20+ Bài tập trắc nghiệm Phân tích đa thức thành nhân tử bằng phương pháp dùng hằng đẳng thức lớp 8 (có đáp án)
Với bài tập trắc nghiệm Phân tích đa thức thành nhân tử bằng phương pháp dùng hằng đẳng thức lớp 8 có lời giải chi tiết sẽ giúp học sinh ôn tập, biết cách làm bài tập trắc nghiệm Phân tích đa thức thành nhân tử bằng phương pháp dùng hằng đẳng thức
20+ Bài tập trắc nghiệm Phân tích đa thức thành nhân tử bằng phương pháp dùng hằng đẳng thức lớp 8 (có đáp án)
(199k) Học Toán 8 KNTTHọc Toán 8 CTSTHọc Toán 8 CD
Bài 1: Phân tích đa thức x3y3 + 6x2y2 + 12xy + 8 thành nhân tử ta được
A. (xy + 2)3
B. (xy + 8)3
C. x3y3 + 8
D. (x3y3 + 2)3
Lời giải
Ta có x3y3 + 6x2y2 + 12xy + 8
= (xy)3 + 3(xy)2.2 + 3xy.22 + 23 = (xy + 2)3
Đáp án cần chọn là: A
Bài 2: Phân tích đa thức 8x3 + 12x2y + 6xy2 + y3 thành nhân tử ta được
A. (x + 2y)3
B. (2x + y)3
C. (2x – y)3
D. (8x + y)3
Lời giải
Ta có 8x3 + 12x2y + 6xy2 + y3
= (2x)3 + 3.(2x)2y + 3.2x.y2 + y3 = (2x + y)3
Đáp án cần chọn là: B
Bài 3: Chọn câu đúng.
A. (5x – 4)2 – 49x2 = -8(3x + 1)(x + 2)
B. (5x – 4)2 – 49x2 = (3x – 1)(x + 2)
C. (5x – 4)2 – 49x2 = -8(3x - 1)(x - 2)
D. (5x – 4)2 – 49x2 = -8(3x - 1)(x + 2)
Lời giải
Ta có (5x – 4)2 – 49x2 = (5x – 4)2 – (7x)2
= (5x – 4 + 7x)(5x – 4 – 7x)
= (12x – 4)(-2x – 4) = 4.(3x – 1).(-2)(x + 2)
= -8(3x – 1)(x + 2)
Đáp án cần chọn là: D
Bài 4: Chọn câu đúng.
A. (3x – 2y)2 – (2x – 3y)2 = 5(x – y)(x + y)
B. (3x – 2y)2 – (2x – 3y)2 = (5x – y)(x – 5y)
C. (3x – 2y)2 – (2x – 3y)2 = (x – y)(x + y)
D. (3x – 2y)2 – (2x – 3y)2 = 5(x – y)(x – 5y)
Lời giải
Ta có (3x – 2y)2 – (2x – 3y)2 = (3x – 2y + 2x – 3y)(3x – 2y – (2x – 3y))
= (5x – 5y)(3x – 2y – 2x + 3y) = 5(x – y)(x + y)
Đáp án cần chọn là: A
Bài 5: Chọn câu sai.
Lời giải
Ta có:
+) 4x2 + 4x + 1 = (2x)2 + 2.2x.1 + 12 = (2x + 1)2 nên A đúng
+) 9x2 – 24xy + 16y2 = (3x)2 – 2.3x.4y + (4y)2 = (3x – 4y)2 nên B đúng
+) nên C đúng, D sai
Đáp án cần chọn là: D
Bài 6: Chọn câu sai.
A. x2 – 6x + 9 = (x – 3)2
B. 4x2 – 4xy + y2 = (2x – y)2
C.
D. -x2 – 2xy – y2 = -(x – y)2
Lời giải
Ta có
+) x2 – 6x + 9 = x2 – 2.3x + 32 = (x – 3)2 nên A đúng
+) 4x2 – 4xy + y2 = (2x)2 – 2.2x.y + y2 = (2x – y)2 nên B đúng
+) nên C đúng
+) -x2 – 2xy – y2 = -(x2 + 2xy + y2) = -(x + y)2 nên D sai
Đáp án cần chọn là: D
Bài 7: Cho (4x2 + 4x – 3)2 – (4x2 + 4x + 3)2 = m.x(x + 1) với m Є R. Chọn câu đúng về giá trị của m.
A. m > 47
B. m < 0
C. m ⁝ 9
D. m là số nguyên tố
Lời giải
Ta có (4x2 + 4x – 3)2 – (4x2 + 4x + 3)2
= (4x2 + 4x – 3 + 4x2 + 4x + 3)(4x2 + 4x – 3 – 4x2 – 4x – 3)
= (8x2 + 8x).(-6) = 8.x(x + 1).(-6)
= -48x(x + 1) nên m = -48 < 0
Đáp án cần chọn là: B
Bài 8: Phân tích (a2 + 9)2 – 36a2 thành nhân tử ta được
A. (a – 3)2(a + 3)2
B. (a + 3)4
C. (a2 + 36a + 9)(a2 – 36a + 9
D. (a2 + 9)2
Lời giải
Ta có (a2 + 9)2 – 36a2 = (a2 + 9)2 – (6a)2
= (a2 + 9 + 6a)(a2 + 9 – 6a) = (a + 3)2(a – 3)2
Đáp án cần chọn là: A
Bài 9: Cho 8x3 – 64 = (2x – 4)(…). Biểu thức thích hợp điền vào dấu … là
A. 2x2 + 8x + 8
B. 2x2 + 8x + 16
C. 4x2 – 8x+ 16
D. 4x2 + 8x + 16
Lời giải
Ta có 8x3 – 64 = (2x)3 – 43 = (2x – 4)(4x2 + 8x + 16)
Đáp án cần chọn là: D
Bài 10: Cho 27x3 – 0,001 = (3x – 0,1)(..). Biểu thức thích hợp điền vào dấu … là
A. 9x2 + 0,03x + 0,1
B. 9x2 + 0,6x + 0,01
C. 9x2 + 0,3x + 0,01
D. 9x2 – 0,3x + 0,01
Lời giải
Ta có 27x3 – 0,001 = (3x)3 – (0,1)3 = (3x – 0,1)((3x)2 + 3x.0,1 + 0,12)
= (3x – 0,1)(9x2 + 0,3x + 0,01)
Đáp án cần chọn là: C
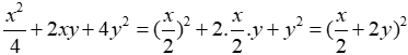
Bài 11: Phân tích đa thức thành nhân tử, ta được
Lời giải
Ta có:
Đáp án cần chọn là: B
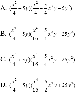
Bài 12: Phân tích đa thức thành nhân tử, ta được
Lời giải
Ta có:
Đáp án cần chọn là: C
Bài 13: Cho (x + y)3 – (x – y)3 = A.y(Bx2 + Cy2), biết A, B, C là các số nguyên. Khi đó A + B + C bằng
A. 4
B. 5
C. 6
D. 7
Lời giải
Ta có (x + y)3 – (x – y)3
= [x + y – (x – y)][(x + y)2 + (x + y)(x – y) + (x – y)2]
= (x + y – x + y)(x2 + 2xy + y2 + x2 – y2 + x2 – 2xy + y2)
= 2y(3x2 + y2) ⇒ A = 2; B = 3; C = 1
Suy ra A + B + C = 2+ 3 + 1 = 6
Đáp án cần chọn là: C
Bài 14: Cho x6 – 1 = (x + A)(x + B)(x4 + x2 + C), biết A, B, C là các số nguyên. Khi đó A + B + C bằng
A. 0
B. 1
C. 2
D. -1
Lời giải
Ta có x6 – 1 = (x2)3 – 1 = (x2 – 1)(x4 + x2 + 1)
= (x – 1)(x + 1)(x4 + x2 + 1)
⇒ A = -1; B = C = 1
Suy ra A + B + C = -1 + 1 + 1 = 1
Đáp án cần chọn là: B
Bài 15: Cho (4x2 + 2x – 18)2 – (4x2 + 2x)2 = m.(4x2 + 2x – 9). Khi đó giá trị của m là:
A. m = -18
B. m = 36
C. m = -36
D. m = 18
Lời giải
Ta có (4x2 + 2x – 18)2 – (4x2 + 2x)2
= (4x2 + 2x – 18 + 4x2 + 2x)(4x2 + 2x – 18 – 4x2 – 2x)
= (8x2 + 4x – 18)(-18) = 2(4x2 + 2x – 9)(-18)
= (-36)(4x2 + 2x – 18) ⇒ m = -36
Đáp án cần chọn là: C
Bài 16: Cho (x2 + y2 – 17)2 – 4(xy – 4)2 = (x + y + 5)(x – y + 3)(x + y + m)(x – y + n). Khi đó giá trị của m.n là
A. -8
B. 5
C. -15
D. 15
Lời giải
Ta có
(x2 + y2 – 17)2 – 4(xy – 4)2 = (x2 + y2 – 17)2 – [2(xy – 4)]2
= (x2 + y2 – 17 + 2xy – 8)(x2 + y2 – 17 – 2xy + 8)
= (x2 + y2 + 2xy – 25)(x2 + y2 – 2xy – 9)
= [(x + y)2 – 52][(x – y)2 – 32]
= (x + y + 5)(x + y – 5)(x – y + 3)(x – y – 3)
Suy ra m = -5; n = -3 ⇒ m.n = (-5).(-3) = 15
Đáp án cần chọn là: D
Bài 17: Giá trị của x thỏa mãn 5x2 – 10x + 5 = 0
A. x = 1
B. x = -1
C. x = 2
D. x = 5
Lời giải
Ta có 5x2 – 10x + 5 = 0
⇔ 5(x2 – 2x + 1) = 0
⇔ 5(x – 1)2 = 0
⇔ x – 1 = 0
⇔ x = 1
Vậy x = 1
Đáp án cần chọn là: A
Bài 18: Giá trị của x thỏa mãn là
Lời giải
Ta có:
Đáp án cần chọn là: C
Bài 19: Có bao nhiêu giá trị của x thỏa mãn (2x – 5)2 – 4(x – 2)2 = 0?
A. 2
B. 1
C. 0
D. 4
Lời giải
Ta có (2x – 5)2 – 4(x – 2)2 = 0
⇔ (2x – 5)2 – [2(x – 2)]2 = 0
⇔ (2x – 5)2 – (2x – 4)2 = 0
⇔ (2x – 5 + 2x – 4)(2x – 5 – 2x + 4) = 0
⇔ (4x – 9).(-1) = 0
⇔ -4x + 9 = 0
⇔ 4x = 9
⇔ x = 9/4
Đáp án cần chọn là: B
Bài 20: Có bao nhiêu giá trị của x thỏa mãn (x – 3)2 – 9(x + 1)2 = 0?
A. 2
B. 1
C. 0
D. 4
Lời giải
Ta có:
Vậy có hai giá trị của x thỏa mãn là x = 0; x = -3
Đáp án cần chọn là: A
Bài 21: Gọi x1; x2; x3 là các giá trị thỏa mãn 4(3x – 5)2 – 9(9x2 – 25)2 = 0. Khi đó x1 + x2 + x3 bằng
Lời giải
Ta có 4(3x – 5)2 – 9(9x2 – 25)2 = 0
⇔ 4(3x – 5)2 – 9[(3x)2 – 52]2 = 0
⇔ 4(3x – 5)2 – 9[(3x – 5)(3x + 5)]2 = 0
⇔ 4(3x – 5)2 – 9(3x – 5)2(3x + 5)2 = 0
⇔ (3x – 5)2[4 – 9(3x + 5)2] = 0
⇔ (3x – 5)2[4 – (3(3x + 5))2] = 0
⇔ (3x – 5)2(22 – (9x + 15)2) = 0
⇔ (3x – 5)2(2 + 9x + 15)(2 – 9x – 15) = 0
⇔ (3x – 5)2(9x + 17)(-9x – 13) = 0
Đáp án cần chọn là: C
Bài 22: Cho các phương trình (x + 2)3 + (x – 3)3 = 0 (1) ; (x2 + x – 1)2 + 4x2 + 4x = 0 (2). Chọn câu đúng
A. Phương trình (1) có hai nghiệm, phương trình (2) vô nghiệm
B. Phương trình (1) có 1 nghiệm, phương trình (2) có 2 nghiệm
C. Phương trình (1) vô nghiệm, phương trình (2) vô nghiệm
D. Phương trình (1) có 1 nghiệm, phương trình (2) vô nghiêm
Lời giải
Xét phương trình (1) ta có:
Xét phương trình (2) ta có (x2 + x – 1)2 + 4x2 + 4x = 0 (2)
Vì > 0, Ɐx nên phương trình (2) vô nghiệm
Vậy Phương trình (1) có 1 nghiệm, phương trình (2) vô nghiêm
Đáp án cần chọn là: D
Bài 23: Cho x + n = 2(y – m), khi đó giá trị của biểu thức A = x2 – 4xy + 4y2 – 4m2 – 4mn – n2 bằng
A. A = 1
B. A = 0
C. A = 2
D. Chưa đủ dữ kiện để tính
Lời giải
Ta có: A = x2 – 4xy + 4y2 – 4m2 – 4mn – n2
= x2 – 2x.2y + (2y)2 – (4m2 + 4mn + n2)
= (x – 2y)2 – (2m + n)2
= (x – 2y + 2m + n)(x – 2y – 2m – n)
Ta có: x + n = 2(y – m) ⇔ x + n = 2y – 2m
⇔ x + n = 2y – 2m
⇔ x – 2y +n + 2m = 0
Thay x – 2y + n + 2m = 0 vào A ta được
A = 0.(x – 2y – 2m – n) = 0
Vậy A = 0
Đáp án cần chọn là: B
Bài 24: Cho x – 4 = -2y. Khi đó giá trị của biểu thức M = (x + 2y – 3)2 – 4(x + 2y – 3) + 4 bằng
A. M = 0
B. M = -1
C. M = 1
D. Đáp án khác
Lời giải
Ta có: M = (x + 2y – 3)2 – 4(x + 2y – 3) + 4
= (x + 2y – 3)2 – 2(x + 2y – 3).2 + 22
= (x + 2y – 3 – 2)2 = (x + 2y – 5)2
Ta có: x – 4 = -2y ⇔ x + 2y = 4
Thay x + 2y = 4 vào M ta được
M = (4 – 5)2 = (-1)2 = `
Vậy M = 1
Đáp án cần chọn là: C
Bài 25: Cho 9a2 – (a – 3b)2 = (m.a + n.b)(4a – 3b) với m, n Є R. Khi đó, giá trị của m và n là
A. m = -2; n = -3
B. m = 3; n = 2
C. m = 3; n = -4
D. m = 2; n = 3
Lời giải
Ta có: 9a2 – (a – 3b)2 = (3a)2 – (a – 3b)2 = (3a + a – 3b)(3a – a + 3b)
= (4a – 3b)(2a + 2b)
Suy ra m = 2; n = 3
Đáp án cần chọn là: D
Bài 26: Đa thức 4b2c2 – (c2 + b2 – a2)2 được phân tích thành
A. (b + c + a)(b + c – a)(a + b – c)(a – b + c)
B. (b + c + a)(b – c – a)(a + b – c)(a – b + c)
C. (b + c + a)(b + c – a)(a + b – c)2
D. (b + c + a)(b + c – a)(a + b – c)(a – b – c)
Lời giải
Ta có 4b2c2 – (c2 + b2 – a2)2
= (2bc)2 – (c2 + b2 – a2)2
= (2bc + c2 + b2 – a2)(2bc – c2 – b2 + a2)
= [(b + c)2 – a2][a2 – (b2 – 2bc + c2)]
= [(b + c)2 – a2][a2 – (b – c)2]
= (b + c + a)(b + c – a)(a + b – c)(a – b + c)
Đáp án cần chọn là: A
Bài 27: Đa thức x6 – y6 được phân tích thành
A. (x + y)2(x2 – xy + y2)(x2 + xy + y2)
B. (x + y)(x2 – 2xy + y2)(x – y)(x2 + 2xy + y2)
C. (x + y)(x2 – xy + y2)(x – y)(x2 + xy + y2)
D. (x + y)(x2 + 2xy + y2)(y – x)(x2 + xy + y2)
Lời giải
Ta có
x6 – y6 = (x3)2 – (y3)2 = (x3 + y3)(x3 – y3)
= (x + y)(x2 – xy + y2)(x – y)(x2 + xy + y2)
Đáp án cần chọn là: C
Bài 28: Tính giá trị biểu thức P = x3 – 3x2 + 3x với x = 101
A. 1003+ 1
B. 1003 – 1
C. 1003
D. 1013
Lời giải
Ta có
P = x3 – 3x2 + 3x – 1 + 1 = (x – 1)3 + 1
Thay x = 101 vào P ta được
P = (101 – 1)3 + 1 = 1003 + 1
Đáp án cần chọn là: A
Bài 29: Hiệu bình phương các số lẻ liên tiếp thì luôn chia hết cho
A. 8
B. 9
C. 10
D. Cả A, B, C đều sai
Lời giải
Gọi hai số lẻ liên tiếp là 2k – 1; 2k + 1 (k Є N*)
Theo bài ra ta có
(2k + 1)2 – (2k – 1)2 = 4k2 + 4k + 1 – 4k2 + 4k – 1 = 8k ⁝ 8
Đáp án cần chọn là: A
Bài 30: Có bao nhiêu cặp số nguyên (x; y) thỏa mãn x2 + 102 = y2
A. 0
B. 1
C. 2
D. 3
Lời giải
Ta có x2 + 102 = y2 ⇔ y2 – x2 = 102
Nhận thấy hiệu hai bình phương là một số chẵn nên x, y cùng là số chẵn hoặc cùng là số lẻ
Suuy ra y – x; y + x luôn là số chẵn
Lại có y2 – x2 = 102 ⇔ (y – x)(y + x) = 102
Mà (y – x) và (y + x) cùng là số chẵn.
Suy ra (y – x)(y + x) chia hết cho 4 mà 102 không chia hết cho 4 nên không tồn tại cặp số x; y thỏa mãn đề bài
Đáp án cần chọn là: A
Bài 32: Cho x + y = a + b; x2 + y2 = a2 + b2. Với n Є N*, chọn câu đúng
A. xn + yn = an – bn
B. xn + yn = 2(an + bn)
C. xn + yn = an + bn
D. xn + yn =
Lời giải
Ta có: x2 + y2 = a2 = b2 ⇔ x2 – a2 = b2 – y2
⇔ (x – a)(x + a) = (b – y)(b + y)
Mà x + y = a + b ⇔ x – a = b – y nên ta có
(x – a)(x + a) = (x – a)(b + y)
⇔ (x – a)(x + a) – (x – a)(b + y) = 0
⇔ (x – a)(x + a – b – y) = 0
(199k) Học Toán 8 KNTTHọc Toán 8 CTSTHọc Toán 8 CD
Xem thêm các bài tập trắc nghiệm Toán lớp 8 có đáp án chi tiết hay khác:
- Trắc nghiệm Phân tích đa thức thành nhân tử bằng phương pháp nhóm hạng tử
- Trắc nghiệm Phân tích đa thức thành nhân tử bằng cách phối hợp nhiều phương pháp
- Trắc nghiệm Chia đơn thức cho đơn thức
- Trắc nghiệm Chia đa thức một biến đã sắp xếp
- Top 53 Bài tập Phép nhân và phép chia các đa thức (có lời giải)
Xem thêm các loạt bài Để học tốt Toán lớp 8 hay khác:
Tủ sách VIETJACK shopee lớp 6-8 (2025):
Đã có app VietJack trên điện thoại, giải bài tập SGK, SBT Soạn văn, Văn mẫu, Thi online, Bài giảng....miễn phí. Tải ngay ứng dụng trên Android và iOS.
Theo dõi chúng tôi miễn phí trên mạng xã hội facebook và youtube:Loạt bài Lý thuyết & 700 Bài tập Toán lớp 8 có lời giải chi tiết có đầy đủ Lý thuyết và các dạng bài có lời giải chi tiết được biên soạn bám sát nội dung chương trình sgk Đại số 8 và Hình học 8.
Nếu thấy hay, hãy động viên và chia sẻ nhé! Các bình luận không phù hợp với nội quy bình luận trang web sẽ bị cấm bình luận vĩnh viễn.
- Giải Tiếng Anh 8 Global Success
- Giải sgk Tiếng Anh 8 Smart World
- Giải sgk Tiếng Anh 8 Friends plus
- Lớp 8 - Kết nối tri thức
- Soạn văn 8 (hay nhất) - KNTT
- Soạn văn 8 (ngắn nhất) KNTT
- Giải sgk Toán 8 - KNTT
- Giải sgk Khoa học tự nhiên 8 - KNTT
- Giải sgk Lịch Sử 8 - KNTT
- Giải sgk Địa Lí 8 - KNTT
- Giải sgk Giáo dục công dân 8 - KNTT
- Giải sgk Tin học 8 - KNTT
- Giải sgk Công nghệ 8 - KNTT
- Giải sgk Hoạt động trải nghiệm 8 - KNTT
- Giải sgk Âm nhạc 8 - KNTT
- Lớp 8 - Chân trời sáng tạo
- Soạn văn 8 (hay nhất) - CTST
- Soạn văn 8 (ngắn nhất) - CTST
- Giải sgk Toán 8 - CTST
- Giải sgk Khoa học tự nhiên 8 - CTST
- Giải sgk Lịch Sử 8 - CTST
- Giải sgk Địa Lí 8 - CTST
- Giải sgk Giáo dục công dân 8 - CTST
- Giải sgk Tin học 8 - CTST
- Giải sgk Công nghệ 8 - CTST
- Giải sgk Hoạt động trải nghiệm 8 - CTST
- Giải sgk Âm nhạc 8 - CTST
- Lớp 8 - Cánh diều
- Soạn văn 8 Cánh diều (hay nhất)
- Soạn văn 8 Cánh diều (ngắn nhất)
- Giải sgk Toán 8 - Cánh diều
- Giải sgk Khoa học tự nhiên 8 - Cánh diều
- Giải sgk Lịch Sử 8 - Cánh diều
- Giải sgk Địa Lí 8 - Cánh diều
- Giải sgk Giáo dục công dân 8 - Cánh diều
- Giải sgk Tin học 8 - Cánh diều
- Giải sgk Công nghệ 8 - Cánh diều
- Giải sgk Hoạt động trải nghiệm 8 - Cánh diều
- Giải sgk Âm nhạc 8 - Cánh diều


Giải bài tập SGK & SBT
Tài liệu giáo viên
Sách
Khóa học
Thi online
Hỏi đáp

