sai.
+ Ta có: a > b ⇒ a - 1 > b - 1 ⇔ 3( a - 1 ) > 3( b - 1 )
→ Đáp án D sai.
Chọn đáp án B.
Bài 9: Cho a ≥ b. Khẳng định nào sau đây đúng?
A. 2a - 5 ≤ 2( b - 1 )
B. 2a - 5 ≥ 2( b - 1 )
C. 2a - 5 ≥ 2( b - 3 )
D. 2a - 5 ≤ 2( b - 3 )
Lời giải:
+ Ta có: a ≥ b ⇒ 2a ≥ 2b
Mặt khác, ta có: - 5 ≥ - 6
Khi đó 2a - 5 ≥ 2b - 6 hay 2a - 5 ≥ 2( b - 3 ).
Chọn đáp án C.
Bài 10: Cho x > 0. Khẳng định nào sau đây đúng?
A. ( x + 1 )2 ≤ 0
B. ( x + 1 )2 > 1
C. ( x + 1 )2 ≤ 1
D. ( x + 1 )2 < 1
Lời giải:
Ta có: x > 0 ⇒ x + 1 > 1 ⇒ ( x + 1 )2 > 12.
Hay ( x + 1 )2 > 1.
Chọn đáp án B.
Bài 11: Nghiệm x = 3 là nghiệm của bất phương trình nào sau đây?
A. 5 - x < 1
B. 3x + 1 < 4
C. 4x - 11 > x
D. 2x - 1 > 3
Lời giải:
Ta có:
+ 5 - x < 1 ⇔ 4 < x
+ 3x + 1 < 4 ⇔ 3x < 3 ⇔ x > 1
+ 4x - 11 > x ⇔ 3x > 11 ⇔ x > 11/3
+ 2x - 1 > 3 ⇔ 2x > 4 ⇔ x > 2
Vậy x = 3 là nghiệm của bất phương trình 2x - 1 > 3
Chọn đáp án D.
Bài 12: Tập nghiệm nào sau đây là tập nghiệm của bất phương trình: x ≤ 2 ?
A. S = { x| x ≥ 2 }.
B. S = { x| x ≤ 2 }.
C. S = { x| x ≥ - 2 }.
D. S = { x| x < 2 }.
Lời giải:
Tập nghiệm của bất phương trình: x ≤ 2 là S = { x| x ≤ 2 }.
Chọn đáp án B.
Bài 13: Hình vẽ sau là tập nghiệm của bất phương trình nào?
A. 2x - 4 < 0
B. 2x - 4 > 0
C. 2x - 4 ≤ 0
D. 2x - 4 ≥ 0
Lời giải:
Ta có:
+ 2x - 4 < 0 ⇔ x < 2
+ 2x - 4 > 0 ⇔ x > 2
+ 2x - 4 ≤ 0 ⇔ x ≤ 2
+ 2x - 4 ≥ 0 ⇔ x ≥ 2
Chọn đáp án B.
Bài 14: Cho bất phương trình 3x - 6 > 0. Trong các bất phương trình sau, bất phương trình nào tương đương với bất phương trình đã cho?
A. 2x - 4 < 0
B. 2x - 4 ≥ 0
C. x > 2
D. 1 - 2x < 1
Lời giải:
Ta có: 3x - 6 > 0 ⇔ 3x > 6 ⇔ x > 2
Vậy bất phương trình x > 2 tương đương với bất phương trình đã cho.
Chọn đáp án C.
Bài 15: Bất phương trình ax + b > 0 vô nghiệm khi
Lời giải:
Nếu a > 0 thì ax + b > 0 ⇔ x > - b/a nên S ≠ Ø
Nếu a < 0 thì ax + b > 0 ⇔ x < - b/a nên S ≠ Ø
Nếu a = 0 thì ax + b > 0 có dạng 0x + b > 0
Với b > 0 thì S = R.
Với b ≤ 0 thì S = Ø
Chọn đáp án D.
Bài 16: Bất phương trình ax + b ≤ 0 vô nghiệm khi?
Lời giải:
Nếu a > 0 thì ax + b ≤ 0 ⇔ x ≤ - b/a nên S ≠ Ø
Nếu a < 0 thì ax + b ≤ 0 ⇔ x ≥ - b/a nên S ≠ Ø
Nếu a = 0 thì ax + b ≤ 0 có dạng 0x + b ≤ 0
Với b ≤ 0 thì S = R.
Với b > 0 thì S = Ø
Chọn đáp án A.
Bài 17: Tổng các nghiệm nguyên của bất phương trình x( 2 - x ) ≥ x( 7 - x ) - 6( x - 1 ) trên đoạn [ - 10;10 ] bằng?
A. 5 B. 6
C. 21 D. 40
Lời giải:
Chọn đáp án D.
Bài 18: Tổng các nghiệm nguyên của bất phương trình:
là?
A. 15 B. 11
C. 26 D. 0
Lời giải:
Điều kiện: x > 4
Bất phương trình tương đương: x - 2 ≤ 4 ⇔ x ≤ 6 ⇒ 4 < x ≤ 6 ⇒ x ∈ 5;6 → S = 11
Chọn đáp án B.
Bài 19: Tập nghiệm của bất phương trình: ( x - 1 )2 + ( x - 3 )2 + 15 < x2 + ( x - 4 )2 là?
A. S = x > 0 B. x < 0
C. S = R D. S = Ø
Lời giải:
Bất phương trình tương đương:
⇔ x2 - 2x + 1 + x2 - 6x + 9 + 15 < x2 + x2 – 8x + 16
⇔ 2x2 - 8x + 10 + 15 < 2x2 - 8x + 16
⇔ 0.x < - 9 : Vô nghiệm.
Chọn đáp án D.
Bài 20: Tập nghiệm S của bất phương trình: 5x - 1 ≥ (2x)/5 + 3 là?
A. S = R B. S = ( - ∞ ;2 )
C. S = x ≤ 7/15 D. x ≥ 20/23
Lời giải:
Ta có: 5x - 1 ≥ (2x)/5 + 3 ⇔ 25x - 5 ≥ 2x + 15 ⇔ 23x ≥ 20 ⇔ x ≥ 20/23.
Vậy tập nghiệm của bất phương trình là x ≥ 20/23
Chọn đáp án D.
Bài 21: Bất phương trình
có bao nhiêu nghiệm nguyên lớn hơn -10 ?
A. 4 B. 5
C. 9 D. 10
Lời giải:
Chọn đáp án B.
Bài 22: Tập nghiệm S của bất phương trình: ( 1 - √ 2 )x < 2√ - 2 là?
A. x < √ 2 B. x > √ 2
C. S = R D. S = Ø
Lời giải:
Chọn đáp án B.
Bài 23: Bất phương trình ( 2x - 1 )( x + 3 ) - 3x + 1 ≤ ( x - 1 )( x + 3 ) + x2 - 5 có tập nghiệm là?
A. x < - 2/3 B. x ≥ 1/2
C. S = R D. S = Ø
Lời giải:
Ta có: ( 2x - 1 )( x + 3 ) - 3x + 1 ≤ ( x - 1 )( x + 3 ) + x2 - 5
⇔ 2x2 + 5x - 3 - 3x + 1 ≤ x2 + 2x - 3 + x2 - 5 ⇔ 0x ≤ - 6
⇔ x ∈ Ø → S = Ø
Chọn đáp án D.
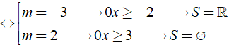
Bài 24: Bất phương trình ( m2 - 3m )x + m < 2 - 2x vô nghiệm khi?
A. m ≠ 1 B. m ≠ 2
C. m = 1,m = 2 D. m ∈ R
Lời giải:
Bất phương trình tương đương: ( m2 - 3m + 2 )x < 2 - m
Rõ ràng nếu m2 - 3m + 2 ≠ 0 ⇔ bất phương trình luôn có nghiệm.
Với m = 1, bất phương trình trở thành: 0x < 1: Vô nghiệm
Với m = 2, bất phương trình trở thành 0x < 0: Vô nghiệm
Chọn đáp án C.
Bài 25: Bất phương trình m2( x - 1 ) ≥ 9x + 3m có nghiệm đúng với mọi x khi?
A. m = 1 B. m = - 3
C. m = Ø D. m = - 1
Lời giải:
Bất phương trình tương đương: ( m2 - 9 )x ≥ m2 + 3m
Dễ thấy nếu m2 ≠ 9 ⇔ m ≠ ± 3 thì phương trình không thể có nghiệm đúng với mọi x ∈ R
Với m = 3, ta có bất phương trình trở thành: 0x ≥ 18: Vô nghiệm.
Với m = - 3, ta có phương trình trở thành: 0x ≥ 0: Nghiệm đúng với mọi x ∈ R
Chọn đáp án B.
Bài 26: Tìm tất cả các giá trị của tham số m để bất phương trình m( x - 1 ) < 3 - x có nghiệm?
A. m ≠ 1 B. m = 1
C. m ∈ R D. m ≠ 3
Lời giải:
Ta có: m(x - 1) < 3 – x
Bất phương trình tương đương là ( m + 1 )x < m + 3
Rõ ràng với m ≠ - 1 thì bất phương trình luôn có nghiệm
Với m = - 1 ta có bất phương trình có dạng: 0x < 2 luôn đúng với mọi x
Vậy bất phương trình có nghiệm với mọi m.
Chọn đáp án C.
Bài 27: Tìm tất cả các giá trị của tham số m để bất phương trình ( m2 + m - 6 )x ≥ m + 1 có nghiệm?
A. m ≠ 2 B. m ≠ 2, m ≠ 3
C. m ∈ R D. m ≠ 3
Lời giải:
Rõ ràng: m2 + m - 6 ≠ 0 thì bất phương trình luôn có nghiệm
Xét m2 + m - 6 = 0
Từ hai trường hợp, ta được bất phương trình có nghiệm khi m ≠ 2
Chọn đáp án A.
Bài 28: Biểu thức A = | 4x | + 2x - 1 với x < 0, rút gọn được kết quả là?
A. A = 6x - 1
B. A = 1 - 2x
C. A = - 1 - 2x
D. A = 1 - 6x
Lời giải:
Ta có: x < 0 ⇒ | 4x | = - 4x
Khi đó ta có: A = | 4x | + 2x - 1 = - 4x + 2x - 1 = - 2x - 1
Chọn đáp án C.
Bài 29: Tập nghiệm của phương trình: | 3x + 1 | = 5
A. S = - 2 B. S = 4/3
C. S = - 2;4/3 D. S = Ø
Lời giải:
Ta có: | 3x + 1 | = 5 ⇔
Vậy tập nghiệm của phương trình đã cho là S = { - 2;4/3 }
Chọn đáp án C.
Bài 30: Tập nghiệm của phương trình | 2 - 3x | = | 5 - 2x | là?
A. S = { - 3;1 } B. S = { - 3;7/5 }
C. S = { 0;7/5 } D. S = { - 3;1 }
Lời giải:
Ta có: | 2 - 3x | = | 5 - 2x |
Vậy tập nghiệm của phương trình là S = { - 3;7/5 }
Chọn đáp án B.
Bài 31: Giá trị m để phương trình | 3 + x | = m có nghiệm x = - 1 là?
A. m = 2 B. m = - 2
C. m = 1 D. m = - 1
Lời giải:
Phương trình đã cho có nghiệm x = - 1 nên ta có: | 3 + ( - 1 ) | = m ⇔ m = 2.
Vậy m = 2 là giá trị cần tìm.
Chọn đáp án A.
Bài 32: Giá trị của m để phương trình | x - m | = 2 có nghiệm là x = 1 ?
A. m ∈ { 1 } B. m ∈ { - 1;3 }
C. m ∈ { - 1;0 } D. m ∈ { 1;2 }
Lời giải:
Phương trình có nghiệm x = 1, khi đó ta có:
Vậy giá trị m cần tìm là m ∈ { - 1;3 }
Chọn đáp án B.
II. Bài tập tự luận
1. Mức độ thông hiểu – nhận biết
Bài 1: Khẳng định sau đây đúng hay sai? Vì sao?
a) - 6 > 5 - 10
b) - 4 + 2 ≥ 5 - 7
c) 11 + ( - 6 ) ≤ 10 + ( - 6 )
Lời giải:
a) Ta có: VP = 5 - 10 = - 5
Mà - 5 > - 6 ⇒ VP > VT.
Vậy khẳng định trên là sai.
b) Ta có:
Khẳng định trên đúng.
c) Ta có: ⇒ VT = 11 + ( - 6 ) > VP = 10 + ( - 6 )
Khẳng định trên là sai.
Bài 2: So sánh a và b biết:
a) a - 15 > b - 15
b) a + 2 ≤ b + 2
Lời giải:
a) Ta có: a - 15 > b - 15 ⇔ a - 15 + 15 > b - 15 + 15 ⇔ a > b
Vậy a > b
b) Ta có: a + 2 ≤ b + 2 ⇒ a + 2 + ( - 2 ) ≤ b + 2 + ( - 2 ) ⇔ a ≤ b
Vậy a ≤ b
Bài 3: Khẳng định sau đúng hay sai?
a) ( - 3 ).4 > ( - 3 ).3
b) ( - 4 )( - 5 ) ≤ ( - 6 )( - 5 )
Lời giải:
a) Ta có: 4 > 3 ⇒ ( - 3 ).4 < ( - 3 ).3
Khẳng định trên là sai.
b) Ta có: - 4 ≥ - 6 ⇒ ( - 4 )( - 5 ) ≤ ( - 6 )( - 5 )
Khẳng định trên là đúng
Bài 4: Cho 3a ≤ 2b ( b ≥ 0 ). Hãy so sánh 2 số 5a và 4b
Lời giải:
Ta có: 3a ≤ 2b ⇒ 5/3.3a ≤ 5/3.2b ⇒ 5a ≤ 10/3b
Mà 10/3 < 4 ⇒ 10/3b ≤ 4b ⇒ 5a ≤ 4b
Bài 5: Tìm tập nghiệm của các bất phương trình sau:
a) ( x + √ 3 )2 ≥ ( x - √ 3 )2 + 2
b) x + √ x < ( 2√ x + 3 )( √ x - 1 )
c) ( x - 3 )√(x - 2) ≥ 0
Lời giải:
a) Ta có: ( x + √ 3 )2 ≥ ( x - √ 3 )2 + 2
⇔ x2 + 2√ 3 x + 3 ≥ x2 - 2√ 3 x + 3 + 2
⇔ 4√3x ≥ 2 ⇔ x ≥ (√3)/6
Vậy bất phương trình đã cho có tập nghiệm là x ≥ (√3)/6
b) Ta có: x + √ x < ( 2√ x + 3 )( √ x - 1 )
Điều kiện: x ≥ 0
⇔ x + √ x < 2x - 2√ x + 3√ x - 3
⇔ - x < - 3 ⇔ x > 3
Kết hợp điều kiện, tập nghiệm bất phương trình là: x > 3
c) Ta có: ( x - 3 )√ (x - 2) ≥ 2
Điều kiện: x ≥ 2
Bất phương trình tương đương là
Vậy tập nghiệm của bất phương trình là S = 2 ∪ [ 3; + ∞ )
Bài 6: Có bao nhiêu giá trị thực của tham số m để bất phương trình ( m2 - m )x < m vô nghiệm là?
Lời giải:
Rõ ràng nếu
thì bất phương trình luôn có nghiệm.
Với m = 0, bất phương trình trở thành 0x < 0: vô nghiệm.
Với m = 1, bất phương trình trở thành 0x < 1: luôn đúng với mọi x ∈ R
Vậy với m = 0 thì bất phương trình trên vô nghiệm.
Bài 7: Bỏ dấu giá trị tuyệt đối và rút gọn các biểu thức sau:
a) A = 3x + 2 + | 5x | với x > 0
b) A = | 4x | - 2x + 12 với x < 0.
c) A = | x - 4 | - x + 1 với x < 4
Lời giải:
a) Với x > 0 ⇒ | 5x | = 5x
Khi đó ta có: A = 3x + 2 + | 5x | = 3x + 2 + 5x = 8x + 2
Vậy A = 8x + 2.
b) Ta có: x < 0 ⇒ | 4x | = - 4x
Khi đó ta có: A = | 4x | - 2x + 12 = - 4x - 2x + 12 = 12 - 6x
Vậy A = 12 - 6x.
c) Ta có: x < 4 ⇒ | x - 4 | = 4 - x
Khi đó ta có: A = | x - 4 | - x + 1 = 4 - x - x + 1 = 5 - 2x.
Vậy A = 5 - 2x
Bài 8: Giải các phương trình sau:
a) | 2x | = x - 6
b) | - 5x | - 16 = 3x
c) | 4x | = 2x + 12
d) | x + 3 | = 3x + 1
Lời giải:
a) Ta có: | 2x | = x - 6
+ Với x ≥ 0, phương trình tương đương: 2x = x - 6 ⇔ x = - 6.
Không thỏa mãn điều kiện x ≥ 0.
+ Với x < 0, phương trình tương đương: - 2x = x - 6 ⇔ - 3x = - 6 ⇔ x = 2.
Không thỏa mãn điều kiện x < 0.
Vậy phương trình đã cho vô nghiệm.
b) Ta có: | - 5x | - 16 = 3x
+ Với x ≥ 0, phương trình tương đương: 5x - 16 = 3x ⇔ 2x = 16 ⇔ x = 8
Thỏa mãn điều kiện x ≥ 0
+ Với x < 0, phương trình tương đương: - 5x - 16 = 3x ⇔ 8x = - 16 ⇔ x = - 2
Thỏa mãn điều kiện x < 0
Vậy phương trình đã cho có tập nghiệm là S = { - 2;8 }
c) Ta có: | 4x | = 2x + 12
+ Với x ≥ 0, phương trình tương đương: 4x = 2x + 12 ⇔ 2x = 12 ⇔ x = 6
Thỏa mãn điều kiện x ≥ 0
+ Với x < 0, phương trình tương đương: - 4x = 2x + 12 ⇔ - 6x = 12 ⇔ x = - 2
Thỏa mãn điều kiện x < 0
Vậy phương trình đã cho có tập nghiệm là S = { - 2;6 }
d) Ta có: | x + 3 | = 3x + 1
+ Với x ≥ - 3, phương trình tương đương: x + 3 = 3x + 1 ⇔ - 2x = - 2 ⇔ x = 1.
Thỏa mãn điều kiện x ≥ - 3
+ Với x < - 3, phương trình tương đương: - x - 3 = 3x + 1 ⇔ - 4x = 4 ⇔ x = - 1
Không thỏa mãn điều kiện x < - 3
Vậy phương trình đã cho có tập nghiệm là S = { 1 }
2. Vận dụng – Vận dung cao
Bài 1: Giải bất phương trình với a là hằng số
Lời giải:
Điều kiện xác định: a ≠ 0.
Ta có:
⇔ x( a + 2 ) > 1/a ( 1 )
+ Nếu a > - 2,a ≠ 0 thì nghiệm của bất phương trình là
+ Nếu a < - 2 thì nghiệm của bất phương trình là
+ Nếu x = - 2 thì ( 1 ) có dạng 0x > - 1/2 luôn đúng với ∀ x ∈ R
Bài 2: Tìm tất cả các giá trị của tham số m để bất phương trình mx + 4 > 0 nghiệm đúng với mọi | x | < 8 ?
Lời giải:
Yêu cầu của bài toán tương đương f( x ) = mx + 4 > 0, ∀ x ∈ ( - 8;8 )
⇔ Đồ thị hàm số y = f( x ) trên khoảng ( - 8;8 ) nằm phía trên trục hoành
⇔ Hai đầu mút của đoạn thẳng đó đều nằm trên phía trục hoành
Vậy giá trị m cần tìm là m ∈ [ - 1/2;1/2 ]
Bài 3: Tìm giá trị nhỏ nhất của biểu thức N = x( x + 1 )( x + 2 )( x + 3 )
Lời giải:
Ta có: N = ( x2 + 3x )( x2 + 3x + 2 )
Đặt y = x2 + 3x2, ta đưa biểu thức về dạng:
N = y( y + 2 ) = y2 + 2y + 1 - 1 = ( y + 1 )2 - 1 ≥ - 1
Dấu bằng xảy ra khi và chỉ khi y + 1 = 0 ⇔ y = - 1 tức x2 + 3x = - 1
Ta có: x2 + 3x = - 1 ⇔ x2 + 3x + 1 = 0
Vậy giá trị nhỏ nhất là
Bài 4: Giải phương trình | x - 5 | + | x + 3 | = 3x - 1
Lời giải:
+ Với x < - 3, phương trình đã cho có dạng:
( 5 - x ) - ( x + 3 ) = 3x - 1 ⇔ x = 3/5 (loại vì không thỏa mãn điều kiện)
+ Với - 3 ≤ x < 5, phương trình đã cho có dạng:
( 5 - x ) + ( x + 3 ) = 3x - 1 ⇔ 3x = 9 ⇔ x = 3 (thỏa mãn khoảng đang xét)
+ Với x ≥ 5, phương trình đã cho có dạng:
( x - 5 ) + ( x + 3 ) = 3x - 1 ⇔ x = - 1 (không thỏa mãn không xét)
Vậy phương trình đã cho có nghiệm là x = 3
(199k) Xem Khóa học Toán 8 KNTTXem Khóa học Toán 8 CTSTXem Khóa học Toán 8 CD
Xem thêm các phần lý thuyết, các dạng bài tập Toán lớp 8 có đáp án chi tiết hay khác:
- Lý thuyết Định lí Ta-lét trong tam giác
- Bài tập Định lí Ta-lét trong tam giác
- Lý thuyết Định lí đảo và hệ quả của định lí Ta-lét
- Bài tập Định lí đảo và hệ quả của định lí Ta-lét
- Lý thuyết Tính chất đường phân giác của tam giác
- Bài tập Tính chất đường phân giác của tam giác
Xem thêm các loạt bài Để học tốt Toán lớp 8 hay khác:
Tủ sách VIETJACK shopee lớp 6-8 (2025):
Đã có app VietJack trên điện thoại, giải bài tập SGK, SBT Soạn văn, Văn mẫu, Thi online, Bài giảng....miễn phí. Tải ngay ứng dụng trên Android và iOS.
Theo dõi chúng tôi miễn phí trên mạng xã hội facebook và youtube:Loạt bài Lý thuyết & 700 Bài tập Toán lớp 8 có lời giải chi tiết có đầy đủ Lý thuyết và các dạng bài có lời giải chi tiết được biên soạn bám sát nội dung chương trình sgk Đại số 8 và Hình học 8.
Nếu thấy hay, hãy động viên và chia sẻ nhé! Các bình luận không phù hợp với nội quy bình luận trang web sẽ bị cấm bình luận vĩnh viễn.
- Giải Tiếng Anh 8 Global Success
- Giải sgk Tiếng Anh 8 Smart World
- Giải sgk Tiếng Anh 8 Friends plus
- Lớp 8 - Kết nối tri thức
- Soạn văn 8 (hay nhất) - KNTT
- Soạn văn 8 (ngắn nhất) KNTT
- Giải sgk Toán 8 - KNTT
- Giải sgk Khoa học tự nhiên 8 - KNTT
- Giải sgk Lịch Sử 8 - KNTT
- Giải sgk Địa Lí 8 - KNTT
- Giải sgk Giáo dục công dân 8 - KNTT
- Giải sgk Tin học 8 - KNTT
- Giải sgk Công nghệ 8 - KNTT
- Giải sgk Hoạt động trải nghiệm 8 - KNTT
- Giải sgk Âm nhạc 8 - KNTT
- Lớp 8 - Chân trời sáng tạo
- Soạn văn 8 (hay nhất) - CTST
- Soạn văn 8 (ngắn nhất) - CTST
- Giải sgk Toán 8 - CTST
- Giải sgk Khoa học tự nhiên 8 - CTST
- Giải sgk Lịch Sử 8 - CTST
- Giải sgk Địa Lí 8 - CTST
- Giải sgk Giáo dục công dân 8 - CTST
- Giải sgk Tin học 8 - CTST
- Giải sgk Công nghệ 8 - CTST
- Giải sgk Hoạt động trải nghiệm 8 - CTST
- Giải sgk Âm nhạc 8 - CTST
- Lớp 8 - Cánh diều
- Soạn văn 8 Cánh diều (hay nhất)
- Soạn văn 8 Cánh diều (ngắn nhất)
- Giải sgk Toán 8 - Cánh diều
- Giải sgk Khoa học tự nhiên 8 - Cánh diều
- Giải sgk Lịch Sử 8 - Cánh diều
- Giải sgk Địa Lí 8 - Cánh diều
- Giải sgk Giáo dục công dân 8 - Cánh diều
- Giải sgk Tin học 8 - Cánh diều
- Giải sgk Công nghệ 8 - Cánh diều
- Giải sgk Hoạt động trải nghiệm 8 - Cánh diều
- Giải sgk Âm nhạc 8 - Cánh diều


Giải bài tập SGK & SBT
Tài liệu giáo viên
Sách
Khóa học
Thi online
Hỏi đáp

