Đề kiểm tra Vật Lí 11 Kết nối tri thức Chương 2 (có lời giải)
Đề kiểm tra Vật Lí 11 Kết nối tri thức Chương 2: Sóng có đáp án chi tiết đầy đủ các mức độ sẽ giúp học sinh lớp 11 ôn luyện Vật Lí 11.
Đề kiểm tra Vật Lí 11 Kết nối tri thức Chương 2 (có lời giải)
Chỉ từ 200k mua trọn bộ Bài tập ôn tập + Đề kiểm tra Vật Lí 11 Kết nối tri thức theo chương theo cấu trúc mới bản word có lời giải chi tiết, trình bày đẹp mắt, dễ dàng chỉnh sửa:
- B1: gửi phí vào tk:
1133836868- CT TNHH DAU TU VA DV GD VIETJACK - Ngân hàng MB (QR) - B2: Nhắn tin tới Zalo VietJack Official - nhấn vào đây để thông báo và nhận đề thi
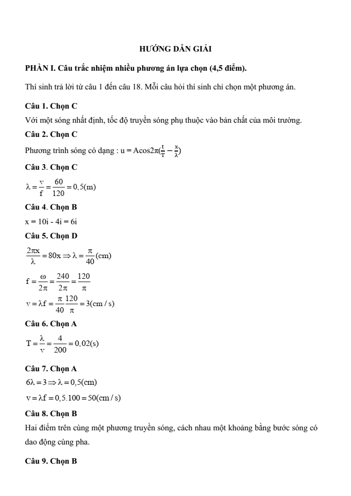
PHẦN I. Câu trắc nhiệm nhiều phương án lựa chọn (4,5 điểm).
Thí sinh trả lời từ câu 1 đến câu 18. Mỗi câu hỏi thí sinh chỉ chọn một phương án.
Câu 1. Với một sóng nhất định, tốc độ truyền sóng phụ thuộc vào
A. năng lượng sóng.
B. tần số dao động.
C. môi trường truyền sóng.
D. bước sóng.
Câu 2. Phương trình sóng có dạng nào trong các dạng dưới đây?
A. x = Acos().
B. u = Acos().
C.
D. u = Acos().
Câu 3. Một sóng có tần số 120 Hz truyền trong một môi trường với tốc độ 60 m/s. Bước sóng của nó là
A. 1,0 m.
B. 2,0 m.
C. 0,5 m.
D. 0,25 m.
Câu 4. Khoảng cách từ vân sáng bậc 4 đến vân sáng bậc 10 ở cùng một bên vân sáng chính giữa là
A. 6,5 khoảng vân.
B. 6 khoảng vân.
C. 10 khoảng vân.
D. 4 khoảng vân.
Câu 5. Xét một sóng truyền dọc theo trục Ox với phương trình u = 4cos (240t - 80x) (cm) (x được tính bằng cm, t được tính bằng s). Tốc độ truyền của sóng này bằng
A. 6 cm/s.
B. 4,0 cm/s.
C. 0,33 m/s.
D. 3,0 cm/s.
Câu 6. Một sóng lan truyền với tốc độ v = 200 m/s có bước sóng λ = 4 m. Chu kì dao động của sóng là
A. T= 0,02 s.
B. T = 50 s.
C. T = 1,25 s.
D. T = 0,2 s.
Câu 7. Một điểm A trên mặt nước dao động với tần số 100 Hz. Trên mặt nước người ta đo được khoảng cách giữa 7 gợn lồi liên tiếp là 3 cm. Khi đó tốc độ truyền sóng trên mặt nước là
A. v = 50 cm/s.
B. v = 50 m/s.
C. v = 5 cm/s.
D. v = 0,5 cm/s.
Câu 8. Một sóng cơ lan truyền trong một môi trường. Hai điểm trên cùng một phương truyền sóng, cách nhau một khoảng bằng bước sóng có dao động
A. ngược pha.
B. cùng pha.
C. lệch pha
D. lệch pha
Câu 9. Một sóng cơ có chu kì 2 s truyền với tốc độ 1 m/s. Khoảng cách giữa 2 điểm gần nhau nhất trên một phương truyền mà tại đó các phần tử môi trường dao động ngược pha là
A. 0,5 m.
B. 1,0 m.
C. 2,0 m.
D. 2,5 m.
Câu 10. Một sóng cơ có chu kì 2 s truyền với tốc độ 1 m/s. Khoảng cách giữa hai điểm gần nhau nhất trên một phương truyền mà tại đó các phần tử môi trường dao động cùng pha nhau là
A. 0,5 m.
B. 1,0 m.
C. 2,0 m.
D. 2,5 m.
Câu 11. Đầu A của một dây đàn hồi nằm ngang dao động theo phương thẳng đứng với chu kỳ 10 s. Biết vận tốc truyền sóng trên dây v = 0,2 m/s, khoảng cách giữa hai điểm gần nhau nhất dao động vuông pha là
A. 1 m.
B. 1,5 m.
C. 2 m.
D. 0,5 m.
Câu 12. Một sóng ngang truyền trên sợi dây rất dài với phương trình sóng u = u0cos(20πt – πx/10). Trong đó x tính bằng cm, t tính bằng giây. Tốc độ truyền sóng bằng
A. 2 m/s.
B. 4 m/s.
C. 1 m/s.
D. 3 m/s.
Câu 13. Hai nguồn sóng giống nhau tại A và B cách nhau 47 cm trên mặt nước, chỉ xét riêng một nguồn thì nó lan truyền trên mặt nước mà khoảng cách giữa hai ngọn sóng liên tiếp là 3 cm, khi hai sóng trên giao thoa nhau thì trên đoạn AB có số điểm không dao động là
A. 32.
B. 30.
C. 16.
D. 15.
Câu 14. Hai nguồn sóng kết hợp A và B dao động ngược pha với tần số ƒ = 40 Hz, tốc độ truyền sóng v = 60 cm/s. Khoảng cách giữa hai nguồn sóng là 7 cm. Số điểm dao động với biên độ cực đại giữa A và B là
A. 7.
B. 8.
C. 10.
D. 9.
Câu 15. Hiện tượng giao thoa ánh sáng chỉ quan sát được khi hai nguồn ánh sáng là hai nguồn
A. đơn sắc.
B. cùng màu sắc.
C. kết hợp.
D. cùng cường độ sáng.
Câu 16. Để 2 sóng kết hợp cùng pha tăng cường lẫn nhau khi giao thoa thì hiệu đường đi của chúng bằng
A. (k - )𝜆.
B. 0.
C. (k + )𝜆.
D. k𝜆.
Câu 17. Trong một thí nghiệm về giao thoa ánh sáng, tại điểm M có vân tối khi hiệu số pha của hai sóng ánh sáng từ hai nguồn kết hợp đến M bằng
A. số chẵn lần π/2.
B. số lẻ lần π/2.
C. số chẵn lần π.
D. số lẻ lần π.
Câu 18. Trong thí nghiệm Y-âng về giao thoa ánh sáng, giữa hai điểm P và Q trên màn cách nhau 9 mm chỉ có 5 vân sáng mà tại P là một trong 5 vân sáng đó, còn tại Q là vị trí của vân tối. Vị trí vân tối thứ 2 cách vân trung tâm một khoảng là
A. 0,5.10-3 m.
B. 5.10-3 m.
C. 3.10-3 m.
D. 0,3.10-3 m.
Phần II. Câu trắc nghiệm đúng sai (4 điểm).
Thí sinh trả lời từ câu 1 đến câu 4. Trong mỗi ý a), b), c), d) ở mỗi câu, thí sinh chọn đúng hoặc sai.
Câu 1. Một sóng ngang truyền từ M đến O rồi đến N trên cùng một phương truyền sóng với vận tốc 18 m/s. Biết MN = 3 m và MO = ON, phương trình sóng tại O là
|
Phát biểu |
Đúng |
Sai |
|
|
a |
Tần số của sóng là 2 Hz. |
||
|
b |
Biên độ của sóng là 5 cm. |
||
|
c |
Bước sóng là 10 m. |
||
|
d |
Phương trình sóng tại M là |
Câu 2. Một sợi dây AB dài 100 cm căng ngang đầu B cố định đầu A gắn với một nhánh của âm thoa dao động điều hòa với tần số 20 Hz. Trên dây AB có một sóng dừng ổn định, A được coi là nút sóng. Tốc độ truyền sóng trên dây là 20 m/s. Kể cả A và B
|
Phát biểu |
Đúng |
Sai |
|
|
a |
Chu kì của sóng là 0,05 s. |
||
|
b |
Sóng có bước sóng là 1 cm. |
||
|
c |
Kể cả A và B có 5 nút |
||
|
d |
Kể cả A và B có 2 bụng |
Câu 3. Trong thí nghiệm sóng dừng trên dây mềm có hai đầu cố định, người ta thấy có 5 bụng sóng xuất hiện khi tần số dao động của dây là 50 Hz. Biết tốc độ truyền sóng trên dây là 16 m/s. Chiều dài sợi dây có giá trị
|
Phát biểu |
Đúng |
Sai |
|
|
a |
Chu kì dao động của sợi dây là 0,02 s. |
||
|
b |
Bước sóng là 800 cm. |
||
|
c |
Ta thấy trên sợi dây có 5 nút sóng. |
||
|
d |
Chiều dài sợi dây là 0,8 m. |
Câu 4. Một chiếc lá trên mặt nước nhô lên 9 lần trong khoảng thời gian 2 s. Biết khoảng cách giữa hai đỉnh sóng liên tiếp nhau là 24 cm.
|
Phát biểu |
Đúng |
Sai |
|
|
a |
Chu kì của sóng là 4,5 s. |
||
|
b |
Bước sóng là 24 cm. |
||
|
c |
Tần số của sóng là 4,5 Hz |
||
|
d |
Tốc độ truyền sóng nước là 108 cm/s. |
Phần III. Câu trắc nghiệm trả lời ngắn (1,5 điểm). Thí sinh trả lời từ câu 1 đến câu 6.
Dữ liệu cho Câu 1 - 2: Một sợi dây đàn hồi AB được căng theo phương ngang, đầu A cố định, đầu B được rung nhờ một dụng cụ để tạo thành sóng dừng trên dây. Biết tần số rung là 100 Hz và khoảng cách giữa 5 nút sóng liên tiếp là 1 m.
Câu 1. Bước sóng là bao nhiêu? (tính theo m)
Câu 2. Tốc độ sóng trên dây bằng bao nhiêu? (tính theo mét/giây)
Dữ liệu cho Câu 3 - 4: Tại điểm O trên mặt nước yên tĩnh, có một nguồn sóng dao động điều hòa theo phương thẳng đứng với chu kỳ T = 0,5 s. Từ O có những gợn sóng tròn lan truyền ra xung quanh. Khoảng cách giữa hai gợn sóng liên tiếp là 20 cm.
Câu 3. Xác định bước sóng ? (tính theo mét)
Câu 4.Tốc độ truyền sóng trên mặt nước bằng bao nhiêu? (tính theo mét/giây)
Dữ liệu cho Câu 5- 6. Ở mặt chất lỏng có hai nguồn sóng A, B cách nhau 20 cm, dao động theo phương thẳng đứng với phương trình là uA = uB = 2cos50t (cm); (t tính bằng s). Tốc độ truyền sóng trên mặt chất lỏng là 1,5 m/s. Trên đoạn thẳng AB
Câu 5. Số điểm có biên độ dao động cực đại là bao nhiêu?
Câu 6. Số điểm có biên độ dao động đứng yên là bao nhiêu?
................................
................................
................................
Xem thêm đề kiểm tra Vật Lí lớp 11 Kết nối tri thức có đáp án hay khác:
Đề kiểm tra Vật Lí 11 Kết nối tri thức Chương 1 (có lời giải)
Đề kiểm tra Vật Lí 11 Kết nối tri thức Chương 3 (có lời giải)
Đề kiểm tra Vật Lí 11 Kết nối tri thức Chương 4 (có lời giải)
Xem thêm các tài liệu học tốt lớp 11 hay khác:
- Giải sgk Vật Lí 11 Kết nối tri thức
- Giải Chuyên đề Vật Lí 11 Kết nối tri thức
- Giải SBT Vật Lí 11 Kết nối tri thức
- Giải lớp 11 Kết nối tri thức (các môn học)
- Giải lớp 11 Chân trời sáng tạo (các môn học)
- Giải lớp 11 Cánh diều (các môn học)
Tủ sách VIETJACK shopee lớp 10-11 (cả 3 bộ sách):
Đã có app VietJack trên điện thoại, giải bài tập SGK, SBT Soạn văn, Văn mẫu, Thi online, Bài giảng....miễn phí. Tải ngay ứng dụng trên Android và iOS.
Theo dõi chúng tôi miễn phí trên mạng xã hội facebook và youtube:Nếu thấy hay, hãy động viên và chia sẻ nhé! Các bình luận không phù hợp với nội quy bình luận trang web sẽ bị cấm bình luận vĩnh viễn.
- Soạn văn 11 (hay nhất) - KNTT
- Soạn văn 11 (ngắn nhất) - KNTT
- Giải sgk Toán 11 - KNTT
- Giải Tiếng Anh 11 Global Success
- Giải sgk Tiếng Anh 11 Smart World
- Giải sgk Tiếng Anh 11 Friends Global
- Giải sgk Vật Lí 11 - KNTT
- Giải sgk Hóa học 11 - KNTT
- Giải sgk Sinh học 11 - KNTT
- Giải sgk Lịch Sử 11 - KNTT
- Giải sgk Địa Lí 11 - KNTT
- Giải sgk Giáo dục KTPL 11 - KNTT
- Giải sgk Tin học 11 - KNTT
- Giải sgk Công nghệ 11 - KNTT
- Giải sgk Hoạt động trải nghiệm 11 - KNTT
- Giải sgk Giáo dục quốc phòng 11 - KNTT
- Giải sgk Âm nhạc 11 - KNTT


Giải bài tập SGK & SBT
Tài liệu giáo viên
Sách
Khóa học
Thi online
Hỏi đáp

