Đề kiểm tra Vật Lí 12 Cánh diều Chủ đề 2 (có lời giải)
Đề kiểm tra Vật Lí 12 Cánh diều Chủ đề 2: Khí lí tưởng có đáp án chi tiết đầy đủ các mức độ sẽ giúp học sinh lớp 12 ôn luyện Vật Lí 12.
Đề kiểm tra Vật Lí 12 Cánh diều Chủ đề 2 (có lời giải)
Chỉ từ 200k mua trọn bộ Bài tập ôn tập + Đề kiểm tra Vật Lí 12 Cánh diều theo chương theo cấu trúc mới bản word có lời giải chi tiết, trình bày đẹp mắt, dễ dàng chỉnh sửa:
- B1: gửi phí vào tk:
1133836868- CT TNHH DAU TU VA DV GD VIETJACK - Ngân hàng MB (QR) - B2: Nhắn tin tới Zalo VietJack Official - nhấn vào đây để thông báo và nhận đề thi
1. Câu trắc nhiệm nhiều phương án lựa chọn (4,5 điểm)
Thí sinh trả lời từ câu 1 đến câu 18. Mỗi câuhỏi thí sinh chỉ chọn một phương án.
(Mỗi câu trả lời đúng thí sinh được 0,25 điểm)
Câu 1: Đẳng quá trình là
A. quá trình chỉ có một thông số biến đổi còn hai thông số không đổi.
B. quá trình cả ba thông số đều thay đổi.
C. quá trình chỉ có hai thông số biến đổi còn một thông số không đổi.
D. quá trình cả ba thông số đều không đổi.
Câu 2: Phát biểu đúng khi nói về nội dung định luật Charles là
A.áp suất của một khối lượng khí xác định giữ không đổi thì thể tích của khí tỉ lệ thuận với nhiệt độ tuyệt đối của nó.
B.áp suất của một khối lượng khí thay đổi thì thể tích của khí tỉ lệ nghịch với nhiệt độ tuyệt đối của nó.
C.áp suất của một khối lượng khí thay đổi thì thể tích của khí tỉ lệ thuận với nhiệt độ tuyệt đối của nó.
D. áp suất của một khối lượng khí xác định giữ không đổi thì thể tích của khí tỉ lệ nghịch với nhiệt độ tuyệt đối của nó.
Câu 3: Áp suất khí không phụ thuộc vào đại lượng
A. khối lượng phân tử.
B. tốc độ chuyển động của phân tử.
C. kích thước phân tử.
D. lực liên kết phân tử.
Câu 4: Phương trình trạng thái của khí lí tưởng không được ứng dụng trong trường hợp
A. nghiên cứu sự thay đổi áp suất và thể tích của các lớp khí tồn tại trong các vật liệu.
B. nghiên cứu, chế tạo các thiết bị liên quan đến chất khí.
C. nghiên cứu sự thay đổi khối lượng của không khí trong khí quyển.
D. nghiên cứu sự thay đổi khối lượng riêng của không khí trong khí quyển.
Câu 5: Động năng trung bình của phân tử được xác định bằng hệ thức:
A.
B.
C.
D.
Câu 6: Biểu thức của định luật Boyle là
A.
B.
C.
D.
Câu 7: Hai quá trình biến đổi khí liên tiếp được cho trên hình vẽ. Mô tả đúng về 2 quá trình đó là nung nóng
A. đẳng tích sau đó dãn đẳng áp.
B. đẳng áp sau đó dãn đẳng nhiệt
C. đẳng áp sau đó nén đẳng nhiệt
D. đẳng tích sau đó nén đẳng áp
Câu 8: Hiện tượng liên quan đến quá trình đẳng tích là hiện tượng
A. đun nóng khí trong 1 xilanh hở.
B. thổi không khí vào 1 quả bóng bay.
C. đun nóng khí trong 1 xilanh kín.
D. Quả bóng bàn bị bẹp nhúng vào nước nóng, phồng lên như cũ.
Câu 9: Công thức không phù hợp với phương trình trạng thái của khí lí tưởng là
A.
B.
C.
D.
Câu 10: Khi giãn nở khí đẳng nhiệt thì
A.áp suất khí tăng lên.
B. số phân tử khí trong một đơn vị thể tích tăng.
C. khối lượng riêng của khí tăng lên.
D.số phân tử khí trong một đơn vị thể tích giảm.
Câu 11: Hệ quả không đúng khi nói về mối quan hệ giữa động năng phân tử và nhiệt độ là
A. các phân tử chuyển động hỗn loạn nên tốc độ của các phân tử bằng nhau.
B. động năng trung bình của phân tử khí càng lớn thì nhiệt độ của khí càng cao.
C. người ta coi nhiệt độ tuyệt đối là số đo động năng trung bình của phân tử theo một đơn vị khác.
D. các khí có bản chất khác nhau, khối lượng khác nhau nhưng nhiệt độ như nhau thì động năng trung bình của các phân tử bằng nhau.
Câu 12: Cả 3 thông số trạng thái của 1 lượng khí xác định đều thay đổi trong hiện tượng
A. không khí trong 1 quả bóng bàn bị 1 học sinh dùng tay bóp bẹp.
B. không khí bị nung nóng trong 1 bình đậy kín.
C. không khí trong lốp xe đạp khi người đi xe ấn vào lốp.
D. không khí trong xi lanh được nung nóng, dãn nở và đầy pitong chuyển động.
Câu 13: Đại lượng không phải thông số trạng thái của một khối khí là
A. áp suất
B. thể tích
C. nhiệt độ.
D. khối lượng
Câu 14: Đồ thị biểu diễn hai đường đẳng nhiệt của cùng một lượng khí lí tưởng biểu diễn như hình vẽ. Mối quan hệ về nhiệt độ của hai đường đẳng nhiệt này là
A. T2 = T1
B. T2 < T1
C. T2 > T1
D. T2 ≤ T1
Câu 15: Ở 27°C thì thể tích của một lượng khí là 3 ℓ. Thể tích của lượng khí đó ở nhiệt độ 127° C khi áp suất không đổi là
A. 1,25 (ℓ)
B. 3,5 (ℓ)
C. 4 (ℓ)
D. 5,7 (ℓ)
Câu 16: Cho một chiếc bình kín có thể tích không đổi. Khi đun nóng khí trong bình kín thêm 1°C thì áp suất khí tăng thêm 1/360 áp suất ban đầu. Xác định nhiệt độ ban đầu của khí?
A. 93°C.
B. 87°C.
C. 96K.
D. 112K.
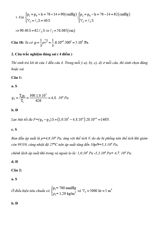
Câu 17: Trong một ống nhỏ dài, một đầu kín, một đầu hở, tiết diện đều, ban đầu đặt ống thẳng đứng miệng ống hướng lên, trong ống về phía đáy có cột không khí dài 40cm và được ngăn cách với bên ngoài bằng cột thủy ngân dài h = 14cm. Áp suất khí quyển 76cmHg và nhiệt độ không đổi. Tính chiều cao của cột không khí trong ống của các trường hợp.Ống thẳng đứng miệng ở dưới
A. 49,544 cm.
B. 25,721 cm.
C. 58,065cm.
D. 78,653 cm.
Câu 18: Khối lượng riêng của một chất khí bằng 6. 10-2 kg/m3, vận tốc căn quân phương của chúng là 500 m/s. Áp suất mà khí đó tác dụng lên thành bình là
A. 12 Pa.
B. 5.104 Pa.
C. 12 N/m2.
D. 103 Pa.
2. Câu trắc nghiệm đúng sai (4 điểm)
Thí sinh trả lời từ câu 1 đến câu 4. Trong mỗi ý a), b), c), d) ở mỗi câu, thí sinh chọn đúng hoặc sai
Câu 1: Một lọ giác hơi (được cơ sở điều trị bằng phương pháp cổ truyền sử dụng)
do chênh lệch áp suất trong và ngoài lọ nên dính vào bề mặt da lưng của người bệnh, điều này được tạo ra bằng cách ban đầu lọ được hơ nóng bên trong và nhanh chóng úp miệng hở của lọ vào vùng da cần tác động. Tại thời điểm áp vào da, không khí trong lọ được làm nóng đến nhiệt độ t = 353 °C và nhiệt độ của không khí môi trường xung quanh là t0= 27,0 °C. Áp suất khí quyển p0 = 1,0.105 Pa. Diện tích phần miệng hở của lọ là S=28,0cm2. Bỏ qua sự thay đổi thể tích không khí trong bình (do sự phồng của bề mặt phần da bên trong miệng hở của lọ).
a. Áp suất khí trong lọ được áp vào da, khi có nhiệt độ bằng nhiệt độ của môi trường là 4,2.104 Pa.
b. Lực hút tối đa lên mặt da là 146 N.
c. Thực tế, do bề mặt da bị phồng lên bên trong miệng của lọ nên thể tích khí trong lọ bị giảm 10%. Chênh lệch áp suất khí trong lọ và ngoài lọ là 3,9. 104 Pa.
d. Chênh lệch áp suất trong và ngoài lọ giác hơi tạo lực hút làm máu dưới da tăng cường đến nơi miệng lọ giác hơi bám vào, từ đó tạo ra tác dụng lưu thông khí huyết, kích thích hệ thống miễn dịch giúp cơ thể đối phó với vi khuẩn, virus.
Câu 2: Trong một nhà máy điều chế khí oxi và chiết sang các bình , người ta bơm khí oxi ở điều kiện chuẩn vào một bình có thể tích 5000 lít. Sau 30 phút thì bình chứa đầy khí ở nhiệt độ 24°C và áp suất 765 mmHg. Coi quá trình bơm diễn ra một cách đều đặn.
a. Ở điều kiện tiêu chuẩn ta có áp suất 760mmHg và thể tích là
b. Khối lượng riêng của bình sau khi bơm được xác định bởi biểu thức
c. Khối lượng khí bơm vào bình sau nửa giờ vào bình là 4,96779kg
d. Khối lượng khí bơm vào bình sau mỗi giây vào bình là
Câu 3: Cho đồ thị sau biểu diễn chu trình biến đổi trạng thái của khối khí lý tưởng:
a. Trong chu trình, có một quá trình biến đổi đẳng nhiệt.
b. Từ 1 đến 2 có quá trình biến đổi đẳng áp, V tăng, T tăng
c. Đồ thị được vẽ lại trong hệ(V,T)
d. Vẽ đồ thị các quá trình liên tục từ 1-2-3-4-1 trong hệ trục p,T thì đồ thị mới sẽ có dạng một hình chữ nhật.
Câu 4: Một chiếc xe tải vượt qua sa mạc Sahara. Chuyến đi bắt đầu vào sáng sớm khi nhiệt độ là 3,0°C. Thể tích khí chứa trong mỗi lốp xe là 1,50 m³ và áp suất trong các lốp xe là 3,42. 105 Pa. Coi khí trong lốp xe có nhiệt độ như ngoài trời, không thoát ra ngoài và thể tích lốp không thay đổi. Đến giữa trưa, nhiệt độ tăng lên đến 42°C.
a. Các phân tử khí trong lốp xe chuyển động liên tục và va chạm với thành lốp xe gây ra áp suất lên thành lốp.
b. Sáng sớm, trong mỗi lốp xe có 194 mol khí.
c. Khi đến giữa trưa, áp suất trong lốp là 4,2.105 Pa.
d. Từ sáng sớm cho đến giữa trưa, độ tăng động năng tịnh tiến trung bình của một phân tử không khí là 7,3.10-21 J.
3. Câu trắc nghiệm trả lời ngắn (1,5 điểm)
Thí sinh trả lời từ câu 1 đến câu 6. Mỗi câu trả lời đúng thí sinh được 0,25 điểm
Câu 1: Quả bóng có dung tích 2 lít bị xẹp. Dùng ống bơm mỗi lần đẩy được 40cm3 không khí ở áp suất 1 atm vào quả bóng. Sau 40 lần bơm, áp suất khí trong quả bóng là bao nhiêu atm? Coi nhiệt độ không đổi trong quá trình bơm.
Câu 2: Tính khối lượng riêng của không khí ở đỉnh Phan−xi−păng trong dãy Hoàng Liên Sơn cao 3140m biết mỗi khi lên cao thêm 10m, áp suất khí quyển giảm 1 mmHg và nhiệt độ trên đỉnh núi là 20C. Khối lượng riêng của không khí chuẩn là 1,29kg/m3.
Câu 3: Có 12g khí chiếm thể tích 4 lít ở 7°C. Sau khi nung nóng đẳng áp khối lượng riêng của khí là l,2g/l. Tìm nhiệt độ khí sau khi nung theo đơn vị 0C.
Câu 4: Biết khối lượng mol của không khí là 29 gam/mol. Vận tốc căn quân phương của các phân tử không khí ở nhiệt độ 17°C xấp xỉ bằng bao nhiêu m/s? (Kết quả làm tròn đến hàng đơn vị).
Câu 5: Nhiệt độ của một khối khí là 3865K thì động năng tịnh tiến trung bình của các phân tử khí đó bằng bao nhiêu eV? Biết 1 eV = 1,6.10-19 J.
Câu 6: Một bọt khí khi nổi lên từ một đáy hồ có độ lớn gấp 1,2 lần khi đến mặt nước. Tính độ sâu của đáy hồ theo đơn vị met biết trọng lượng riêng của nước là: d = 104 N/m2, áp suất khí quyển là 105 N/m2.
................................
................................
................................
Xem thêm đề kiểm tra Vật Lí lớp 12 Cánh diều có đáp án hay khác:
Xem thêm các tài liệu học tốt lớp 12 hay khác:
- Giải sgk Vật Lí 12 Cánh diều
- Giải Chuyên đề Vật Lí 12 Cánh diều
- Giải SBT Vật Lí 12 Cánh diều
- Giải lớp 12 Cánh diều (các môn học)
- Giải lớp 12 Kết nối tri thức (các môn học)
- Giải lớp 12 Chân trời sáng tạo (các môn học)
Đã có app VietJack trên điện thoại, giải bài tập SGK, SBT Soạn văn, Văn mẫu, Thi online, Bài giảng....miễn phí. Tải ngay ứng dụng trên Android và iOS.
Theo dõi chúng tôi miễn phí trên mạng xã hội facebook và youtube:Nếu thấy hay, hãy động viên và chia sẻ nhé! Các bình luận không phù hợp với nội quy bình luận trang web sẽ bị cấm bình luận vĩnh viễn.
- Soạn văn 12 Cánh diều (hay nhất)
- Soạn văn 12 Cánh diều (ngắn nhất)
- Giải sgk Toán 12 Cánh diều
- Giải Tiếng Anh 12 Global Success
- Giải sgk Tiếng Anh 12 Smart World
- Giải sgk Tiếng Anh 12 Friends Global
- Giải sgk Vật Lí 12 - Cánh diều
- Giải sgk Hóa học 12 - Cánh diều
- Giải sgk Sinh học 12 - Cánh diều
- Giải sgk Lịch Sử 12 - Cánh diều
- Giải sgk Địa Lí 12 - Cánh diều
- Giải sgk Giáo dục KTPL 12 - Cánh diều
- Giải sgk Tin học 12 - Cánh diều
- Giải sgk Công nghệ 12 - Cánh diều
- Giải sgk Hoạt động trải nghiệm 12 - Cánh diều
- Giải sgk Giáo dục quốc phòng 12 - Cánh diều
- Giải sgk Âm nhạc 12 - Cánh diều


Giải bài tập SGK & SBT
Tài liệu giáo viên
Sách
Khóa học
Thi online
Hỏi đáp

