200+ Trắc nghiệm Cung cấp điện (có đáp án)
Tổng hợp trên 200 câu hỏi trắc nghiệm Cung cấp điện có đáp án với các câu hỏi đa dạng, phong phú từ nhiều nguồn giúp sinh viên ôn trắc nghiệm Cung cấp điện đạt kết quả cao.
200+ Trắc nghiệm Cung cấp điện (có đáp án)
Câu 1. Mạng phân phối trung thế cung cấp điện cho hộ loại 1 phương án nào hợp lý. Select one.
A. ít nhất 2 nguồn (điện lực) riêng biệt và 2 nguồn dự phòng.
B.1 nguồn cấp điện cho sân bay và 2 máy phát dự phòng
C.1 nguồn cung cấp và hệ thống nguồn dự phòng. UPS, máy phát điện
D.1 nguồn cấp điện cho 2 máy biến áp kết hợp với 1 máy phát dự phòng
Câu 2. Đường dây trung thế trên không, loại dây phổ biến sử dụng.
A. Cáp đồng, có giáp bảo vệ
B.Cáp đồng, có giáp nhôm bảo vệ
C.Cáp nhôm lõi thép As
D.Dây đồng trần
Câu 3. Trên bản vẽ thiết kế có ghi Busway 2500A 4P (Cu) + PE (ENCLOUSE, AL) phát biểu nào sau đây KHÔNG chính xác.
A. Sử dụng vỏ busway để làm dây PE
B.Tiết diện dây PE bằng tiết diện dây pha
C.Sử dụng thanh đồng làm dây pha
D.Mỗi pha dòng định mức là 2500A
Câu 4. Trên nhãn MBA lực như hình vẽ, ý nghĩa ký hiệu Dyn11 có nghĩa là gì?
A. Đồng bộ 3 pha 11 h
B.Kiểu kết nối máy biến áp
C.Tổ đấu dây Tam giác/Sao (Delta/Star), trung tính trực tiếp nối đất
D.Tổ đấu dây Sao/Sao (Star/Star), trung tính trực tiếp nối đất
Câu 5. Ký hiệu tủ điện chính trong sơ đồ nguyên lý hệ thống cung cấp điện, phát biểu nào SAI.
A. DB or panel
B.MSB
C.EMSB
D.MDB
Câu 6. Cho trạm biến áp S=2000kVA, có công suất và điện năng tại các thời điểm như bảng bên dưới, công suất đẳng trị khi quá tải của MBA.
A. Sdt1=1417kVA
B.Sdt1=1875kVA
C.Sdt1=2500kVA
D.Sdt1=2000kVA
Câu 7.
A. 3
B.1
C.2
D.0
Câu 8. ONAN là ký hiệu của phương thức làm mát máy biến áp. Select one.
A. Máy biến áp khô, làm mát đối lưu cưỡng bức
B.Máy biến áp khô, làm mát bằng không khí đối lưu tự nhiên.
C.Máy biến áp dầu, làm mát đối lưu tự nhiên, không khí bên ngoài đối lưu cưỡng bức
D.Máy biến áp dầu, làm mát đối lưu tự nhiên, không khí bên ngoài đối lưu tự nhiên.
Câu 9. Trong hệ thống cung cấp điện của toà nhà, Busway được sử dụng chủ yếu cho.
A. Trục phân phối chiếu sáng từng phòng
B.Trục phân phối xuyên tầng riser
C.Trục phân phối từ máy biến áp đến tủ chính
D.Trục phân phối phụ
Câu 10. Cho trạm biến áp S=2000kVA, có công suất và điện năng tại các thời điểm như bảng bên dưới, công suất đẳng trị khi non tải của MBA.
A. Sđt1 = 1417kVA
B.Sđt1 = 1875kVA
c.Sđt2 = 2000kVA
D.Sđt2 = 2500kVA
Câu 11. Tổng trở Z của đường dây phân phối hạ thế, tiết diện dây nhỏ hơn 50mm2 phụ thuộc chủ yếu.
A. Điện trở R
B.Điện dung C và cảm kháng X
C.Điện trở R và điện dung C
D.Điện cảm L
Câu 12. Các thành phần chính bên trong tủ điện chính KHÔNG bao gồm.
A. Thiết bị đóng cắt
B.Đồng hồ Multimeter, đèn báo pha
C.Tủ phân phối phụ
D.Thanh cái và thiết bị đóng cắt
Câu 13. Đường dây 3 pha có tổng trở R, X, điện áp vận hành U(kV). Khi đường dây tải công suất P, Q thì tổn thất công suất tác dụng trên đường dây bằng
A.
B.
C.
D.
Câu 14. Hệ số quá tải bình thường của MBA được tính theo công thức.
A. K=0.3
B.K=(1+1-Kdk).0,3
C.K= 1+(1-K).0,3
D.K=1,3
Câu 15. Tổn thất điện năng do tiêu tán trên đường dây, trong MBA, trong các thiết bị điện được gọi là tổn thất gì?
A. Tổn hao đồng
B.Tổn thất phi kĩ thuật
C.tổn thất kỹ thuật
D.Tổn thất kinh doanh
Câu 16. Xu hướng phát triển các loại trạm biến áp trong tương lai tại các đô thị lớn.
A. Tăng số lượng trạm hợp bộ, tăng số lượng trạm treo
B.Tăng số lượng trạm hợp bộ, giảm số lượng trạm treo
C.Giảm số lượng trạm tích hợp, trạm kín, trạm giàn
D.Giảm số lượng trạm Kios, giảm số lượng trạm giàn
Câu 17. Số lượng MBA trong TBA cung cấp cho hộ loại 1.
A. n>=2
B.n>=1
C.n=3
D.n=4
Câu 18. Phụ tải hộ tiêu thụ loại 1 có Smax = 700kVA, chọn số lượng và dung lượng máy biến áp phù hợp theo tiêu chuẩn IEC.
A. 2x350kVA
B.2x560kVA
C.2x700kVA
D.1x750kVA
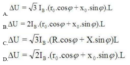
Câu 19. Cho biết r0. x0 điện trở và điện kháng trên một đơn vị chiều dài đường dây (Ohm/m); IB(A) là dòng điện chạy trên dây dẫn có chiều dài L (m). Tải có hệ số công suất là cosphi. Tổn thất điện áp trên đường dây 3 pha như sau.
Câu 20. Ưu điểm của sơ đồ phân nhánh hình tia mạng điện hạ thế.
A. Chỉ gây mất điện khi mạch nhánh bị sự cố.
B.Phức tạp trong vận hành
C.Tiết diện dây dẫn bằng nhau cho đến cuối mạch
D.Khi mất điện tại tủ điện chính sẽ mất điện toàn bộ nhà máy
Câu 21. Trong mạng phân phối có nguồn dự phòng, nguồn dự phòng được ưu tiên cấp điện cho.
A. Hệ thống bơm nước sinh hoạt
B.Hệ thống chiếu sáng làm việc
C.Hệ thống thang máy
D.Hệ thống bơm chữa cháy, hệ thống báo cháy, thoát hiểm
Câu 22. Dòng điện định mức ở phía trung áp của MBA 3 pha 22/0.4kV-250 kVA là.
A. I= 250000/(3 x 0.4) (A)
B.I = 250/[sqrt(3) x 0.4] (A)
C.I = 250000/[sqrt(3) x 2200) (A)
D.I = 250/[sqrt(3) x 22)] (A)
Câu 23. 3 máy biến áp 1 pha (12.7kV/0.23kV) ghép lại để tạo ra hệ thống hạ thế 3P-4W, có điện áp. Se
A. Pha với trung tính 230V, pha với pha 380V (Ud 380V).
B.Pha với trung tính 230V, pha với pha 0V (Ud 0V)
C.Pha với trung tính 230V, pha với pha 400V (Ud 400V)
D.Pha với trung tính 127V, pha với pha 230V (Ud 230V).
Câu 24.
A. S12 = (800 + j700) kVA
B.S01 = (2800 + j2100) kVA
c.S01 = (1000 + j700) kVA
D.S12 = (3800 + j2800) kVA
Câu 25.
A. 4V
B.10V
C.8V
D.7V
................................
................................
................................
Xem thêm câu hỏi trắc nghiệm các môn học Đại học có đáp án hay khác:
Sách VietJack thi THPT quốc gia 2025 cho học sinh 2k7:
- Soạn văn 12 (hay nhất) - KNTT
- Soạn văn 12 (ngắn nhất) - KNTT
- Giải sgk Toán 12 - KNTT
- Giải Tiếng Anh 12 Global Success
- Giải sgk Tiếng Anh 12 Smart World
- Giải sgk Tiếng Anh 12 Friends Global
- Giải sgk Vật Lí 12 - KNTT
- Giải sgk Hóa học 12 - KNTT
- Giải sgk Sinh học 12 - KNTT
- Giải sgk Lịch Sử 12 - KNTT
- Giải sgk Địa Lí 12 - KNTT
- Giải sgk Giáo dục KTPL 12 - KNTT
- Giải sgk Tin học 12 - KNTT
- Giải sgk Công nghệ 12 - KNTT
- Giải sgk Hoạt động trải nghiệm 12 - KNTT
- Giải sgk Giáo dục quốc phòng 12 - KNTT
- Giải sgk Âm nhạc 12 - KNTT
- Giải sgk Mĩ thuật 12 - KNTT
Giải bài tập SGK & SBT
Tài liệu giáo viên
Sách
Khóa học
Thi online
Hỏi đáp



