15 Bài tập Công thức nghiệm thu gọn lớp 9 (có đáp án)
Với 15 Bài tập Công thức nghiệm thu gọn lớp 9 có lời giải chi tiết sẽ giúp học sinh ôn tập, biết cách làm bài tập Công thức nghiệm thu gọn.
15 Bài tập Công thức nghiệm thu gọn lớp 9 (có đáp án)
(199k) Xem Khóa học Toán 9 KNTTXem Khóa học Toán 9 CDXem Khóa học Toán 9 CTST
Câu 1: Cho phương trình ax2 + bx + c = 0 (a ≠ 0) có biệt thức b = 2b'; Δ' = b'2 - ac. Phương trình đã cho có hai nghiệm phân biệt khi:
A. Δ' > 0
B. Δ' = 0
C. Δ' ≥ 0
D. Δ' ≤ 0
Lời giải:
Xét phương trình bậc hai ax2 + bx + c = 0 (a ≠ 0) có biệt thức b = 2b'; Δ' = b'2 - ac:
• TH1: Nếu Δ' < 0 thì phương trình vô nghiệm
• TH2: Nếu Δ' = 0 thì phương trình có nghiệm kép x1 = x2 =
• TH3: Nếu Δ' > 0 thì phương trình có hai nghiệm phân biệt x1,2 =
Chọn đáp án A.
Câu 2: Cho phương trình ax2 + bx + c = 0 (a ≠ 0) có biệt thức b = 2b'; Δ' = b'2 - ac. Nếu Δ' = 0 thì:
A. Phương trình có hai nghiệm phân biệt
B. Phương trình có nghiệm kép x1 = x2 =
C. Phương trình có nghiệm kép x1 = x2 =
D. Phương trình có nghiệm kép x1 = x2 =
Lời giải:
Xét phương trình bậc hai ax2 + bx + c = 0 (a ≠ 0) có biệt thức b = 2b'; Δ' = b'2 - ac:
Nếu Δ' = 0 thì phương trình có nghiệm kép x1 = x2 =
Chọn đáp án C.
Câu 3: Tính Δ' và tìm số nghiệm của phương trình 7x2 - 12x + 4 = 0
A. Δ' = 6 và phương trình có hai nghiệm phân biệt
B. Δ' = 8 và phương trình có hai nghiệm phân biệt
C. Δ' = 8 và phương trình có nghiệm kép
D. Δ' = 0 và phương trình có hai nghiệm phân biệt
Lời giải:
Phương trình 7x2 - 12x + 4 = 0 có a = 7; b' = -6; c = 4 suy ra:
Δ' = (b')2 - ac = (-6)2 - 4.7 = 8 > 0
Nên phương trình có hai nghiệm phân biệt.
Chọn đáp án B.
Câu 4: Tìm m để phương trình 2mx2 - (2m + 1)x - 3 = 0 có nghiệm là x = 2
Lời giải:
Chọn đáp án C.
Câu 5: Tính Δ' và tìm nghiệm của phương trình
Lời giải:
Chọn đáp án D.
Câu 6: Tìm nghiệm dương của phương trình: x2 - 8x + 10 = 0
Lời giải:
Ta có: a = 1; b = - 8 nên b’ = -4; c = 10.
Δ' = (-4)2 - 1.10 = 16 - 10 = 6
Do đó, phương trình đã cho có hai nghiệm phân biệt là;
Vậy cả hai nghiệm trên đều là nghiệm dương của phương trình đã cho.
Chọn đáp án D.
Câu 7: Cho phương trình 2x2 - 10x + m + 1 = 0; ( m là tham số). Tìm m để biệt thức Δ' = 11
A. m = 3
B. m = 6
C. m = 9
D. m = -2
Lời giải:
Ta có: a = 2 ; b = -10 nên b’ = -5; c = m + 1
Δ' = (-5)2 - 2.(m + 1) = 25 - 2m - 2 = 23 - 2m
Để Δ' = 11 thì 23 – 2m = 11
⇔ -2m = -12 ⇔ m = 6
Chọn đáp án B.
Câu 8: Cho phương trình 2x2 – 4x + m = 0. Tìm m để phương trình trên vô nghiệm?
A. m < 3
B. m > - 3
C. m > 2
D. m < -2
Lời giải:
Ta có: a = 2; b = - 4 nên b’ = -2 và c = m
Δ' = (-2)2 - 2m = 4 - 2m
Để phương trình đã cho vô nghiệm thì:4 – 2m < 0 hay m > 2 .
Chọn đáp án C.
Câu 9: Cho hai phương trình x2 – 4x + 4= 0 và x2 + (m + 1)x + m = 0 . Tìm m để hai phương trình trên có nghiệm chung?
A. m = 2 hoặc m = -1
B. m = 1 hoặc m = 2
C. m = -1
D. m = -2
Lời giải:
* Xét phương trình : x2 – 4x + 4= 0
⇔ (x-2)2 = 0 ⇔ x - 2 = 0 ⇔ x = 2
Vậy phương trình này có nghiệm duy nhất.
Để hai phương trình đã cho có nghiệm chung khi và chỉ khi x = 2 là nghiệm phương trình
x2 + (m + 1)x + m = 0.Suy ra:
22 + (m + 1).2 + m = 0
⇔ 4 + 2m + 2 + m = 0 ⇔ 6 + 3m = 0
⇔ 3m = +6 ⇔ m = -2
Chọn đáp án D.
Câu 10: Cho phương trình: -8x2 + 100x + 40m = 0. Tìm m để phương trình trên có nghiệm duy nhất?
Lời giải:
Chọn đáp án B.
Câu 11: Tìm các giá trị của m để phương trình mx2 – 2(m – 1)x + m + 2 = 0 có nghiệm.
Lời giải:
Phương trình mx2 – 2(m – 1)x + m + 2 = 0 có a = m; b’ = − (m – 1); c = m + 2
Suy ra ∆' = (m – 1)2 – m(m + 2) = −4m + 1
TH1: m = 0, ta có phương trình 2x + 2 = 0 ⇔ x = −1
TH2: m ≠ 0. Phương trình có nghiệm khi
Kết hợp cả hai trường hợp ta có với thì phương trình có nghiệm
Đáp án cần chọn là: A
Câu 12: Phương trình (m – 3)x2 – 2(3m + 1)x + 9m – 1 = 0 có nghiệm khi?
Lời giải:
Phương trình (m – 3)x2 – 2(3m + 1)x + 9m – 1 = 0 có a = m – 3; b’ = − (3m + 1) và c = 9m – 1
TH1: Nếu m – 3 = 0 ⇒ m = 3 thì phương trình (m – 3)x2 – 2(3m + 1)x + 9m – 1 = 0 trở thành −2(3.3 + 1) x + 9.3 – 1 = 0 ⇒ −20x + 26 = 0 ⇒
Vậy m = 3 thì phương trình có nghiệm duy nhất nên ta nhận m = 3
TH2: m ≠ 3 thì phương trình là phương trình bậc hai. Phương trình có nghiệm khi
Đáp án cần chọn là: A
Câu 13: Trong trường hợp phương trình −x2 + 2mx − m2 – m = 0 có hai nghiệm phân biệt. Hai nghiệm của phương trình là?
Lời giải:
Phương trình −x2 + 2mx − m2 – m = 0 có a = −1; b’ = m; c = −m2 – m
Suy ra ∆' = m2 – (−1).( −m2 – m) = −m
Phương trình có hai nghiệm phân biệt khi –m > 0 ⇔ m < 0
Đáp án cần chọn là: A
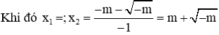
Câu 14: Trong trường hợp phương trình x2 – 2(m – 2)x + 2m − 5 = 0 có hai nghiệm phân biệt. Hai nghiệm của phương trình là?
Lời giải:
Phương trình x2 – 2(m – 2)x + 2m − 5 = 0 có a = 1; b’ = − (m – 2); c = 2m – 5
Suy ra ∆' = [− (m – 2)]2 – 1.(2m − 5) = m2 – 6m + 9 = (m – 3)2
Để phương trình có hai nghiệm phân biệt thì ∆' > 0 ⇔ (m – 3)2 > 0 ⇔ m ≠ 3
Khi đó, phương trình có hai nghiệm phân biệt là:
Đáp án cần chọn là: B
Câu 15: Cho phương trình x2 + (a + b + c)x + (ab + bc + ca) = 0 với a, b, c là ba cạnh của một tam giác. Khẳng định nào sau đây là đúng?
A. Phương trình luôn có hai nghiệm phân biệt
B. Phương trình luôn có nghiệm kép
C. Chưa đủ điều kiện để kết luận
D. Phương trình luôn vô nghiệm
Lời giải:
Phương trình x2 + (a + b + c)x + (ab + bc + ca) = 0
Có ∆ = (a + b + c)2 − 4(ab + bc + ca) = a2 + b2 + c2 – 2ab – 2bc – 2ac
= (a – b)2 – c2 + (b – c)2 – a2 + (a – c)2 – b2
= (a – b – c)(a + c – b) + (b – c – a)(a + b – c) + (a – c – b)(a – c + b)
Mà a, b, c là ba cạnh của một tam giác nên
Nên ∆ < 0 với mọi a, b, c
Hay phương trình luôn vô nghiệm với mọi a, b, c
Đáp án cần chọn là: D
(199k) Xem Khóa học Toán 9 KNTTXem Khóa học Toán 9 CDXem Khóa học Toán 9 CTST
Xem thêm lý thuyết và các dạng bài tập Toán lớp 9 có lời giải hay khác:
- Lý thuyết Hệ thức Vi-ét và ứng dụng (hay, chi tiết)
- Trắc nghiệm Hệ thức Vi-ét và ứng dụng
- Lý thuyết Phương trình quy về phương trình bậc hai (hay, chi tiết)
- Trắc nghiệm Phương trình quy về phương trình bậc hai
- Lý thuyết Giải bài toán bằng cách lập phương trình (hay, chi tiết)
- Trắc nghiệm Giải bài toán bằng cách lập phương trình
Tủ sách VIETJACK luyện thi vào 10 cho 2k11 (2026):
Đã có app VietJack trên điện thoại, giải bài tập SGK, SBT Soạn văn, Văn mẫu, Thi online, Bài giảng....miễn phí. Tải ngay ứng dụng trên Android và iOS.
Theo dõi chúng tôi miễn phí trên mạng xã hội facebook và youtube:Loạt bài Chuyên đề: Lý thuyết - Bài tập Toán lớp 9 Đại số và Hình học có đáp án có đầy đủ Lý thuyết và các dạng bài được biên soạn bám sát nội dung chương trình sgk Đại số 9 và Hình học 9.
Nếu thấy hay, hãy động viên và chia sẻ nhé! Các bình luận không phù hợp với nội quy bình luận trang web sẽ bị cấm bình luận vĩnh viễn.
- Giải Tiếng Anh 9 Global Success
- Giải sgk Tiếng Anh 9 Smart World
- Giải sgk Tiếng Anh 9 Friends plus
- Lớp 9 Kết nối tri thức
- Soạn văn 9 (hay nhất) - KNTT
- Soạn văn 9 (ngắn nhất) - KNTT
- Giải sgk Toán 9 - KNTT
- Giải sgk Khoa học tự nhiên 9 - KNTT
- Giải sgk Lịch Sử 9 - KNTT
- Giải sgk Địa Lí 9 - KNTT
- Giải sgk Giáo dục công dân 9 - KNTT
- Giải sgk Tin học 9 - KNTT
- Giải sgk Công nghệ 9 - KNTT
- Giải sgk Hoạt động trải nghiệm 9 - KNTT
- Giải sgk Âm nhạc 9 - KNTT
- Giải sgk Mĩ thuật 9 - KNTT
- Lớp 9 Chân trời sáng tạo
- Soạn văn 9 (hay nhất) - CTST
- Soạn văn 9 (ngắn nhất) - CTST
- Giải sgk Toán 9 - CTST
- Giải sgk Khoa học tự nhiên 9 - CTST
- Giải sgk Lịch Sử 9 - CTST
- Giải sgk Địa Lí 9 - CTST
- Giải sgk Giáo dục công dân 9 - CTST
- Giải sgk Tin học 9 - CTST
- Giải sgk Công nghệ 9 - CTST
- Giải sgk Hoạt động trải nghiệm 9 - CTST
- Giải sgk Âm nhạc 9 - CTST
- Giải sgk Mĩ thuật 9 - CTST
- Lớp 9 Cánh diều
- Soạn văn 9 Cánh diều (hay nhất)
- Soạn văn 9 Cánh diều (ngắn nhất)
- Giải sgk Toán 9 - Cánh diều
- Giải sgk Khoa học tự nhiên 9 - Cánh diều
- Giải sgk Lịch Sử 9 - Cánh diều
- Giải sgk Địa Lí 9 - Cánh diều
- Giải sgk Giáo dục công dân 9 - Cánh diều
- Giải sgk Tin học 9 - Cánh diều
- Giải sgk Công nghệ 9 - Cánh diều
- Giải sgk Hoạt động trải nghiệm 9 - Cánh diều
- Giải sgk Âm nhạc 9 - Cánh diều
- Giải sgk Mĩ thuật 9 - Cánh diều


Giải bài tập SGK & SBT
Tài liệu giáo viên
Sách
Khóa học
Thi online
Hỏi đáp

