100 câu trắc nghiệm Động học chất điểm có lời giải (cơ bản - phần 2)
Với 100 câu trắc nghiệm Động học chất điểm (cơ bản - phần 2) có lời giải chi tiết sẽ giúp học sinh ôn tập, biết cách làm câu trắc nghiệm Động học chất điểm (cơ bản - phần 2)
100 câu trắc nghiệm Động học chất điểm có lời giải (cơ bản - phần 2)
(199k) Học Vật Lí 10 KNTTHọc Vật Lí 10 CDHọc Vật Lí 10 CTST
Bài 1: Tại cùng một vị trí xác định trên mặt đất và ở cùng độ cao thì:
A. Hai vật rơi với cùng vận tốc.
B. Vận tốc của vật nặng lớn hơn vận tốc của vật nhẹ.
C. Vận tốc của vật nặng nhỏ hơn vận tốc của vật nhẹ.
D. Vận tốc của hai vật không đổi.
Lời giải:
Đáp án: A.
HD Giải: Công thức của sự rơi tự do:
Nếu cùng độ cao, cùng vị trí thì s1 = s2, g không thay đổi nên t1 = t2 → v1 = v2.
Bài 2: Câu nào đúng?
A. Tốc độ dài của chuyển động tròn đều phụ thuộc vào bánh kính quỹ đạo.
B. Tốc độ góc của chuyển động tròn đều phụ thuộc vào bán kính quỹ đạo.
C. Với v và ω cho trước, gia tốc hướng tâm phụ thuộc vào bán kính quỹ đạo.
D. Với v và ω cho trước, gia tốc hướng tâm không phụ thuộc vào bán kính quỹ đạo.
Lời giải:
Đáp án: C.
HD Giải: Gia tốc trong chuyển động tròn đều luôn hướng vào tâm quỹ đạo nên gọi là gia tốc hướng tâm; có độ lớn là:
→ Với v và ω cho trước, gia tốc hướng tâm phụ thuộc vào bán kính quỹ đạo.
Bài 3: Chọn câu đúng.
A. Trong các chuyển động tròn đều có cùng bán kính, chuyển động nào có chu kỳ quay lớn hơn thì có vận tốc dài lớn hơn.
B. Trong chuyển động tròn đều, chuyển động nào có chu kỳ quay nhỏ hơn thì có vận tốc góc nhỏ hơn.
C. Trong các chuyển động tròn đều, chuyển động nào có tần số lớn hơn thì có chu kỳ nhỏ hơn.
D. Trong các chuyển động tròn đều, với cùng chu kỳ, chuyển động nào có bán kính nhỏ hơn thì có vận tốc góc nhỏ hơn.
Lời giải:
Đáp án: C.
HD Giải: Chu kỳ T của chuyển động tròn đều là thời gian để vật đi được một vòng: T = 2π/ω. Đơn vị của chu kỳ là giây (s).
Tần số f của chuyển động tròn đều là số vòng mà vật đi được trong 1 giây: f = 1/T
→ Chuyển động nào có tần số lớn hơn thì có chu kỳ nhỏ hơn.
Bài 4: Tại sao trạng thái đứng yên hay chuyển động của một vật có tính tương đối?
A. Vì trạng thái của vật được quan sát ở các thời điểm khác nhau.
B. Vì trạng thái của vật được xác định bởi những người quan sát khác nhau bên lề đường.
C. Vì trạng thái của vật không ổn định: Lúc đứng yên, lúc chuyển động.
D. Vì trạng thái của vật được quan sát trong các hệ quy chiếu khác nhau.
Lời giải:
Đáp án: D.
HD Giải: Tính tương đối của chuyển động: Quỹ đạo và vận tốc của cùng một vật chuyển động đối với các hệ quy chiếu khác nhau thì khác nhau.
Bài 5: Chuyển động nào dưới đây không phải là chuyển động thẳng biến đổi đều?
A. Một viên bi lăn trên máng nghiêng.
B. một vật rơi từ trên cao xuống dưới đất.
C. Một hòn đá được ném theo phương ngang.
D. Một hòn đá được ném lên cao theo phương thẳng đứng.
Lời giải:
Đáp án: C.
HD Giải: Chuyển động thẳng nhanh (chậm) dần đều là chuyển động thẳng có độ lớn của vận tốc tăng (giảm) đều theo thời gian → gia tốc a không đổi theo thời gian.
Một hòn đá được ném theo phương ngang có quỹ đạo là cung cong Parabol.
Bài 6: Trong công thức liên hệ giữa quãng đường đi được, vận tốc và gia tốc của chuyển động thẳng nhanh dần đều (v2 – v02 = 2as) ta có các điều kiện nào dưới đây?
A. s > 0; a > 0; v > v0.
B. s > 0; a < 0; v < v0.
C. s > 0; a > 0; v < v0.
D. s > 0; a < 0; v > v0.
Lời giải:
Đáp án: A.
HD Giải: Vì vật chuyển động thẳng nhanh dần đều nên a và v luôn cùng dấu.
Quãng đường đi của vật luôn dương nên s > 0, a > 0 và v > v0.
Bài 7: Đặc điểm nào dưới đây không phải là đặc điểm của chuyển động rơi tự do của các vật?
A. Chuyển động theo phương thẳng đứng, chiều từ trên xuống.
B. Chuyển động thẳng, nhanh dần đều.
C. Tại một nơi và ở gần mặt đất, mọi vật rơi tự do như nhau.
D. Lúc t = 0 thì v ≠ 0.
Lời giải:
Đáp án: D.
HD Giải: Tùy vào cách chọn gốc thời gian mà vận tốc tại t = 0 có thể bằng 0 hoặc khác 0.
Bài 8: Gia tốc của chuyển động thẳng nhanh dần đều:
A. Có phương, chiều và độ lớn không đổi.
B. Tăng đều theo thời gian.
C. Bao giờ cũng lớn hơn gia tốc của chuyển động chậm dần đều.
D. Chỉ có độ lớn không đổi.
Lời giải:
Đáp án: A.
HD Giải: Gia tốc a của chuyển động thẳng biến đổi đều là đại lượng vectơ có phương, chiều và độ lớn không đổi theo thời gian.
Bài 9: Một vật rơi tự do từ độ cao h xuống mặt đất. Công thức tính vận tốc v của vật rơi tự do là:
Lời giải:
Đáp án: C.
HD Giải: Từ các công thức sự rơi tự do:
Ta có s = h
Bài 10: Chọn đáp án sai.
A. Tại một vị trí xác định trên Trái Đất và ở gần mặt đất, các vật đều rơi tự do với cùng một gia tốc g.
B. Trong chuyển động nhanh dần đều gia tốc cùng dấu với vận tốc v0.
C. Gia tốc của chuyển động thẳng biến đổi đều là đại lượng không đổi.
D. Chuyển động rơi tự do là chuyển động thẳng chậm dần đều.
Lời giải:
Đáp án: D.
HD Giải: Chuyển động rơi tự do là chuyển động thẳng nhanh dần đều theo phương thẳng đứng, chiều từ trên xuống dưới.
Bài 11: Trong các câu dưới đây câu nào sai?
Véctơ gia tốc hướng tâm trong chuyển động tròn đều có đặc điểm:
A. Đặt vào vật chuyển động.
B. Phương tiếp tuyến quỹ đạo.
C. Chiều luôn hướng vào tâm của quỹ đạo.
D. Độ lớn a = v2/r.
Lời giải:
Đáp án: B.
HD Giải: Gia tốc trong chuyển động tròn đều luôn hướng vào tâm quỹ đạo nên gọi là gia tốc hướng tâm.
Bài 12: Các công thức liên hệ giữa vận tốc dài với vận tốc góc, và gia tốc hướng tâm với tốc độ dài của chất điểm chuyển động tròn đều là:
Lời giải:
Đáp án: C.
HD Giải: Tốc độ góc: ; Δα là góc mà bán kính nối từ tâm đến vật quét được trong thời gian Δt. Đơn vị tốc độ góc là rad/s.
+ Liên hệ giữa tốc độ dài và tốc độ góc: v = rω.
Bài 13: Các công thức liên hệ giữa tốc độ góc ω với chu kỳ T và giữa tốc độ góc ω với tần số f trong chuyển động tròn đều là:
A. ω = 2π/T; ω = 2πf.
B. ω = 2πT; ω = 2π/f.
C. ω = 2πT; ω = 2π/f.
D. ω = 2π/T; ω = 2π/f.
Lời giải:
Đáp án: C.
HD Giải: Chu kỳ T của chuyển động tròn đều là thời gian để vật đi được một vòng:
→ ω = 2πf.
Bài 14: Công thức cộng vận tốc:
Lời giải:
Đáp án: A.
HD Giải: Véc tơ vận tốc tuyệt đối bằng tổng véc tơ của vận tốc tương đối và vận tốc kéo theo: v1,3→ = v1,2→ + v2,3→
Bài 15: Chỉ ra câu sai.
A. Vận tốc tức thời của chuyển động thẳng biến đổi đều có độ lớn tăng hoặc giảm đều theo thời gian.
B. Gia tốc của chuyển động thẳng biến đổi đều có độ lớn không đổi.
C. Véctơ gia tốc của chuyển động thẳng biến đổi đều có thể cùng chiều hoặc ngược chiều với véctơ vận tốc.
D. Trong chuyển động thẳng biến đổi đều, quãng đường đi được trong những khoảng thời gian bằng nhau thì bằng nhau.
Lời giải:
Đáp án: D.
HD Giải: Trong chuyển động thẳng biến đổi đều độ lớn của vận tốc tăng (giảm) đều theo thời gian nên quãng đường đi được trong những khoảng thời gian bằng nhau là khác nhau.
Bài 16: Chuyển động nào dưới đây không thể coi là chuyển động rơi tự do?
A. Một viên đá nhỏ được thả rơi từ trên cao xuống mặt đất.
B. Một cái lông chim rơi trong ống thuỷ tinh đặt thẳng đứng và đã được hút chân không.
C. Một chiếc lá rụng đang rơi từ trên cây xuống đất.
D. Một viên bi chì rơi trong ống thuỷ tinh đặt thẳng đứng và đã được hút chân không.
Lời giải:
Đáp án: C.
HD Giải: Sự rơi tự do là sự rơi chỉ dưới tác dụng của trọng lực.
+ Trong trường hợp có thể bỏ qua ảnh hưởng của các yếu tố khác lên vật rơi, ta có thể coi sự rơi của vật như là sự rơi tự do.
Một chiếc lá rụng đang rơi từ trên cây xuống đất ngoài chịu tác dụng của trọng lực nó chịu tác dụng đáng kể của lực cản của không khí.
Bài 17: Hành khách 1 đứng trên toa tàu a, nhìn qua cửa số toa sang hành khách 2 ở toa bên cạnh b. Hai toa tàu đang đỗ trên hai đường tàu song song với nhau trong sân ga. Bỗng 1 thấy 2 chuyển động về phía sau. Tình huống nào sau đây chắc chắn không xảy ra?
A. Cả hai toa tàu cùng chạy về phía trước. a chạy nhanh hơn b.
B. Cả hai toa tàu cùng chạy về phía trước. b chạy nhanh hơn a.
C. Toa tàu a chạy về phía trước. Toa b đứng yên.
D. Toa tàu a đứng yên. Toa tàu b chạy về phía sau.
Lời giải:
Đáp án: B.
HD Giải: Cả hai toa tàu cùng chạy về phía trước. b chạy nhanh hơn a thì vecto vận tốc của a đối với b sẽ ngược chiều so với vectơ vận tốc của b → hành khách 1 sẽ thấy 2 chuyển động về phía trước.
Bài 18: Khi nói về chuyển động thẳng đều, phát biểu nào dưới đây là sai?
A. Quỹ đạo chuyển động thẳng đều là đường thẳng.
B. Tốc độ trung bình của chuyển động thẳng đều trên mọi đoạn đường là như nhau.
C. Trong chuyển động thẳng đều, quãng đường đi được của vật tỉ lệ thuận với khoảng thời gian chuyển động.
D. Chuyển động đi lại của một pit-tông trong xi lanh là chuyển động thẳng đều.
Lời giải:
Đáp án: D.
HD Giải: Chuyển động đi lại của pit-tông là chuyển động thẳng nhưng vận tốc của pit-tông trong quá trình chuyển động có thể thay đổi → chuyển động có thể không đều.
Bài 19: Phương trình chuyển động của chuyển động thẳng đều dọc theo trục Oy trong trường hợp vật không xuất phát từ điểm O là:
A. s = v.t
B. x = x0 + v/t
C. y = y0 + v.t
D. y = v.t
Lời giải:
Đáp án: C.
HD Giải: Ban đầu vật không xuất phát từ O nên vật có tọa độ y0
→ Phương trình chuyển động của vật là: y = y0 + v.t
Bài 20: Phương trình chuyển động của một chất điểm dọc theo trục Ox có phương dạng: x = 4 + 30t (x tính bằng kilomét, t tính bằng giờ). Chất điểm đó xuất phát từ điểm nào và đi với vận tốc bao nhiêu?
A. Từ điểm O, với vận tốc 4 km/h.
B. Từ điểm O, với vận tốc 30 km/h.
C. Từ điểm M cách O 3 km, với vận tốc 4 km/h.
D. Từ điểm M cách O 4 km, với vận tốc 30 km/h.
Lời giải:
Đáp án: D.
HD Giải: Phương trình chuyển động là x = x0 + vt = 4 +30t
→ x0 = 4 km; v = 30 km/h.
Bài 21: Phương trình chuyển động của một chất điểm dọc theo trục Ox có dạng: x = 10t - 5 (x đo bằng kilômét, t đo bằng giờ). Quãng đường đi được của chất điểm sau 2 giờ là:
A. 20 km.
B. 10 km.
C. 15 km.
D. 25 km.
Lời giải:
Đáp án: A.
HD Giải: Quãng đường chất điểm đi được sau 2h là S = v.t = 10.2 = 20 km.
Bài 22: Một máy bay phản lực có vận tốc bằng 2400 km/h. Nếu muốn bay liên tục trên khoảng cách 6000 km thì máy bay phải bay trong bao lâu?
A. 2 giờ 50 phút.
B. 5 giờ 20 phút.
C. 2 giờ 30 phút.
D. 3 giờ 20 phút.
Lời giải:
Đáp án: C.
HD Giải: Thời gian để máy bay bay được quãng đường 6000 km là t = s/v = 2,5h = 2h30'.
Bài 23: Một xe lửa bắt đầu dời khỏi ga và chuyển động thẳng nhanh dần đều với gia tốc 0,1 m/s2. Khoảng thời gian để xe lửa đạt được vận tốc 36 km/h là:
A. 360 s.
B. 100 s.
C. 300 s.
D. 200 s.
Lời giải:
Đáp án: B.
HD Giải: Đổi 36 km/h = 10 m/s.
Ta có v = v0 + at
Bài 24: Một ô tô chuyển động thẳng nhanh dần đều. Sau 10s, vận tốc của ô tô tăng từ 4 m/s đến 6 m/s. Quãng đường mà ô tô đi được trong khoảng thời gian trên là:
A. 500 m.
B. 50 m.
C. 25 m.
D. 100 m.
Lời giải:
Đáp án: B.
HD Giải: Gia tốc của vật là:
Quãng đường ô tô đi được trong 10s trên là:
Bài 25: Một ôtô đang chuyển động với vận tốc 10 m/s thì bắt đầu chuyển động nhanh dần đều. Sau 20s ôtô đạt vận tốc 14 m/s. Sau 40s kể từ lúc tăng tốc, gia tốc và vận tốc của ôtô lần lượt là:
A. 0,7 m/s2; 38 m/s.
B. 0,2 m/s2; 8 m/s.
C. 1,4 m/s2; 66 m/s.
D. 0,2 m/s2; 18 m/s.
Lời giải:
Đáp án: D.
HD Giải: Ta có gia tốc của vật là:
Sau 40s kể từ lúc tăng tốc vận tốc của vật là v = v0 + at = 10 + 0,2.40 = 18 m/s.
Bài 26: Thời gian rơi của một vật được thả rơi tự do là 4s. Lấy g = 10 m/s2. Vận tốc lúc chạm đất của vật là:
A. 10 m/s.
B. 20 m/s.
C. 40 m/s.
D. 80 m/s.
Lời giải:
Đáp án: C.
HD Giải: Chọn gốc tọa độ tại vị trí vật rơi, chiều dương của trục tọa độ hướng xuống.
Ta có v = v0 + at = 10t (m/s).
Vận tốc của vật ngay trước khi chạm đất là v = 10.4 = 40 m/s.
Bài 27: Chọn đáp án sai: Trong chuyển động thẳng nhanh dần đều thì:
A. vectơ gia tốc ngược chiều với vectơ vận tốc.
B. vận tốc tức thời tăng theo hàm số bậc nhất của thời gian.
C. quãng đường đi được tăng theo hàm số bậc hai của thời gian.
D. gia tốc là đại lượng không đổi.
Lời giải:
Đáp án: A.
HD Giải: Trong chuyển động nhanh dần đều thì:
- gia tốc cùng chiều với vận tốc.
- vận tốc tăng theo hàm bậc nhất của thời gian (v = v0 + at)
- quãng đường đi được tăng theo hàm bậc hai của gian
- gia tốc không đổi.
Bài 28: Chọn đáp án sai:
A. Vận tốc tức thời của chuyển động thẳng biến đổi đều có độ lớn tăng hoặc giảm đều theo thời gian.
B. Gia tốc của chuyển động thẳng biến đổi đều không đổi theo thời gian.
C. Vectơ gia tốc của chuyển động thẳng biến đổi đều có thể cùng chiều hoặc ngược chiều với vectơ vận tốc.
D. Trong chuyển động thẳng biến đổi đều, quãng đường đi được trong những khoảng thời gian bằng nhau thì bằng nhau.
Lời giải:
Đáp án: D.
HD Giải: Trong chuyển động thẳng biến đổi đều, quãng đường vật đi được trong những khoảng thời gian bằng nhau là khác nhau.
Bài 29: Nhận xét nào sau đây không đúng với một chất điểm chuyển động thẳng theo một chiều với gia tốc a = 4 m/s2?
A. Lúc đầu vận tốc bằng 0 thì 1s sau vận tốc của nó bằng 4 m/s.
B. Lúc vận tốc bằng 2 m/s thì 1s sau vận tốc của nó bằng 6 m/s.
C. Lúc vận tốc bằng 2 m/s thì 2s sau vận tốc của nó bằng 8 m/s.
D. Lúc vận tốc bằng 4 m/s thì 2s sau vận tốc của nó bằng 12 m/s.
Lời giải:
Đáp án: C.
HD Giải: Ta có v = v0 + a.t
Khi v0 = 2m/s thì sau t = 2s, v = 10m/s → C sai.
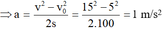
Bài 30: Một xe đang chuyển động với vận tốc 18 km/h thì tăng tốc đều với gia tốc a m/s2. Sau 100 m xe đạt vận tốc 54 km/h. Giá trị gia tốc a là:
A. 0,5 m/s2.
B. 1 m/s2.
C. 1,5 m/s2.
D. 2 m/s2.
Lời giải:
Đáp án: B.
HD Giải: Đổi: 18 km/h = 5 m/s; 54 km/h = 15m/s.
Áp dụng công thức độc lập thời gian: v2 - v02 = 2as
Để học tốt lớp 10 các môn học sách mới:
- Giải bài tập Lớp 10 Kết nối tri thức
- Giải bài tập Lớp 10 Chân trời sáng tạo
- Giải bài tập Lớp 10 Cánh diều
Tủ sách VIETJACK shopee lớp 10-11 (cả 3 bộ sách):
Đã có app VietJack trên điện thoại, giải bài tập SGK, SBT Soạn văn, Văn mẫu, Thi online, Bài giảng....miễn phí. Tải ngay ứng dụng trên Android và iOS.
Theo dõi chúng tôi miễn phí trên mạng xã hội facebook và youtube:Nếu thấy hay, hãy động viên và chia sẻ nhé! Các bình luận không phù hợp với nội quy bình luận trang web sẽ bị cấm bình luận vĩnh viễn.
- Giải Tiếng Anh 10 Global Success
- Giải Tiếng Anh 10 Friends Global
- Giải sgk Tiếng Anh 10 iLearn Smart World
- Giải sgk Tiếng Anh 10 Explore New Worlds
- Lớp 10 - Kết nối tri thức
- Soạn văn 10 (hay nhất) - KNTT
- Soạn văn 10 (ngắn nhất) - KNTT
- Soạn văn 10 (siêu ngắn) - KNTT
- Giải sgk Toán 10 - KNTT
- Giải sgk Vật lí 10 - KNTT
- Giải sgk Hóa học 10 - KNTT
- Giải sgk Sinh học 10 - KNTT
- Giải sgk Địa lí 10 - KNTT
- Giải sgk Lịch sử 10 - KNTT
- Giải sgk Kinh tế và Pháp luật 10 - KNTT
- Giải sgk Tin học 10 - KNTT
- Giải sgk Công nghệ 10 - KNTT
- Giải sgk Hoạt động trải nghiệm 10 - KNTT
- Giải sgk Giáo dục quốc phòng 10 - KNTT
- Lớp 10 - Chân trời sáng tạo
- Soạn văn 10 (hay nhất) - CTST
- Soạn văn 10 (ngắn nhất) - CTST
- Soạn văn 10 (siêu ngắn) - CTST
- Giải Toán 10 - CTST
- Giải sgk Vật lí 10 - CTST
- Giải sgk Hóa học 10 - CTST
- Giải sgk Sinh học 10 - CTST
- Giải sgk Địa lí 10 - CTST
- Giải sgk Lịch sử 10 - CTST
- Giải sgk Kinh tế và Pháp luật 10 - CTST
- Giải sgk Hoạt động trải nghiệm 10 - CTST
- Lớp 10 - Cánh diều
- Soạn văn 10 (hay nhất) - Cánh diều
- Soạn văn 10 (ngắn nhất) - Cánh diều
- Soạn văn 10 (siêu ngắn) - Cánh diều
- Giải sgk Toán 10 - Cánh diều
- Giải sgk Vật lí 10 - Cánh diều
- Giải sgk Hóa học 10 - Cánh diều
- Giải sgk Sinh học 10 - Cánh diều
- Giải sgk Địa lí 10 - Cánh diều
- Giải sgk Lịch sử 10 - Cánh diều
- Giải sgk Kinh tế và Pháp luật 10 - Cánh diều
- Giải sgk Tin học 10 - Cánh diều
- Giải sgk Công nghệ 10 - Cánh diều
- Giải sgk Hoạt động trải nghiệm 10 - Cánh diều
- Giải sgk Giáo dục quốc phòng 10 - Cánh diều


Giải bài tập SGK & SBT
Tài liệu giáo viên
Sách
Khóa học
Thi online
Hỏi đáp

