200+ Trắc nghiệm Điều khiển số (có đáp án)
Tổng hợp trên 200 câu hỏi trắc nghiệm Điều khiển số có đáp án với các câu hỏi đa dạng, phong phú từ nhiều nguồn giúp sinh viên ôn trắc nghiệm Điều khiển số đạt kết quả cao.
200+ Trắc nghiệm Điều khiển số (có đáp án)
Câu 1: Hệ điều khiển số bao gồm:
A. Hệ thu thập xử lý tin hiệu vi xử lý, vi điều khiển, các hệ thống lớn có máy tính số
B. Hệ thu thập xử lý tín hiệu vi xử lý
C. Vi điều khiểu
D. Các hệ thống lớn có máy tính số
Câu 2: Nhiệm vụ bộ chuyển đổi A/D:
A. Làm nhiệm vụ biến đổi tín hiệu từ tín hiệu tương tự sang tín hiệu số
B. Làm nhiệm vụ biến đổi tín hiệu từ tín hiệu tương tự sang tín hiệu tương tự
C. Làm nhiệm vụ biến đổi tín hiệu từ tín hiệu số sang tín hiệu số
D. Làm nhiệm vụ biến đổi tín hiệu từ tín hiệu số sang tín hiệu tương tự
Câu 3: Khâu có bản chất gián đoạn mô tả các thiệt bị:
A. Thiết bị điều khiển digital
B. Thiết bị điều khiển analog
C. Thiết bị điều khiển analog và digital
D. Cả A, B, C đều sai
Câu 4: Nhiệm vụ bộ chuyển đổi D/A:
A. Làm nhiệm vụ biến đổi tín hiệu từ tín hiệu số sang tín hiệu tương tự
B. Làm nhiệm vụ biến đổi tín hiệu từ tín hiệu tương tự sang tín hiệu số
C. Làm nhiệm vụ biến đổi tín hiệu từ tín hiệu số sang tín hiệu số
D. Làm nhiệm vụ biến đổi tín hiệu từ tín hiệu tương tự sang tín hiệu tương tự
Câu 5: Tín hiệu đưa vào đối tượng điều khiển và tín hiệu đo lường là tín hiệu:
A. Liên tục
B. Rời rạc
C. Rời rạc và liên tục
D. Cả A, B và C đều sai
Câu 6: Hệ thống điều khiển đơn là:
A. Hệ thống có thể có nhiều đầu vào nhưng chỉ có một đối tượng điều khiển
B. Hệ thống có thể có nhiều đầu vào có nhiều đối tượng điều khiển
C. Hệ thống có một đầu vào nhưng có nhiều đối tượng điều khiển
D. Hệ thống có một đầu vào nhưng chỉ có một đối tượng điều khiển
Câu 7: Hệ thống điều khiển đa kênh:
A. Là hệ thống có nhiều đối tượng điều khiển nhưng những đối tượng đó không liên quan đến nhau
B. Là hệ thống có một đối tượng điều khiển nhưng những đối tượng đó không liên quan đến nhau
C. Là hệ thống có nhiều đối tượng điều khiển nhưng những đối tượng đó đều liên quan đến nhau
D. Là hệ thống có nhiều đối tượng điều khiển
Câu 8: Hệ thống điều khiển số được phân thành những loại nào:
A. Hệ thống điều khiển đơn, hệ thống điều khiển đa kênh, hệ thống điều khiển nhiều chiều
B. Hệ thống điều khiển nhiều chiều, hệ thống điều khiển đa kênh
C. Hệ thống điều khiển đơn, hệ thống điều khiển đa kênh
D. Hệ thống điều khiển đơn, hệ thống điều khiển nhiều chiều
Câu 9: Như thế nào gọi là cấu trúc lai:
A. Là cấu trúc có tương tự và số
B. Là cấu trúc chỉ có tương tự
C. Là cấu trúc chỉ có số
D. Là cấu trúc có tương tự và số
Câu 10: Khi thêm vào hệ thống liên tục các khâu lấy mẫu, khâu giữ dữ liệu (và bộ điều khiển số) ta được hệ thống nào:
A. Hệ thống điều khiển rời rạc
B. Hệ thống điều khiển số
C. Hệ thống liên tục
D. Hệ thống bất biến
Câu 11: Hệ thống điều khiển số bao gồm mấy loại khâu cơ bản:
A. 2
B. 1
C. 3
D. 4
Câu 12: Khâu có bản chất gián đoạn:
A. Các tín hiệu vào và ra trạng thái đều gián đoạn về thời gian và mức
B. Các tín hiệu vào và ra trạng thái đều gián đoạn về mức
C. Các tín hiệu vào và ra trạng thái đều gián đoạn về thời gian
D. Tất cả đều sai
Câu 13: Khâu có bản chất liên tục:
A. Mô tả đối tượng điều khiển
B. Các tín hiệu vào và ra trạng thái đều gián đoạn về thời gian và mức
C. Mô tả đối tượng không điều khiển
D. Cả A, B, C đều sai
Câu 14: Nhiệm vụ của khâu ngoại suy dữ liệu là gì:
A. Là xây dựng lại hàm đã được lấy mẫu thành một tín hiệu liên tục dựa vào các hàm lấy mẫu trước đó
B. Là xây dựng lại hàm đã được lấy mẫu thành một tín hiệu rời rạc dựa vào các hàm lấy mẫu trước đó
C. Là xây dựng lại hàm đã được lấy mẫu thành một tín hiệu liên tục dựa vào các hàm lấy mẫu sau đó
D. Là xây dựng lại hàm đã được lấy mẫu thành một tín hiệu rời rạc dựa vào các hàm lấy mẫu sau đó
Câu 15: Hệ thống điều khiển số có mấy loại:
A. 3
B. 2
C. 1
D. 4
Câu 16: Các loại hệ thống điều khiểu số:
A. Điều khiển đơn, điều khiển đa kênh, điều khiển nhiều kênh
B. Điều khiển đơn
C. Điều khiển đa kênh
D. Điều khiển nhiều kênh
Câu 17: Bộ điều chỉnh của hệ thống số có thể là:
A. Vi xử lí (µP) và vi điều khiển (µC)
B. Vi xử lí (µP)
C. Vi điều khiển (µC)
D. Cả A và B đều sai
Câu 18: Trong hệ thống điều khiển số tồn tại mấy loại tín hiệu:
A. 2
B. 3
C. 1
D. 4
Câu 19: Mô hình sau đây là quá trình:
A. Mô hình quá trình biến đổi tín hiệu liên tục thành tín hiệu gián đoạn
B. Mô hình quá trình biến đổi tín hiệu gián đoạn thành tín hiệu gián đoạn
C. Mô hình quá trình biến đổi tín hiệu liên tục thành tín hiệu liên tục
D. Mô hình quá trình biến đổi tín hiệu gián đoạn thành tín hiệu liên tục
Câu 20: Cho hình sau: Đây là sơ đồ:
A. Bộ biến đổi D/A
B. Bộ biến đổi A/D
C. Bộ biến đổi Digital
D. Bộ biến đổi Analog
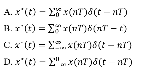
Câu 21: Tín hiệu x(t) được điều chế bởi xung đơn vị ký hiệu là:
Câu 22: Dựa vào biểu thức , hãy cho biết hàm lấy mẫu tốt nhất là xung đơn vị δ(t-nT) như thế nào:
A. Có độ rộng bằng vô cùng bé, chiều cao vô cùng lớn với tổng xung lượng bằng 1
B. Có độ rộng bằng vô cùng bé, chiều cao vô cùng lớn với tổng xung lượng bằng 0
C. Có độ rộng bằng vô cùng bé, chiều cao vô cùng bé với tổng xung lượng bằng 1
D. Có độ rộng bằng vô cùng lớn, chiều cao vô cùng lớn với tổng xung lượng bằng 1
Câu 23: Cho tín hiệu . Hãy chọn câu đáp án đúng nhất:
A. x(nT) là giá trị của x(t) tại thời điểm lấy mẫu nT
B. x(nT) là một xung đơn vị tại thời điểm nT
C. δ(t-nT) là giá trị của x(t) tại thời điểm lấy mẫu nT
D. δ(t-nT) là một hàm tại thời điểm nT
Câu 24: Nhiệm vụ của khâu ngoại suy dữ liệu là:
A. Là xây dựng lại hàm đã được lấy mẫu thành một tín hiệu liên tục dựa vào các hàm lấy mẫu trước đó
B. Là xây dựng lại hàm đã được lấy mẫu thành một tín hiệu rời rạc dựa vào các hàm lấy mẫu trước đó
C. Là xây dựng lại hàm đã được lấy mẫu thành một tín hiệu liên tục dựa vào các hàm lấy mẫu sau đó
D. Là xây dựng lại hàm đã được lấy mẫu thành một tín hiệu rời rạc dựa vào các hàm lấy mẫu sau đó
Câu 25: Hãy cho biết sơ đồ sau đây là sơ đồ của khâu nào:
A. Khâu lưu giữ dữ liệu
B. Khâu lưu giữ bậc không
C. Khâu lưu giữ bậc một
D. Cả A, B, C đều sai
................................
................................
................................
Xem thêm câu hỏi trắc nghiệm các môn học Đại học có đáp án hay khác:
Sách VietJack thi THPT quốc gia 2025 cho học sinh 2k7:
- Soạn văn 12 (hay nhất) - KNTT
- Soạn văn 12 (ngắn nhất) - KNTT
- Giải sgk Toán 12 - KNTT
- Giải Tiếng Anh 12 Global Success
- Giải sgk Tiếng Anh 12 Smart World
- Giải sgk Tiếng Anh 12 Friends Global
- Giải sgk Vật Lí 12 - KNTT
- Giải sgk Hóa học 12 - KNTT
- Giải sgk Sinh học 12 - KNTT
- Giải sgk Lịch Sử 12 - KNTT
- Giải sgk Địa Lí 12 - KNTT
- Giải sgk Giáo dục KTPL 12 - KNTT
- Giải sgk Tin học 12 - KNTT
- Giải sgk Công nghệ 12 - KNTT
- Giải sgk Hoạt động trải nghiệm 12 - KNTT
- Giải sgk Giáo dục quốc phòng 12 - KNTT
- Giải sgk Âm nhạc 12 - KNTT
- Giải sgk Mĩ thuật 12 - KNTT
Giải bài tập SGK & SBT
Tài liệu giáo viên
Sách
Khóa học
Thi online
Hỏi đáp



