20+ Bài tập trắc nghiệm Đường trung bình của tam giác, của hình thang lớp 8 (có đáp án)
Với bài tập trắc nghiệm Đường trung bình của tam giác, của hình thang lớp 8 có lời giải chi tiết sẽ giúp học sinh ôn tập, biết cách làm bài tập trắc nghiệm Đường trung bình của tam giác, của hình thang
20+ Bài tập trắc nghiệm Đường trung bình của tam giác, của hình thang lớp 8 (có đáp án)
(199k) Học Toán 8 KNTTHọc Toán 8 CTSTHọc Toán 8 CD
Bài 1: Chọn câu đúng.
A. Đường trung bình của hình thang là đường nối trung điểm hai cạnh đáy hình thang.
B. Đường trung bình của tam giác là đoạn nối trung điểm hai cạnh của tam giác.
C. Trong một tam giác chỉ có một đường trung bình.
D. Đường trung bình của tam giác là đường nối từ một đỉnh đến trung điểm cạnh đối diện.
Lời giải
+ Đường trung bình của tam giác là đoạn nối trung điểm hai cạnh của tam giác nên B đúng.
+ Đường trung bình của hình thang là đoạn thẳng nối trung điểm hai cạnh bên của hình thang nên A, D sai.
+ Trong một tam giác có ba đường trung bình nên C sai.
Đáp án cần chọn là: B
Bài 2: Chọn câu đúng. Cho hình vẽ sau. Đường trung bình của tam giác ABC là:
A. DE
B. DF
C. EF
D. Cả A, B, C đều đúng
Lời giải
Xét tam giác ABC có D, E, F lần lượt là trung điểm các cạnh AB, AC, BC nên DE, DF, EF là ba đường trung bình của tam giác ABC.
Đáp án cần chọn là: D
Bài 3: Hãy chọn câu sai.
A. Độ dài đường trung bình của hình thang bằng nửa tổng hai đáy.
B. Độ dài đường trung bình của hình thang bằng nửa hiệu hai đáy.
C. Đường trung bình của hình thang thì song song với hai đáy.
D. Đường trung bình của tam giác song song với cạnh thứu ba bằng nửa cạnh ấy.
Lời giải
+ Độ dài đường trung bình hình thang bằng nửa tổng hai đáy nên đáp án B sai.
Đáp án cần chọn là: B
Bài 4: Hãy chọn câu đúng. Cho hình thang ABCD có AB // CD. Lấy M, N lần lượt là trung điểm của AD, BC. Khi đó:
Lời giải
Từ giả thiết ta thấy MN là đường trung bình của hình thang ABCD.
Suy ra
Đáp án cần chọn là: C
Bài 5: Hãy chọn câu đúng?
Cho tam giác ABC có chu vi 32cm. Gọi E, F, P là trung điểm của các cạnh AB, BC, CA. Chu vi của tam giác EFP là:
A. 17 cm
B. 33 cm
C. 15 cm
D. 16 cm
Lời giải
Vì E, F, P là trung điểm của các cạnh AB, BC, CA nên EF; EP; FP là các đường trung bình của tam giác ABC.
Hay chu vi tam giác EFP = 1/2 chu vi tam giác ABC.
Do đó chu vi tam giác EFP là: 32 : 2 = 16 cm.
Đáp án cần chọn là: D
Bài 6: Hãy chọn câu đúng?
Cho tam giác ABC có chu vi 80. Gọi E, F, P là trung điểm của các cạnh AB, BC, CA. Chu vi của tam giác EFP là:
A. 40 cm
B. 20 cm
C. 45 cm
D. 50 cm
Lời giải
Vì E, F, P là trung điểm của các cạnh AB, BC, CA nên EF, EP, FP là các đường trung bình của tam giác ABC
Do đó chu vi tam giác EFP là 80 : 2 = 40.
Đáp án cần chọn là: A
Bài 7: Một hình thang có đáy lớn là 5 cm, đáy nhỏ ngắn hơn đáy lớn là 0,8 cm. Độ dài đường trung bình của hình thang là:
A. 4,7 cm
B. 4,8 cm
C. 4,6 cm
D. 5 cm
Lời giải
+ Vì đáy nhỏ ngắn hơn đáy lớn 0,8 cm nên độ dài đáy nhỏ là 5 – 0,8 = 4,2 cm
+ Vì đường trung bình của hình thang bằng nửa tổng hai đáy nên độ dài đường trung bình là = 4,6 cm
Đáp án cần chọn là: C
Bài 8: Một hình thang có đáy lớn là 8 cm, đáy nhỏ ngắn hơn đáy lớn là 2 cm. Độ dài đường trung bình của hình thang là:
A. 5,5 cm
B. 5 cm
C. 6 cm
D. 7 cm
Lời giải
+ Vì đáy nhỏ ngắn hơn đáy lớn 2 cm nên độ dài đáy nhỏ là 8 – 2 = 6 cm
+ Vì đường trung bình của hình thang bằng nửa tổng hai đáy nên độ dài đường trung bình là = 7 cm
Đáp án cần chọn là: D
Bài 9: Hãy chọn câu đúng?
Cho ΔABC, I, K lần lượt là trung điểm của AB và AC. Biết BC = 8 cm, AC = 7cm. Ta có:
A. IK = 4cm
B. IK = 4,5 cm
C. IK = 3,5cm
D. IK = 14cm
Lời giải
+ Vì I, K lần lượt là trung điểm của AB và AC nên IK là đường trung bình của tam giác ABC.
⇒
Vậy IK = 4cm
Đáp án cần chọn là: A
Bài 10: Hãy chọn câu đúng?
Cho ΔABC, I, K lần lượt là trung điểm của AB và AC. Biết AC = 10cm. Ta có:
A. IK = 4cm
B. IK = 5 cm
C. IK = 3,5cm
D. IK = 10cm
Lời giải
+ Vì I, K lần lượt là trung điểm của AB và AC nên IK là đường trung bình của tam giác ABC.
Vậy IK = 5cm
Đáp án cần chọn là: B
Bài 11: Cho ΔABC đều, cạnh 2cm; M, N là trung điểm của AB và AC. Chu vi của tứ giác MNCB bằng
A. 5cm
B. 6cm
C. 4 cm
D. 7 cm
Lời giải
+ M, N là trung điểm của AB và AC nên MN là đường trung bình của tam giác ABC
+ Chu vi tứ giác MNCB là P = MN + BC + MB + NC = 1 + 1 + 1 + 2 = 5cm
Đáp án cần chọn là: A
Bài 12: Cho ΔABC đều, cạnh 3cm; M, N là trung điểm của AB và AC. Chu vi của tứ giác MNCB bằng
A. 8cm
B. 7,5 cm
C. 6 cm
D. 7 cm
Lời giải
+ M, N là trung điểm của AB và AC nên MN là đường trung bình của tam giác ABC
+ Chu vi tứ giác MNCB là:
P = MN + BC + MB + NC = 1,5 + 1,5 + 1,5 + 3 = 7,5 cm
Đáp án cần chọn là: B
Bài 13: Tìm x, y trên hình vẽ, trong đó AB // EF // GH // CD. Hãy chọn câu đúng.
A. x = 8cm, y = 16 cm
B. x = 18 cm, y = 9 cm
C. x = 18 cm, y = 8 cm
D. x = 16 cm, y = 8 cm
Lời giải
+ Vì AB // EF // GH // CD nên các tứ giác EFCD, ABHG là hình thang
+ Từ hình vẽ ta có GH là đường trung bình của hình thang EFCD
Hay x = 16cm.
+ Lại có EF là đường trung bình của hình thang ABHG
⇒ AB + 16 = 24 hay y = 8 cm
Vạy x = 16cm, y = 8cm
Đáp án cần chọn là: D
Bài 14: Tính x, y trên hình vẽ, trong đó AB // EF // GH // CD. Hãy chọn câu đúng.
A. x = 15; y = 17
B. x = 11; y = 17
C. x = 12; y = 16
D. x = 17; y = 11
Lời giải
+ Vì AB // EF // GH // CD nên các tứ giác EFCD, ABHG là hình thang
+ Từ hình vẽ ta có GH là đường trung bình của hình thang EFCD
Vậy y = 17.
+ Lại có EF là đường trung bình của hình thang ABHG
Vạy x = 11cm, y = 17cm
Đáp án cần chọn là: B
Bài 15: Cho tam giác ABC, đường trung tuyến AM. Gọi D là trung điểm của AM, E là giao điểm của BD và AC, F là trung điểm của EC. Chọn câu đúng trong các câu sau:
A. AE = 1/2EC
B. AE = 2EC
C. FC = AF
D. MF = BE
Lời giải
Xét tam giác BEC có BM = MC, EF = FC nên MF là đường trung bình của tam giác BEC. Do đó MF // BE.
Xét tam giác ÀM có AD = DM, DE // MF nên DE là đường trung bình cuả tam giác AMF. Do đó AE = EF.
Do đó AE = EF = FC nên AE = 1/2EC
Đáp án cần chọn là: A
Bài 16: Cho tam giác ABC, đường trung tuyến AM. Gọi D là trung điểm của AM, E là giao điểm của BD và AC, F là trung điểm của EC. Tính AE biết AC = 9cm
A. AE = 4,5cm
B. AE = 3cm
C. AE = 2cm
D. AE = 6cm
Lời giải
Xét tam giác BEM có BM = MC, EF = FC nên MF là đường trung bình của tam giác BEC. Do đó MF // BE
Xét tam giác, AMF có AD = CM, DE // MF nên DE là đường trung bình của tam giác AMF. Do đó AE = EF
Do đó AE = EF = FC nên AE = = 3 cm
Đáp án cần chọn là: B
Bài 17: Cho tam giác ABC, các đường trung tuyến BD và CE cắt nhau ở G. Gọi I, K theo thứ tự là trung điểm của GB, GC. Trong các câu sau câu nào đúng?
A. DE // IK
B. DE = IK
C. Cả A và B đều đúng
D. Cả A và B đều sai
Lời giải
Vì tam giác ABC có AE = EB, AD = DC nên ED là đường trung bình, do đó ED // BC, ED =
Tương tự tam giác GBC có GI = IB, GK = KC nên IK là đường trung bình, do đó IK // BC, IK =
Suy ra ED // IK (cùng song song với BC); ED = IK (cùng bằng )
Đáp án cần chọn là: C
Bài 18: Cho tam giác ABC, các đường trung tuyến BD và CE cắt nhau ở G. Gọi I, K theo thứ tự là trung điểm của GB, GC. Tính EI, DK biết AG = 4cm.
A. AE = DK = 3cm
B. AE = 3cm; DK = 2 cm
C. AE = DK = 2cm
D. AE = 1cm, DK = 2cm
Lời giải
Vì tam giác ABG có AE – EB, IB = IG nên EI là đường trung bình, do đó EI = AG.
Tương tự tam giác AGC có AD = DC, GK = KC nên DK là đường tủng bình, do đó DK = AG.
Suy ra EI = DK = AG =
.4 = 2 cm
Đáp án cần chọn là: C
Bài 19: Tính độ dài đường trung bình của hình thang cân, biết rằng hai đường chéo vuông góc với nhau và đường cao của nó bằng 10cm.
A. 8cm
B. 5 cm
C. 6 cm
D. 10 cm
Lời giải
+ Xét hình thang cân ABCD (AB // CD), hai đường chéo AC và BD vuông góc với nhau tại O, MN là đường trung bình của hình thang ABCD. Qua O kẻ đường thẳng vuông góc với AB tại E, với CD tại F.
Lại có: (do AB vuông góc với CD) nên ΔOAB vuông cân tại O, do đó OE là đường cao cũng là đường trung tuyến nên OE =
Tương tư: tam giác DOC vuông cân tại O nên FO =
Do đó FE =
MN là đường trung bình của hình thang ABCD nên MN =
⇒ MN = FE = 10cm
Đáp án cần chọn là: D
Bài 20: Cho tam giác ABC, điểm D thuộc cạnh AC sao cho AD = DC. Gọi M là trung điểm của BC, I là giao điểm của BD và AM. So sánh AI và IM.
A. AI = IM
B. AI > IM
C. Cả A, B đều đúng
D. Chưa kết luận được
Lời giải
Gọi E là trung điểm của DC
Xét tam giác BDC có BM = MC, DE = EC nên ME là đường trung bình của tam giác BDC. Suy ra BD // ME hay DI // EM
Xét tam giác AME có AD = DE, DI // EM nên AI = IM
Đáp án cần chọn là: A
Bài 21: Cho tam giác ABC, điểm D thuộc cạnh AC sao cho AD = DC. Gọi M là trung điểm của BC, I là giao điểm của BD và AM. Tính AM biết IM = 3cm
A. AM = 7cm
B. AM = 6cm
C. AM = 1,5cm
D. Đáp án khác
Lời giải
Gọi E là trung điểm của DC.
Xét tam giác BDC có: BM = MC, DE = EC nên ME là đường trung bình của tam giác BDC. Suy ra BD // ME hay DI // EM
Xét tam giác AME có AD = DE, DI // EM
Nên AI = AM
Suy ra AM = 2IM = 2.3 = 6cm
Đáp án cần chọn là: B
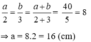
Bài 22: Độ dài đường trung bình của hình thang là 16cm, hai đáy tỉ lệ với 3 và 5 thì độ dài hai đáy là:
A. 12cm và 20cm
B. 6cm và 10cm
C. 3cm và 5cm
D. Đáp số khác
Lời giải
Gọi a và b lần lượt là độ dài hai đáy nhỏ, đáy lớn của hình thang.
Theo định lí đường trung bình của hình thang suy ra a + b = 2.16 = 32 (cm)
Mặt khác theo bài ra a và b tỉ lệ với 3 và 5 nên ta có:
Theo định lý của dãy tỉ số bằng nhau ta có:
Vậy độ dài 2 đáy của hình thang là 12cm, 20cm.
Đáp án cần chọn là: A
Bài 23: Độ dài đường trung bình của hình thang là 20cm, hai đáy tỉ lệ với 2 và 3 thì độ dài hai đáy là:
A. 16cm và 24cm
B. 24cm và 16cm
C. 8cm và 12cm
D. Đáp số khác
Lời giải
Gọi a và b lần lượt là độ dài hai đáy nhỏ, đáy lớn của hình thang.
Theo định lí đường trung bình của hình thang suy ra a + b = 2.20 = 40 (cm)
Mặt khác theo bài ra a và b tỉ lệ với 2 và 3 nên ta có:
Theo định lý của dãy tỉ số bằng nhau ta có:
Và b = 8.3 = 24 (cm)
Vậy độ dài 2 đáy của hình thang là 16cm, 24cm.
Đáp án cần chọn là: A
Bài 24: Tam giác ABC có AC = 2AB, đường phân giác AD. Tính BD biết DC = 8cm.
A. BD = 4cm
B. BD = 5cm
C. BD = 3cm
D. BD = 8cm
Lời giải
Gọi M, E lần lượt là trung điểm của AC, CD.
Khi đó ME là đường trung bình của tam giác ACD ⇒ ME // D.
Gọi N là giao điểm của AD và BM.
Vì M là trung điểm của AC ⇒ AM = mà AB =
(gt)
⇒ AB = AM
Suy ra tam giác ABM cân tại A có AN là phân giác (gt) nên AN cũng là đường trung tuyến của ΔAMB.
Hay NB = NM
Xét tam giác BME có NB = NM; ND // ME nên D là trung điểm của BE
⇒ BD = DE
Lại có:
Vậy BD = 4cm.
Đáp án cần chọn là: A
Bài 25: Tứ giác ABCD có E, F theo thứ tự là trung điểm của BD, AC. Gọi I là trung điểm của EF. Gọi M, N, P lần lượt là chân đường vuông góc kẻ từ A, B, I đến CD. Chọn câu đúng.
A. AM + BN = 2IP
B. AM + BN = 3IP
C. AM + BN = 4IP
D. AM + BN = 5IP
Lời giải
Gọi K, L lần lượt là chân đường vuông góc kẻ từ E, F đến DC.
Suy ra AM // EK // IP // FL // BN
Xét tam giác ACM có F là trung điểm AC và FL // AM
⇒ L là trung điểm CM
Suy ra FL là đường trung bình của tam giác ACM ⇒ AM = 2FL (1)
Xét tam giác BDN có E là trung điểm BD và EK // NB
⇒ K là trung điểm DN
Suy ra EK là đường trung bình của tam giác BDN ⇒ BN = 2EK (2)
Xét tứ giác EKLF có EK // FL nên EKLF là hình thang.
Lại có EK // IP // FL, IE = IF ⇒ PL = PK
Suy ra IP là đường trung bình của hình thang EFLK
⇒ EK + FL = 2IP
⇒ 2EK + 2FL = 4IP (3)
Từ (1), (2), (3) suy ra AM + BN = 4IP
Đáp án cần chọn là: C
Bài 26: Cho hình thang ABCD (AB // CD), hai đường phân giác của góc A và góc D cắt nhau tại I, hai đường phân giác của góc B và góc C cắt nhau tại J. Gọi H là trung điểm của AD, K là trung điểm của BC. Cho biết AB = AD = 10cm, BC = 12cm, CD = 20cm. Tính độ dài các đoạn HI, IJ và JK.
A. IH = 6cm, JK = 4cm, IJ = 5cm
B. IH = 5cm, JK = 6cm, IJ = 4cm
C. IH = 5cm; JK = 5c; IJ = 4cm
D. IH = 5cm; JK = 6cm; IJ = 6cm
Lời giải
Xét hình thang ABCD có: H là trung điểm của AD, K là trung điểm của BC nên KH là đường tủng bình của hình thang ABCD.
Suy ra
Vì AI và DI là hai tia phân giác của góc A và góc D nên ta có:
Xét ΔAID có:
Suy ra ΔAID vuông tại I.
Lại có IH là đường trung tuyến ứng với cạnh huyền AD của tam giác vuông AID nên HI = HD.
Do đó tam giác HID cân tại H nên .
Từ (1) và (2) suy ra H, I, K thẳng hang hay điểm I thuộc đường thẳng HK.
Tương tự điểm J thuộc đường thẳng HK. Do đó bốn điểm H, I, J, K thẳng hang.
⇒ IJ = HK – IH – JK = 15 – 5 – 6 = 4cm
Vậy IH = 5cm; JK = 6cm; IJ = 4cm
Đáp án cần chọn là: B
(199k) Học Toán 8 KNTTHọc Toán 8 CTSTHọc Toán 8 CD
Xem thêm các bài tập trắc nghiệm Toán lớp 8 có đáp án chi tiết hay khác:
Xem thêm các loạt bài Để học tốt Toán lớp 8 hay khác:
Tủ sách VIETJACK shopee lớp 6-8 (2025):
Đã có app VietJack trên điện thoại, giải bài tập SGK, SBT Soạn văn, Văn mẫu, Thi online, Bài giảng....miễn phí. Tải ngay ứng dụng trên Android và iOS.
Theo dõi chúng tôi miễn phí trên mạng xã hội facebook và youtube:Loạt bài Lý thuyết & 700 Bài tập Toán lớp 8 có lời giải chi tiết có đầy đủ Lý thuyết và các dạng bài có lời giải chi tiết được biên soạn bám sát nội dung chương trình sgk Đại số 8 và Hình học 8.
Nếu thấy hay, hãy động viên và chia sẻ nhé! Các bình luận không phù hợp với nội quy bình luận trang web sẽ bị cấm bình luận vĩnh viễn.
- Giải Tiếng Anh 8 Global Success
- Giải sgk Tiếng Anh 8 Smart World
- Giải sgk Tiếng Anh 8 Friends plus
- Lớp 8 - Kết nối tri thức
- Soạn văn 8 (hay nhất) - KNTT
- Soạn văn 8 (ngắn nhất) KNTT
- Giải sgk Toán 8 - KNTT
- Giải sgk Khoa học tự nhiên 8 - KNTT
- Giải sgk Lịch Sử 8 - KNTT
- Giải sgk Địa Lí 8 - KNTT
- Giải sgk Giáo dục công dân 8 - KNTT
- Giải sgk Tin học 8 - KNTT
- Giải sgk Công nghệ 8 - KNTT
- Giải sgk Hoạt động trải nghiệm 8 - KNTT
- Giải sgk Âm nhạc 8 - KNTT
- Lớp 8 - Chân trời sáng tạo
- Soạn văn 8 (hay nhất) - CTST
- Soạn văn 8 (ngắn nhất) - CTST
- Giải sgk Toán 8 - CTST
- Giải sgk Khoa học tự nhiên 8 - CTST
- Giải sgk Lịch Sử 8 - CTST
- Giải sgk Địa Lí 8 - CTST
- Giải sgk Giáo dục công dân 8 - CTST
- Giải sgk Tin học 8 - CTST
- Giải sgk Công nghệ 8 - CTST
- Giải sgk Hoạt động trải nghiệm 8 - CTST
- Giải sgk Âm nhạc 8 - CTST
- Lớp 8 - Cánh diều
- Soạn văn 8 Cánh diều (hay nhất)
- Soạn văn 8 Cánh diều (ngắn nhất)
- Giải sgk Toán 8 - Cánh diều
- Giải sgk Khoa học tự nhiên 8 - Cánh diều
- Giải sgk Lịch Sử 8 - Cánh diều
- Giải sgk Địa Lí 8 - Cánh diều
- Giải sgk Giáo dục công dân 8 - Cánh diều
- Giải sgk Tin học 8 - Cánh diều
- Giải sgk Công nghệ 8 - Cánh diều
- Giải sgk Hoạt động trải nghiệm 8 - Cánh diều
- Giải sgk Âm nhạc 8 - Cánh diều


Giải bài tập SGK & SBT
Tài liệu giáo viên
Sách
Khóa học
Thi online
Hỏi đáp

