Top 23 Bài tập Hình lăng trụ đứng; Hình chóp đều (có lời giải)
Với bài tập Hình lăng trụ đứng; Hình chóp đều lớp 8 có lời giải chi tiết sẽ giúp học sinh ôn tập, biết cách làm bài tập Hình lăng trụ đứng; Hình chóp đều.
Top 23 Bài tập Hình lăng trụ đứng; Hình chóp đều (có lời giải)
(199k) Học Toán 8 KNTTHọc Toán 8 CTSTHọc Toán 8 CD
Bài 1: Hình lăng trụ đứng tam giác có
A. 5 mặt, 6 đỉnh và 9 cạnh
B. 4 mặt, 6 đỉnh và 6 cạnh
C. 5 mặt, 9 đỉnh và 6 cạnh
D. 3 mặt, 6 đỉnh và 6 cạnh
Lời giải
Quan sát hình vẽ ta thấy hình lặng trụ đứng tam giác có 5 mặt, 6 đỉnh và 9 cạnh.
Đáp án cần chọn là: A
Bài 2: Quan sát các hình vẽ dưới đây và chho biết hình nào là hình chóp lục giác?
A. Hình 1
B. Hình 2
C. Hình 3
D. Hình 4
Lời giải
Hình 1 là hình lăng trụ có hai đáy là hai lục giác đều, hình 3 là hình chóp tam giác, hình 4 là hình chóp tứ giác.
Hình 2 là hình chóp lục giác vì có đáy là hình lục giác và các cạnh bên giao nhau tại một điểm.
Đáp án cần chọn là: B
Bài 3: Cho hình lăng trụ đứng ABCD.A’B’C’D’, với mặt đáy ABCD là hình chữ nhật. Khi đó:
A. AA’ = CD’
B. BC’ = CD’
C. AC’ = BB’
D. AA’ = CC’
Lời giải
Vì ABCD.A’B’C’D’ là hình lăng trụ đứng có đáy là hình chữ nhật nên suy ra ABCD.A’B’C’D’ là hình hộp chữ nhật ⇒ AA’ = CC’ (cùng bằng BB’)
Đáp án cần chọn là: D
Bài 4: Cho hình hộp chữ nhật ABCD.A’B’C’D’. Điểm M thuộc đoạn thẳng BD. Khi đó:
A. Điểm M thuộc mặt phẳng (ABB’A’)
B. Điểm M thuộc mặt phhanwgr (DCC’D’)
C. Điểm M thuộc mặt phẳng (A’B’C’D’)
D. Điểm M thuộc mặt phẳng (ABCD)
Lời giải
Vì M ⊂ BD mà BD ⊂ (ABCD) nen M thuộc mặt phẳn (ABCD).
Đáp án cần chọn là: D
Bài 5: Hình chóp có 8 cạnh thì đáy là hình gì?
A. Tứ giác
B. Tứ giác
C. Ngũ giác
D. Lục giác
Lời giải
Vì hình chóp có số cạnh gấp đôi số cạnh của đa giác ở đáy nên hình chóp có 8 cạnh thì đa giác đáy có 8 : 2 = 4 cạnh. Hay đáy là tứ giác.
Đáp án cần chọn là: B
Bài 6: Thể tích của hình lập phương trong hình là:
A. 216cm3
B. 96cm3
C. 75cm3
D. 36cm3
Lời giải
Thể tích hình lập phương V = 63 = 216cm3
Đáp án cần chọn là: A
Bài 7: Cho hình chóp tứ giác đều S.ABCD có cạnh đáy AB = 8cm, đường cao SO = 10cm. Hỏi thể tích của hình chóp đều là bao nhiêu?
Lời giải
Tứ giác ABCD là hình vuông cạnh 8cm. Nên thể tích hình chóp tứ ggiacs đều S.ABCD là
Đáp án cần chọn là: B
Bài 8: Tính diện tích xung quanh của một hiinfh lăng trụ đứng có đáy là hình ngũ giác đều cạnh 8cm, biết rằng chiều cao của hình lăng trụ đứng là 5cm.
A. 80cm2
B. 60cm2
C. 120cm2
D. 200cm2
Lời giải
Chu vi đáy của hình lăng trụ đứng là 8.5 (cm)
Diện tích xung quanh là: Sxq = 8.5.5 = 2000 (cm2)
Đáp án cần chọn là: D
Bài 9: Tính diện tích toàn phần hình chóp tứ giác đều dưới đây:
A. 600cm2
B. 700cm2
C. 800cm2
D. 900cm2
Lời giải
Mỗi mặt bên của hình chóp là tam giác có chiều cao 10cm và cạnh đáy 20cm.
Diện tích một mặt bên của hình chóp là .10.20 = 100(cm2)
Diện tích xung quanh hình chóp là Sxq = 4.100 = 400(cm2)
Stp = Sxq + Sday = 400 + 20.20 = 800cm2
Đáp án cần chọn là: C
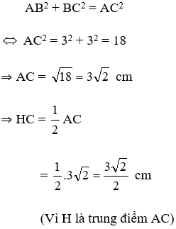
Bài 10: Cho lăng trụ tam giác dưới đây. Tính thể tích lăng trụ đó?
A. 540cm2
B. 840cm2
C. 450cm2
D. 480cm2
Lời giải
Kí hiệu như hình vẽ
Áp dụng định lý Pitago vào tam giác ABC vuông tại A.
AB2 + AC2 = BC2 ⇔ AC2 = BC2 - AB2 = 132 - 122 = 25 ⇒ AC = 5cm
Vậy thể tích của hình lăng trụ đã cho là:
Đáp án cần chọn là: A
Bài 11: Cho hình lăng trụ đứng ABCD.A’B’C’D’ có đáy là hình thang vuoong ABCD vuông tại A, B (AB // BC) và BC = 12cm, AD = 16cm, CD = 5cm, đường cao AA’ = 6cm. Thể tích của hình lăng trụ là:
A. 200cm3
B. 250cm3
C. 252cm3
D. 410cm3
Lời giải
Trong mp(ABCD) kẻ CH vuông góc với AD tại H.
Khi đó ta có ABCH là hình chữ nhật. (do A = B = H = 900).
⇒ BC = AH = 12cm ⇒ HD = AD - AH = 16 - 12 = 4cm
Xét tam giác HCD vuông tại H ta có:
HC2 + HD2 = CD2 ⇔ HC2 = CD2 - HD2 = 52 - 42 = 25 - 16 = 9 ⇒ HC = 3 cm
Vậy thể tích của hình lăng trụ là:
Đáp án cần chọn là: C
Bài 12: Cho hình lăng trụ đứng ABC.A’B’C’ có đáy là tam giác đều, M là trung điểm của BC, AA’ = AM = a. Thể tích của lăng trụ bằng:
Lời giải
Vì tam giác ABC là tam giác đều nên AM vừa là trung tuyến vừa là đường cao của tam giác ABC.
Gọi chiều dài của cạnh tam ggiasc ABC là x. (x > 0)
Đáp án cần chọn là: B
Bài 13: Hình hộp chữ nhật ABCD.A’B’C’D’ có đáy ABCD là hình vuông cạnh a và diện tích hình chữ nhật ADC’B’ bằng 2a2, diện tích xung quanh của hình hộp chữ nhật bằng bao nhiêu?
Lời giải
Ta có ADC’B’ là hình chữ nhật
⇒ SADC’B’ = AD.DC’ = 2a2 ⇒ a.DC’ = 2a2 ⇒ DC’ = 2a
Xét tam giác vuông CC’D ta có:
CC’2 + CD2 = C’D2 ⇔ CC’2 + a2 = (2a)2
⇔ CC’2 = 4a2 - a2 = 3a2 ⇒ CC’ =
Vậy diện tích xung quanh của hình hộp chữ nhật là:
Đáp án cần chọn là: A
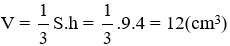
Bài 14: Tính thể tích của hình chóp tứ giác đều có chiều cao là 4cm và độ dài cạnh đáy là 3cm.
A. 12cm3
B. 36cm3
C. 24cm3
D. 9cm3
Lời giải
Hình chóp tứ giác đều thì có đáy là hình vuông.
Do vậy, hình chóp có diện tích đáy là 32 = 9cm
Thể tích của hình chóp đều là:
Đáp án cần chọn là: A
Bài 15: Tính diện tích xung quanh của hình hộp chữ nhật có bình phương độ dài đường chéo chính là 77; kích thước đáy là 4 và 6.
A. 80(cm2)
B. 200(cm2)
C. 90(cm2)
D. 100(cm2)
Lời giải
Gọi độ dài đường cao hình hộp chữ nhật là h (h > 0)
Ta có: h2 + 42 + 62 = 77 ⇒ h2 = 25 ⇒ h = 5cm
Vậy diện tích xung quanh của hình hộp chữ nhật là:
Sxq = 2(4 + 6).5 = 100(cm2)
Đáp án cần chọn là: D
Bài 16: Cho hình lăng trụ đứng đáy là hình thoi có hai đường chéo lần lượt là 8cm và 10cm. Tính chiều cao của lăng trụ đứng biết thể tích của lăng trụ đứng là 360cm3.
A. 18cm
B. 12cm
C. 9cm
D. 10cm
Lời giải
Diện tích đáy hình thoi là: .8.10 = 40(cm2)
Vì V = Sd.h ⇒ h = nên chiều cao của lăng trụ đứng là:
360 : 40 = 9(cm)
Đáp án cần chọn là: C
Bài 17: Cho hình chóp tứ giác đều có các cạnh đáy dai 16cm và trung đoạn dài 20cm. Tính thể tích hình chóp. (làm tròn đến hàng phần trăm)
A. 1564,19 cm3
B. 4692,56 cm3
C. 564,19 cm3
D. 2564,2 cm3
Lời giải
Xét hình chóp tứ giác đều S.ABCD có đáy là hình vuông cạnh 16cm.
SO là đường caol SH là trung đoạn (H Є AB)
Vì SAB là tam giác cân nên H là trung điểm của AB.
O là giao điểm của hai đường chéo trong hình vuông ABCD nên O là trung điểm AC
Do đó, HO là đường trung bình trong tam giác ABC, suy ra HO = BC = 8cm
Xét tam giác SHO vuông tại O, Áp dụng dduinhhj lý Pytago ta có:
Vậy thể tích hình chóp S.ABCD là
Đáp án cần chọn là: A
Bài 18: Cho hình lập phương ABCD.A’B’C’D’ có A’C = . Tính thể tích của hình lập phương.
A. 3a3
B. a3
C. 27a3
D. 9a3
Lời giải
Xét hình lập phương ABCD.A’B’C’D’ có:
Vậy thể tích hình lập phương là V = a3
Đáp án cần chọn là: B
Bài 19: Cho hình chóp tam giác đều S.ABC có tất cả các cạnh bằng 2dm. Tính độ dài đoạn thẳng MN nối trung điểm 2 cạnh đối AB và SC.
Lời giải
Theo đề bài ta có:
AM = MB = AB = 1dm
SN = NC = SC = 1dm
Ta có CM là đường trung tuyến của tam giác ABC.
Vì tam giác ABC là tam giác đều nên CM cũng là đường cao của tam giác ABC.
Áp dụng định lý Pitago vào tam giác CMB vuông tại M:
Tương tự ta xét tam giác vuông SMB, ta tính được: SM = dm
Xét tam giác SMC có: MS = MC = dm
⇒ Tam giác SMC là tam giác cân tại M.
⇒ MN vừa là đường trung tuyến vừa là đường cao của tam ggiacs SMC.
Áp dụng định lý Pytago cho tam giác MNC vuông tại N:
Đáp án cần chọn là: A
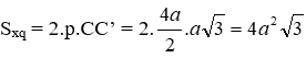
Bài 20: Cho hình chóp cụt đều có 2 đáy là các hình vuông cạnh a và 2a, trung đoạn bằng a. Tính diện tích xung quanh của hình chóp cụt đều?
A. 6a2
B. 8a2
C. 12a2
D. 18a2
Lời giải
Hình chóp cụt đều có 4 mặt bên là các hình thang cân bằng nhau.
Suy ra, diện tích xung quanh của hình chóp cụt đều là tổng diện tích 4 hình thang cân, khi đó diện tích một mặt bên là
Diện tích xung quanh hình chóp cụt đều là:
Đáp án cần chọn là: A
Bài 21: Cho hình chóp tứ giác đều S.ABCD, đáy ABCD là hình vuông có cạnh 3cm, cạnh bên SB = 5cm.
1. Tính bình phương đường cao SH của hình chóp.
Lời giải
Lấy H là giao của 2 đường chéo hình vuông AC và BD, khi đó ta có SH là đường cao của hình chóp đều.
+) Áp dụng định lý Pitago cho tam giác ABC vuông tại B:
Áp dụng định lý Pitago cho tam giác SHC vuông tại H có:
Đáp án cần chọn là: A
2. Tính diện tích xung quanh hình chóp
Lời giải
+ Kẻ SK vuông góc với BC (K BC)
+ Vì tam giác SBC là tam giác cân tại S nên SK vừa là đường cao vừa là đường trung tuyến.
Áp dụng định lý Pitago cho tam giác SKB vuông tại K:
Vậy diện tích xung quanh của hình chóp đều S.ABCD là:
Đáp án cần chọn là: A
Bài 22: Cho hình hộp chữ nhật ABCD.EFGH. Chọn câu đúng:
A. ACGE là hình chữ nhật
B. DF = CE
C. Cả A, B đều sai
D. Cả A, B đều đúng
Lời giải
+) Ta có: AE // CG, AE = CG (gt)
Suy ra tứ giác ACGE là hình bình hành.
Mặt khác: AE ⊥ mp(EFGH))
Mà EG ⊂ mp(EFGH) ⇒ AE ⊥ EG tại E.
Vậy tứ giác ACGE là hình chữ nhật nên A đúng.
+) Vì DH ⊥ mp(EFGH) nên DH ⊥ HF tại H.
Áp dụng định lý Pitago cho tam giác DHF vuông tại H, ta có:
DH2 + HF2 = DF2 (1)
Vì AE ⊥ mp(ABCD) nên AE ⊥ AC tại A.
Áp dụng định lý Pitago cho tam giác EAC vuông tại A, ta có:
EA2 + AC2 = EC2 (2)
Mà DH = AE, HF = EG = AC (Hai đường chéo của hình chữ nhật) (3)
Từ (1), (2), (3) suy ra: DF2 = EC2 ⇒ DF = CE nên B đúng.
Đáp án cần chọn là: D
Bài 23: Cho hình hộp chữ nhật ABCD.A’B’C’D’. Tính diện tích hình chữ nhật ADC’B’ biết AB = 28cm, B’D2 = 37099, DD’ = 45cm.
A. 1950cm2
B. 206cm2
C. 1509cm2
D. 1590cm2
Lời giải
Xét tam giác AA’B’ vuông tại A’ có: AA’ = DD’ = 45cm và A’B’ = AB = 28cm
Áp dụng định lý Pytago ta có:
AA’2 + A’B’2 = AB’2
Ta có: AD ⊥ AA’; AD ⊥ AB suy ra AD ⊥ mp(AA’B’B) ⇒ AD = AB’
Xét tam giác ADB’ vuông tại A có: AB’ = 53cm và DB’2 = 37099
Áp dụng định lý Pytago ta có:
AD2 + AB’2 = DB’2
Vậy diện tích ADC’B’ bằng AD.AB’ = 30.53 = 1590 (cm2)
Đáp án cần chọn là: D
(199k) Học Toán 8 KNTTHọc Toán 8 CTSTHọc Toán 8 CD
Xem thêm các bài tập trắc nghiệm Toán lớp 8 có đáp án chi tiết hay khác:
- Trắc nghiệm Hình hộp chữ nhật
- Trắc nghiệm Thể tích của hình hộp chữ nhật
- Trắc nghiệm Hình lăng trụ đứng
- Trắc nghiệm Hình chóp đều và hình chóp cụt đều
Xem thêm các loạt bài Để học tốt Toán lớp 8 hay khác:
Tủ sách VIETJACK shopee lớp 6-8 (2025):
Đã có app VietJack trên điện thoại, giải bài tập SGK, SBT Soạn văn, Văn mẫu, Thi online, Bài giảng....miễn phí. Tải ngay ứng dụng trên Android và iOS.
Theo dõi chúng tôi miễn phí trên mạng xã hội facebook và youtube:Loạt bài Lý thuyết & 700 Bài tập Toán lớp 8 có lời giải chi tiết có đầy đủ Lý thuyết và các dạng bài có lời giải chi tiết được biên soạn bám sát nội dung chương trình sgk Đại số 8 và Hình học 8.
Nếu thấy hay, hãy động viên và chia sẻ nhé! Các bình luận không phù hợp với nội quy bình luận trang web sẽ bị cấm bình luận vĩnh viễn.
- Giải Tiếng Anh 8 Global Success
- Giải sgk Tiếng Anh 8 Smart World
- Giải sgk Tiếng Anh 8 Friends plus
- Lớp 8 - Kết nối tri thức
- Soạn văn 8 (hay nhất) - KNTT
- Soạn văn 8 (ngắn nhất) KNTT
- Giải sgk Toán 8 - KNTT
- Giải sgk Khoa học tự nhiên 8 - KNTT
- Giải sgk Lịch Sử 8 - KNTT
- Giải sgk Địa Lí 8 - KNTT
- Giải sgk Giáo dục công dân 8 - KNTT
- Giải sgk Tin học 8 - KNTT
- Giải sgk Công nghệ 8 - KNTT
- Giải sgk Hoạt động trải nghiệm 8 - KNTT
- Giải sgk Âm nhạc 8 - KNTT
- Lớp 8 - Chân trời sáng tạo
- Soạn văn 8 (hay nhất) - CTST
- Soạn văn 8 (ngắn nhất) - CTST
- Giải sgk Toán 8 - CTST
- Giải sgk Khoa học tự nhiên 8 - CTST
- Giải sgk Lịch Sử 8 - CTST
- Giải sgk Địa Lí 8 - CTST
- Giải sgk Giáo dục công dân 8 - CTST
- Giải sgk Tin học 8 - CTST
- Giải sgk Công nghệ 8 - CTST
- Giải sgk Hoạt động trải nghiệm 8 - CTST
- Giải sgk Âm nhạc 8 - CTST
- Lớp 8 - Cánh diều
- Soạn văn 8 Cánh diều (hay nhất)
- Soạn văn 8 Cánh diều (ngắn nhất)
- Giải sgk Toán 8 - Cánh diều
- Giải sgk Khoa học tự nhiên 8 - Cánh diều
- Giải sgk Lịch Sử 8 - Cánh diều
- Giải sgk Địa Lí 8 - Cánh diều
- Giải sgk Giáo dục công dân 8 - Cánh diều
- Giải sgk Tin học 8 - Cánh diều
- Giải sgk Công nghệ 8 - Cánh diều
- Giải sgk Hoạt động trải nghiệm 8 - Cánh diều
- Giải sgk Âm nhạc 8 - Cánh diều


Giải bài tập SGK & SBT
Tài liệu giáo viên
Sách
Khóa học
Thi online
Hỏi đáp

