Đề kiểm tra Vật Lí 10 Chân trời sáng tạo Chương 4 (có lời giải)
Đề kiểm tra Vật Lí 10 Chân trời sáng tạo Chương 4: Ba định luật Newton. Một số lực trong thực tiễn có đáp án chi tiết đầy đủ các mức độ sẽ giúp học sinh lớp 10 ôn luyện Vật Lí 10.
Đề kiểm tra Vật Lí 10 Chân trời sáng tạo Chương 4 (có lời giải)
Chỉ từ 200k mua trọn bộ Bài tập ôn tập + Đề kiểm tra Vật Lí 10 Chân trời sáng tạo theo chương theo cấu trúc mới bản word có lời giải chi tiết, trình bày đẹp mắt, dễ dàng chỉnh sửa:
- B1: gửi phí vào tk:
1133836868- CT TNHH DAU TU VA DV GD VIETJACK - Ngân hàng MB (QR) - B2: Nhắn tin tới Zalo VietJack Official - nhấn vào đây để thông báo và nhận đề thi
PHẦN I. Câu trắc nhiệm nhiều phương án lựa chọn
Câu 1: Khi một xe đạp đang di chuyển và người lái đột ngột phanh lại, điều gì xảy ra với cơ thể của người lái?
A. Cơ thể sẽ ngả về phía trước.
B. Cơ thể sẽ ngả về phía sau.
C. Cơ thể sẽ ngả sang bên trái.
D. Cơ thể sẽ ngả sang bên phải.
Câu 2: Một chiếc ô tô đang chuyển động thẳng đều với vận tốc 30m/s. Khi tắt động cơ, ô tô tiếp tục chuyển động một đoạn đường 500 m trước khi dừng lại. Hỏi lực ma sát đã tác dụng lên ô tô như thế nào?
A. Lực ma sát luôn đẩy ô tô về phía trước.
B. Lực ma sát làm ô tô dừng lại.
C. Lực ma sát không ảnh hưởng đến chuyển động của ô tô.
D. Lực ma sát chỉ xuất hiện khi ô tô dừng lại.
Câu 3. Nhận định nào sau đây là đúng?
A. Không có lực tác dụng thì vật không thể chuyển động.
B. Một vật bất kì chịu tác dụng của một lực có độ lớn tăng dần thì chuyển động nhanh dần.
C. Một vật có thể chịu tác dụng đồng thời của nhiều lực mà vẫn chuyển động thẳng đều.
D. Không vật nào có thể chuyển động ngược chiều với lực tác dụng lên nó.
Câu 4. Một lực có độ lớn 4 N tác dụng lên vật có khối lượng 0,8 kg đang đứng yên. Bỏ qua ma sát và các lực cản. Gia tốc của vật bằng
A. 32 m/s2.
B. 0,005 m/s2.
C. 3,2 m/s2.
D. 5 m/s2.
Câu 5. Một hợp lực 4N tác dụng vào 1 vật có khối lượng 2kg lúc đầu đứng yên, trong khoảng thời gian 2s. Đoạn đường mà vật đó đi được trong khoảng thời gian đó là
A. 8m.
B. 2m.
C. 1m.
D. 4m.
Câu 6. Một vật khối lượng 5 kg được ném thẳng đứng hướng xuống với vận tốc ban đầu 2 m/s từ độ cao 30 m. Vật này rơi chạm đất sau 3s sau khi ném. Cho biết lực cản không khí tác dụng vào vật không đổi trong quá trình chuyển động. Lấy g = 10 m/s2. Lực cản của không khí tác dụng vào vật có độ lớn bằng
A. 23,35 N.
B. 20 N.
C. 73,34 N.
D. 62,5 N.
Câu 7. Chọn câu đúng. Một trái bóng bàn bay từ xa đến đập vào tường và bật ngược trở lại thì
A. lực của trái bóng tác dụng vào tường nhỏ hơn lực của tường tác dụng vào quả bóng.
B. lực của trái bóng tác dụng vào tường bằng lực của tường tác dụng vào quả bóng.
C. lực của trái bóng tác dụng vào tường lớn hơn lực của tường tác dụng vào quả bóng.
D. không đủ cơ sở để kết luận.
Câu 8. Để xách một túi dựng thức ăn, một người tác dụng vào túi một lực 40 N hướng lên trên. Phản lực của túi tác dụng lên tay người là
A. 50N, hướng lên trên (ngược với chiều người tác dụng).
B. 40N, hướng xuống dưới (ngược với chiều người tác dụng).
C. 50N, hướng xuống dưới (ngược với chiều người tác dụng).
D. 40N, hướng lên trên (cùng với chiều người tác dụng).
Câu 9. Một quả bóng, khối lượng 500 g bay với tốc độ 20 m/s đập vuông góc vào bức tường và bay ngược lại với tốc độ 20 m/s. Thời gian va đập là 0,02 s. Lực do bóng tác dụng vào tường có độ lớn và hướng là
A. 106 N,cùng hướng chuyển động ban đầu của bóng.
B. 1000 N, cùng hướng chuyển động ban đầu của bóng.
C. 106 N, ngược hướng chuyển động ban đầu của bóng.
D. 1000 N, ngược hướng chuyển động ban đầu của bóng.
Câu 10. Khi 1 vật được treo vào sợi dây và ở trạng thái cân bằng thì trọng lực và lực căng dây tác dụng
A. vào vật cân bằng nhau.
B. vào vật không cân bằng nhau và trọng lực lớn hơn lực căng dây.
C. vào vật không cân bằng nhau và trọng lực nhỏ hơn lực căng dây.
D. luôn không cân bằng nhau.
Câu 11. Một vật có khối lượng 2,5kg được treo vào sợi dây và đứng yên. Trọng lượng của vật bằng (lấy g = 9,8m/s2)
A. 2,45N.
B. 3,92N.
C. 24,5N.
D. 25N.
Câu 12. Một chiếc nhẫn đồng chất tiết diện đều như hình vẽ 13. Trọng tâm của chiếc nhẫn nằm tại vị trí
A. vị trí 1.
B. vị trí 2.
C. vị trí 3.
D. vị trí 4.
Câu 13. Một vật khối lượng 0,5 kg nằm trên mặt phẳng nghiêng góc 400. Lấy g = 10 m/s2. Áp lực mà vật tác dụng lên mặt phẳng nghiêng xấp xỉ là
A. N = 3,83 N.
B. Q = 3,83 N.
C. P = 5 N.
D. Py = 3,83 N.
Câu 14. Ghép đúng những lực được mô tả ở cột A với tên gọi tương ứng ở cột B.
Cột A |
Cột B |
|
(1) Lực do chất lỏng tác dụng lên một vật nằm trong lòng chất lỏng đứng yên. |
(a) Trọng lực. |
|
(2) Lực được tạo ra do sự chênh lệch áp suất giữa hai bề mặt ở phía trên và phía dưới cánh máy bay khi máy bay đang bay. |
(b) Lực đẩy Archimedes. |
|
(3) Lực tác dụng lên một quả táo chín rời cành làm nó rơi xuống đất. |
(c) Lực nâng. |
A. (1) – (a), (2) – (b), (3) – (c).
B. (1) – (b), (2) – (c), (3) – (a).
C. (1) – (c), (2) – (a), (3) – (b).
D. (1) – (a), (2) – (c), (3) – (b).
Câu 15. Một quả cầu bằng sắt có thể tích 4 dm3 được nhúng chìm trong nước, biết khối lượng riêng của nước 1000 kg/m3. Lấy g = 10 m/s2 và bỏ qua lực đẩy Archimedes của không khí. Lực đẩy Archimedes tác dụng lên quả cầu có độ lớn là
A. 4000 N.
B. 40000 N.
C. 2500 N.
D. 40 N.
Câu 16. Một vật có dạng hình hộp chữ nhật có kích thước là 2 cm x 3 cm x 5 cm và khối lượng riêng là 550 kg/m3. Thả vật vào chất lỏng có khối lượng riêng là 1360 kg/m3. Chiều cao phần nhô lên khỏi mặt chất lỏng của vật gần nhất với giá trị nào sau đây?
A. 2 cm.
B. 3 cm.
C. 3,5 cm.
D. 2,2 cm.
Câu 17. Khi tăng lực ép của tiếp xúc giữa hai vật thì hệ số ma sát giữa hai mặt tiếp xúc
A. tăng lên.
B. giảm đi.
C. không đổi.
D. tăng rồi giảm.
Câu 18. Một ôtô có khối lượng m = 1 tấn chuyển động trên mặt đường nằm ngang. Hệ số ma sát lăn giữa xe và mặt đường là 0,1. Biết ôtô chuyển động nhanh dần đều với gia tốc a = 2 m/s2. Lực kéo của động cơ ôtô có độ lớn
A. 6000 N.
B. 3000N.
C. 4000 N.
D. 500 N.
PHẦN II. Câu trắc nghiệm đúng sai
Câu 1: Một chiếc xe đạp đang di chuyển trên đường thẳng và bằng phẳng với tốc độ không đổi. Hãy cho biết nhận định nào sau đây là đúng hoặc sai khi xét theo định luật 1 Newton:
Phát biểu |
Đúng |
Sai |
|
a |
Khi người đi xe đạp ngừng đạp, xe sẽ ngay lập tức dừng lại do không còn lực tác dụng lên nó. |
||
b |
Khi người đi xe đạp ngừng đạp, xe sẽ tiếp tục di chuyển thêm một đoạn trước khi dừng lại do quán tính. |
||
c |
Khi xe đạp di chuyển với vận tốc không đổi, lực đẩy của người đi xe và lực cản tác dụng lên xe là cân bằng nhau. |
||
d |
Nếu đường đi lên dốc, xe đạp sẽ tiếp tục di chuyển với vận tốc không đổi mà không cần thêm lực đẩy từ người đi xe. |
Câu 2: Một xe bán tải khối lượng 2,5 tấn đang di chuyển trên cao tốc với tốc độ 90 km/h. Các xe cần giữ khoảng cách an toàn so với xe chạy phía trước 70 m. Khi xe đi trước có sự cố và dừng lại đột ngột. Để dừng lại an toàn, xe bán tải hãm phanh với một lực cản Fc.
Phát biểu |
Đúng |
Sai |
|
a |
Gia tốc tối thiểu của xe bán tải xấp sỉ 5,46m/s2. |
||
b |
Khi xe hãm phanh, lực kéo của động cơ bằng không. |
||
c |
Thời gian tối thiểu để xe bán tải dừng hẳn là 5,6s. |
||
d |
Lực hãm phanh tối thiểu của động cơ là 11160N. |
Câu 3: Một vật nặng nằm yên trên bàn như Hình 10P.1, các lực tác dụng vào vật gồm trọng lực và lực của bàn.
Nội dung |
Đúng |
Sai |
|
a |
Vật chịu tác dụng của 2 lực là trọng lực và phản lực. |
||
b |
Phản lực N và trọng lực P là 2 lực cân bằng |
||
c |
Phản lực N có điểm đặt tại bàn. |
||
d |
Trọng lực P tác dụng vào vật, phản lực N tác dụng vào bàn nên hai lực này không cân bằng. |
Câu 4. Khi nói về trọng lực và trọng lượng của vật, phát biểu nào đúng và phát biểu nào sai?
Nội dung |
Đúng |
Sai |
|
a |
Tại một địa điểm trên Trái Đất, trọng lực tác dụng lên vật không đổi trong các hệ qui chiếu khác nhau. |
||
b |
Trọng lượng của vật có thể lớn hơn hoặc nhỏ hơn trong lực. |
||
c |
Khi vật được thả rơi tự do, trọng lượng của vật bằng 0. |
||
d |
Trong các hệ quy chiếu khác nhau, trọng lượng của vật là như nhau. |
PHẦN III. Câu trắc nghiệm trả lời ngắn
Câu 1: Một xe tải chở hàng có tổng khối lượng xe và hàng là 6 tấn, khởi hành với gia tốc 0,4 m/s2. Khi không chở hàng xe tải khởi hành với gia tốc 0,6 m/s2. Biết rằng lực tác dụng vào ô tô trong hai trường hợp đều bằng nhau. Khối lượng của hàng là bao nhiêu kilogam?
Câu 2: Một xe ô tô khối lượng 600 kg đang chạy với vận tốc 10 m/s thì tài xế cho xe tăng tốc. Sau 20s xe đạt vận tốc 20 m/s. Biết lực ma sát giữa bánh xe và mặt đường là 1500N. Lấy g = 10m/s2. Lực kéo của động cơ trong quá trình ô tô tăng tốc bằng bao nhiêu Niutơn?
Câu 3: Một vật có khối lượng m = 200 g treo vào đầu dưới của sợi dây (như hình vẽ). Gia tốc trọng trường g = 10 m/s2. Khi vật nằm cân bằng thì lực căng dây có độ lớn bao nhiêu Newton?
Câu 4. Lực phát động lớn nhất của một mẫu ô tô đạt được trong điều kiện thử nghiệm là F = 500 N. Cho rằng lực cản không khí Fc tác dụng lên ô tô phụ thuộc vào tốc độ của nó theo biểu thức Fc = 0,2v2 trong đó v là tốc độ tính bằng m/s. Xác định tốc độ khi ổn định của ô tô này trong điều kiện thử nghiệm (theo đơn vị m/s).
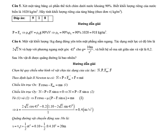
Câu 5. Xét một tảng băng có phần thể tích chìm dưới nước khoảng 90%. Biết khối lượng riêng của nước biển là 1020 kg/m3. Hãy tính khối lượng riêng của tảng băng (theo đơn vị kg/m3).
Câu 6. Một vật khối lượng 1kg đang đứng yên trên mặt phẳng nằm ngang. Tác dụng một lực có độ lớn là N và hợp với phương ngang một góc 450 cho g = và biết hệ số ma sát giữa sàn và vật là 0,2. Sau 10s vật đi được quãng đường là bao nhiêu?
................................
................................
................................
Xem thêm đề kiểm tra Vật Lí lớp 10 Chân trời sáng tạo có đáp án hay khác:
Đề kiểm tra Vật Lí 10 Chân trời sáng tạo Chương 1 (có lời giải)
Đề kiểm tra Vật Lí 10 Chân trời sáng tạo Chương 2 (có lời giải)
Đề kiểm tra Vật Lí 10 Chân trời sáng tạo Chương 3 (có lời giải)
Đề kiểm tra Vật Lí 10 Chân trời sáng tạo Chương 5 (có lời giải)
Đề kiểm tra Vật Lí 10 Chân trời sáng tạo Chương 6 (có lời giải)
Đề kiểm tra Vật Lí 10 Chân trời sáng tạo Chương 7 (có lời giải)
Đề kiểm tra Vật Lí 10 Chân trời sáng tạo Chương 8 (có lời giải)
Đề kiểm tra Vật Lí 10 Chân trời sáng tạo Chương 9 (có lời giải)
Xem thêm các tài liệu học tốt lớp 10 hay khác:
- Giải sgk Vật lí 10 Chân trời sáng tạo
- Giải Chuyên đề học tập Vật lí 10 Chân trời sáng tạo
- Giải SBT Vật lí 10 Chân trời sáng tạo
- Giải lớp 10 Chân trời sáng tạo (các môn học)
- Giải lớp 10 Kết nối tri thức (các môn học)
- Giải lớp 10 Cánh diều (các môn học)
Tủ sách VIETJACK shopee lớp 10-11 (cả 3 bộ sách):
Đã có app VietJack trên điện thoại, giải bài tập SGK, SBT Soạn văn, Văn mẫu, Thi online, Bài giảng....miễn phí. Tải ngay ứng dụng trên Android và iOS.
Theo dõi chúng tôi miễn phí trên mạng xã hội facebook và youtube:Nếu thấy hay, hãy động viên và chia sẻ nhé! Các bình luận không phù hợp với nội quy bình luận trang web sẽ bị cấm bình luận vĩnh viễn.
- Soạn văn 10 (hay nhất) - CTST
- Soạn văn 10 (ngắn nhất) - CTST
- Soạn văn 10 (siêu ngắn) - CTST
- Giải Toán 10 - CTST
- Giải Tiếng Anh 10 Global Success
- Giải Tiếng Anh 10 Friends Global
- Giải sgk Tiếng Anh 10 iLearn Smart World
- Giải sgk Tiếng Anh 10 Explore New Worlds
- Giải sgk Vật lí 10 - CTST
- Giải sgk Hóa học 10 - CTST
- Giải sgk Sinh học 10 - CTST
- Giải sgk Địa lí 10 - CTST
- Giải sgk Lịch sử 10 - CTST
- Giải sgk Kinh tế và Pháp luật 10 - CTST
- Giải sgk Hoạt động trải nghiệm 10 - CTST


Giải bài tập SGK & SBT
Tài liệu giáo viên
Sách
Khóa học
Thi online
Hỏi đáp

