Đề kiểm tra Vật Lí 10 Cánh diều Chủ đề 5 (có lời giải)
Đề kiểm tra Vật Lí 10 Cánh diều Chủ đề 5: Chuyển động tròn và biến dạng có đáp án chi tiết đầy đủ các mức độ sẽ giúp học sinh lớp 10 ôn luyện Vật Lí 10.
Đề kiểm tra Vật Lí 10 Cánh diều Chủ đề 5 (có lời giải)
Chỉ từ 200k mua trọn bộ Bài tập ôn tập + Đề kiểm tra Vật Lí 10 Cánh diều theo chủ đề theo cấu trúc mới bản word có lời giải chi tiết, trình bày đẹp mắt, dễ dàng chỉnh sửa:
- B1: gửi phí vào tk:
1133836868- CT TNHH DAU TU VA DV GD VIETJACK - Ngân hàng MB (QR) - B2: Nhắn tin tới Zalo VietJack Official - nhấn vào đây để thông báo và nhận đề thi
PHẦN I. Câu trắc nhiệm nhiều phương án lựa chọn (3,0 điểm).
Thí sinh trả lời từ câu 1 đến câu 12. Mỗi câu hỏi thí sinh chỉ chọn một phương án.
Câu 1. Chuyển động của vật nào dưới đây là chuyển động tròn đều?
A. Chuyển động của cái đầu van xe đạp đối với mặt đường, xe chạy đều.
B. Chuyển động của một con lắc đồng hồ.
C. Chuyển động của một mắt xích xe đạp.
D. Chuyển động của cái đầu van xe đạp đối với người ngồi trên xe, xe chạy đều.
Câu 2. Chuyển động tròn đều có
A. vectơ vận tốc không đổi.
B. tốc độ phụ thuộc vào bán kính quỹ đạo.
C. tốc độ góc phụ thuộc vào bán kính quỹ đạo.
D. chu kì tỉ lệ với thời gian chuyển động.
Câu 3. Tốc độ góc của kim giây là
A.
B.
C. rad/s.
D.
Câu 4. Một đĩa tròn bán kính 10 cm, quay đều mỗi vòng hết 0,2 s. Tốc độ dài của một điểm nằm trên vành đĩa có giá trị
A. 314 m/s.
B. 31,4 m/s.
C. 0,314 m/s.
D. 3,14 m/s.
Câu 5. Một vành bánh xe đạp chuyển động với tần số 2 Hz. Chu kì của một chất điểm trên vành bánh xe đạp là
A. 15s.
B. 0,5s.
C. 50s.
D. 1,5s.
Câu 6. Lò xo có độ cứng k, một đầu treo vào điểm cố định, đầu còn lại được gắn vào vật có khối lượng m. Khi vật cân bằng thì hệ thức nào sau đây được nghiệm đúng?
A.
B. mg = k∆l.
C.
D.
Câu 7. Một lò xo có chiều dài tự nhiên bằng 22 cm. Lò xo được treo thẳng đứng, một đầu giữ cố định, còn đầu kia gắn một vật nặng. Khi ấy lò xo dài 27 cm, cho biết độ cứng lò xo là 100 N/m. Độ lớn lực đàn hồi bằng
A. 500 N.
B. 5 N.
C. 20 N.
D. 50 N.
Câu 8. Phải treo một vật có khối lượng bằng bao nhiêu vào lò xo có độ cứng k = 100N/m để lò xo dãn ra được 10 cm? Lấy g = 10m/s2
A. 1kg.
B. 10kg.
C. 100kg.
D. 1000kg.
Câu 10. Một vật chuyển động theo đường tròn bán kính r = 100 cm với gia tốc hướng tâm aht = 4 cm/s2. Chu kì T của chuyển động đó là
A.
B.
C.
D.
Câu 11. Một thùng cao 2 m đựng một lượng nước cao 1,2 m. Áp suất của nước tác dụng lên đáy thùng là
A. 12000 Pa.
B. 1200 Pa.
C. 120 Pa.
D. 20000 Pa.
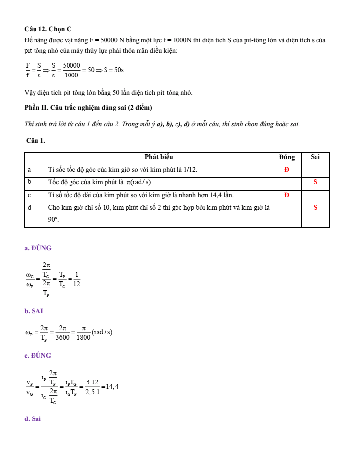
Câu 12. Người ta dùng một lực 1000 N để nâng một vật nặng 50000 N bằng một máy thủy lực. Hỏi diện tích pit tông lớn S và nhỏ s của máy thủy lực này thỏa mãn điều kiện nào sau đây?
A. S = 5 s.
B. S = 0,2 s.
C. S = 50 s.
D. S = 5100 s.
Phần II. Câu trắc nghiệm đúng sai (2 điểm)
Thí sinh trả lời từ câu 1 đến câu 2. Trong mỗi ý a), b), c), d) ở mỗi câu, thí sinh chọn đúng hoặc sai.
Câu 1. Một đồng hồ treo tường có kim giờ dài 2,5 cm, kim phút dài 3 cm.
a) Tỉ số tốc độ góc của kim giờ so với kim phút là 1/12.
b) Tốc độ góc của kim phút là
c) Tỉ số tốc độ dài của kim phút so với kim giờ là nhanh hơn 14,4 lần.
d) Cho kim giờ chỉ số 10, kim phút chỉ số 2 thì góc hợp bởi kim phút và kim giờ là 90º.
Câu 2. Một lò xo có chiều dài tự nhiên là l0 = 30 cm, khi treo vật có khối lượng m1 = 400 g, thì lò xo dãn ra một đoạn 8 cm.
a) Độ cứng của lò xo có giá trị là 50 N/m.
b) Độ dài của lò xo khi treo thêm vật có khối lượng 200 g là 40 cm.
c) Độ dài của lò xo khi giảm bớt khối lượng của vật 50 g là 37 cm.
d) Nếu treo vật có khối lượng 700 g, giữ nguyên độ cứng thì lò xo giãn 44 m.
Phần III. Câu trắc nghiệm trả lời ngắn (1,5 điểm)
Thí sinh trả lời từ câu 1 đến câu 6.
Câu 1: Một chất điểm chuyển động tròn đều thực hiện một vòng mất 4s. Lấy Chu kỳ chuyển động của chất điểm bằng bao nhiêu s?
Câu 2. Phải treo một vật có trọng lượng bằng bao nhiêu N vào một lò xo có độ cứng k = 100 N/m để nó dãn ra được 10 cm?
Câu 3. Dùng một lò xo để treo một vật có khối lượng 300 g thì thấy lò xo giãn một đoạn 2 cm. Nếu treo thêm một vật có khối lượng 150 g thì độ giãn của lò xo là bao nhiêu cm?
Câu 4. Một lò xo có một đầu cố định, còn đầu kia chịu một lực kéo bằng 5 N thì lò xo dãn 8 cm. Độ cứng của lò xo theo N/m bằng bao nhiêu?
Dữ liệu cho Câu 5 - 6: Một vật chuyển động theo đường tròn bán kính r = 100 cm với gia tốc hướng tâm aht = 4 cm/s2.
Câu 5. Vật chuyển động với tốc độ bằng bao nhiêu? (Tính theo m/s)
Câu 6. Chu kỳ chuyển động của vật (tính theo s) bằng bao nhiêu?
Dữ liệu cho Câu 7 - 8: Một vật nhỏ khối lượng 250 g chuyển động tròn đều trên quỹ đạo bán kính 1,2 m. Biết trong 1 phút vật quay được 120 vòng.
Câu 7. Vật chuyển động với chu kỳ là bao nhiêu? (tính theo s)
Câu 8. Độ lớn của lực hướng tâm gây ra chuyển động tròn của vật bằng bao nhiêu N?
(Làm tròn đến hàng đơn vị)
Phần IV. Tự luận (3 điểm).
Thí sinh trả lời câu 1 và câu 2.
Câu 1. Hai người cầm hai đầu của một lực kế lò xo và kéo ngược chiều những lực bằng nhau, tổng độ lớn hai lực kéo là 100 N. Lực kế chỉ giá trị là bao nhiêu N?
Câu 2. Một quạt trần quay với tần số 300 vòng/phút. Cánh quạt dài 0,75 m. Tốc độ dài của một điểm ở đầu cánh quạt là bao nhiêu?
................................
................................
................................
Xem thêm đề kiểm tra Vật Lí lớp 10 Cánh diều có đáp án hay khác:
Xem thêm các tài liệu học tốt lớp 10 hay khác:
- Giải sgk Vật lí 10 Cánh diều
- Giải Chuyên đề học tập Vật lí 10 Cánh diều
- Giải SBT Vật lí 10 Cánh diều
- Giải lớp 10 Cánh diều (các môn học)
- Giải lớp 10 Kết nối tri thức (các môn học)
- Giải lớp 10 Chân trời sáng tạo (các môn học)
Tủ sách VIETJACK shopee lớp 10-11 (cả 3 bộ sách):
Đã có app VietJack trên điện thoại, giải bài tập SGK, SBT Soạn văn, Văn mẫu, Thi online, Bài giảng....miễn phí. Tải ngay ứng dụng trên Android và iOS.
Theo dõi chúng tôi miễn phí trên mạng xã hội facebook và youtube:Nếu thấy hay, hãy động viên và chia sẻ nhé! Các bình luận không phù hợp với nội quy bình luận trang web sẽ bị cấm bình luận vĩnh viễn.
- Soạn văn 10 (hay nhất) - Cánh diều
- Soạn văn 10 (ngắn nhất) - Cánh diều
- Soạn văn 10 (siêu ngắn) - Cánh diều
- Giải sgk Toán 10 - Cánh diều
- Giải Tiếng Anh 10 Global Success
- Giải Tiếng Anh 10 Friends Global
- Giải sgk Tiếng Anh 10 iLearn Smart World
- Giải sgk Tiếng Anh 10 Explore New Worlds
- Giải sgk Vật lí 10 - Cánh diều
- Giải sgk Hóa học 10 - Cánh diều
- Giải sgk Sinh học 10 - Cánh diều
- Giải sgk Địa lí 10 - Cánh diều
- Giải sgk Lịch sử 10 - Cánh diều
- Giải sgk Kinh tế và Pháp luật 10 - Cánh diều
- Giải sgk Tin học 10 - Cánh diều
- Giải sgk Công nghệ 10 - Cánh diều
- Giải sgk Hoạt động trải nghiệm 10 - Cánh diều
- Giải sgk Giáo dục quốc phòng 10 - Cánh diều


Giải bài tập SGK & SBT
Tài liệu giáo viên
Sách
Khóa học
Thi online
Hỏi đáp

