100 câu trắc nghiệm Động học chất điểm có lời giải (nâng cao - phần 2)
Với 100 câu trắc nghiệm Động học chất điểm (nâng cao - phần 2) có lời giải chi tiết sẽ giúp học sinh ôn tập, biết cách làm câu trắc nghiệm Động học chất điểm (nâng cao - phần 2)
100 câu trắc nghiệm Động học chất điểm có lời giải (nâng cao - phần 2)
(199k) Học Vật Lí 10 KNTTHọc Vật Lí 10 CDHọc Vật Lí 10 CTST
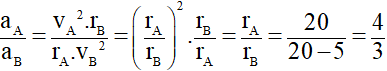
Bài 1: Một đĩa đặc đồng chất có hình dạng tròn bán kính 20 cm đang quay tròn đều quanh trục của nó. Hai điểm A và B nằm trên cùng một đường kính của đĩa. Điểm A nằm trên vành đĩa, điểm B cách A 5 cm. Tỉ số gia tốc của điểm A và điểm B là:
Lời giải:
Đáp án: A.
HD Giải: Hai điểm có cùng tốc độ quay:
Tỉ số gia tốc:
Bài 2: Chiều dài kim giây của một đồng hồ gấp đôi chiều dài kim phút và gấp bốn lần chiều dài kim giờ của nó. Tỉ số tốc độ dài điểm ở đầu kim phút và điểm ở đầu kim giờ là:
A. 24.
B. 48.
C. 32.
D. 16.
Lời giải:
Đáp án: A.
HD Giải: rgi = 2rp = 4rg → rp = 2rg
Xét khoảng thời gian 1 giờ thì kim phút quay được 1 vòng, kim giờ quay được 30o = π/6 rad.
Bài 3: Trái đất quay một vòng quanh của nó trong thời gian 24 giờ. Bán kính Trái đất bằng 6400 km. Gia tốc hướng tâm của một điểm ở xích đạo Trái đất là:
A. 2,65.10-3 m/s2.
B. 33,85.10-3 m/s2.
C. 25,72.10-3 m/s2.
D. 37,56.10-3 m/s2.
Lời giải:
Đáp án: B.
HD Giải: Tốc độ góc:
Gia tốc hướng tâm của điểm ở xích đạo:
Bài 4: Một ròng rọc chuyển động tròn đều với tốc độ góc ω, hai điểm A và B nằm trên cùng bán kính R của một ròng tọc như hình vẽ. Điểm A ngoài vành của ròng rọc có vận tốc vA = 2,4 m/s. Điểm B cách A 10 cm có vận tốc vB = 0,8 m/s. Coi ròng rọc chuyển động đều quanh trục. Tốc độ góc ω và bán kính R của ròng rọc lần lượt là:
A. 8 rad/s và 15 cm.
B. 16 rad/s và 5 cm.
C. 16 rad/s và 15 cm.
D. 8 rad/s và 5 cm.
Lời giải:
Đáp án: C.
HD Giải: Điểm A và B chuyển động với cùng tốc độ góc:
Bài 5: Một đoàn tàu bắt đầu chuyển động nhanh dần đều vào một cung đường tròn với vận tốc 57,6 km/giờ. Bán kính đường tròn 1200 m và cung đường tròn 800 m. Đoàn tàu chạy hết cung đường này mất 40 giây. Gia tốc toàn phần của đoàn tàu ở cuối cung đường bằng:
A. 2,15 m/s2.
B. 1,16 m/s2.
C. 0,52 m/s2.
D. 0,81 m/s2.
Lời giải:
Đáp án: C.
HD Giải: Đổi 57,6 km/h = 16 m/s
Gia tốc tiếp tuyến ở cuối cung đường:
Gia tốc pháp tuyến ở cuối cung đường:
Bài 6: Trái đất quay quanh trục Bắc – Nam với chuyển động đều mỗi vòng 24 giờ. Bán kính Trái đất là 6400 km. Tại một điểm trên mặt đất có vĩ độ β = 30o có tốc độ dài bằng:
A. 604 m/s.
B. 370 m/s.
C. 580 m/s.
D. 403 m/s.
Lời giải:
Đáp án: D.
HD Giải: Tốc độ góc:
Ở vĩ độ 30o: r = 6400000.cos30o.m
Bài 7: Một chiếc thuyền chuyển động ngược dòng với vận tốc 14 km/h so với mặt nước. Nước chảy với tốc độ 9 km/h so với bờ. Hỏi vận tốc của thuyền so với bờ?
A. 25 km/h.
B. 3,5 km/h.
C. 5 km/h.
D. 6 km/h.
Lời giải:
Đáp án: C.
HD Giải: Ta có vTN = 14 km/h, vNB = 9 km/h.
Áp dụng công thức cộng vận tốc ta có: vTB→ = vTN→ + vNB→
vTB = vTN – vNB = 14 – 9 = 5 km/h.
Bài 8: Hai bến sông A và B cách nhau 18 km theo đường thẳng. Một chiếc canô phải mất bao nhiêu thời gian để đi từ A đến B rồi trở lại ngay từ B tới A. Biết rằng vận tốc của canô khi nước không chảy là 16,2 km/h và vận tốc của dòng nước so với bờ là 1,5 m/s.
A. 1h 40 phút.
B. 30 phút.
C. 50 phút.
D. 2h 30 phút.
Lời giải:
Đáp án: D.
HD Giải: Ta có vCN = 16,2 km/h, vNB = 1,5 m/s; s = 5,4 km/h.
Áp dụng công thức cộng vận tốc ta có vCB→ = vCN→ + vNB→.
Khi xuôi dòng thì vCB = vCN + vNB = 16,2 + 5,4 = 21,6 km/h.
Thời gian cano đi từ A đến B là:
Khi đi ngược dòng thì vCB = vCN – vNB = 16,2 – 5,4 = 10,8 km/h
Thời gian cano đi từ B về A là:
Thời gian cano đi từ A đến B rồi trở lại A là:
Bài 9: Một người lái xuồng máy dự định mở máy cho xuồng chạy ngang con sông rộng 240 m, mũi xuồng luôn luôn vuông góc với bờ sông. Nhưng do nước chảy nên xuồng sang đến bờ bên kia tại một địa điểm cách bến dự định 180 m về phía hạ lưu và xuồng đi hết 1 phút. Xác định vận tốc của xuồng so với bờ sông.
A. 5 m/s.
B. 3 m/s.
C. 1,5 m/s.
D. 7,5 m/s.
Lời giải:
Đáp án: A.
HD Giải: Người lái xuồng dự định đi từ A - B nhưng do nước chảy nên đến C với BC = 180 m.
Quãng đường AC thực tế xuồng đi là:
Vận tốc của xuồng so với bờ là v = AC/t = 300/60 = 5 m/s.
Bài 10: Một ca nô chạy thẳng đều xuôi theo dòng từ bến A đến bến B cách nhau 36 km mất một khoảng thời gian là 1h 30 phút. Vận tốc của dòng chảy là 6 km/h. Tính khoảng thời gian để ca nô chạy ngược dòng từ B đến A.
A. 1h 30 phút.
B. 3h.
C. 2h 15 phút.
D. 2h.
Lời giải:
Đáp án: B.
HD Giải: Vận tốc của cano so với bờ khi chạy xuôi dòng là:
Vận tốc của cano so với nước là vCN→ = vCB→ + vBN→ → vCN = vCB - vNB = 24 - 6 = 18 km/h
Khi cano chạy ngược dòng thì vận tốc cano so với bờ là:
vCB = vCN – vNB = 18 - 6 = 12 km/h
Thời gian cano chạy ngược dòng là:
Bài 11: Biết giờ Bec-Lin (Cộng hoà liên bang Đức) chậm hơn giờ Hà Nội 6 giờ, trận chung kết bóng đá Wold Cup năm 2006 diễn ra tại Bec Lin vào lúc 19h00’ ngày 9 tháng 7 năm 2006 giờ Bec Lin. Khi đó giờ Hà Nội là:
A. 1h00’ ngày 10 tháng 7 năm 2006.
B. 13h00’ ngày 9 tháng 7 năm 2006.
C. 1h00’ ngày 9 tháng 7 năm 2006.
D. 13h00’ ngày 10 tháng 7 năm 2006.
Lời giải:
Đáp án: A.
HD Giải: Từ 19h00’ cộng thêm 6 giờ nữa đến lúc 1h00’ ngày hôm sau, tức ngày 10 tháng 7 năm 2006 theo giờ Việt Nam diễn ra trận chung kết.
Bài 12: Lúc trời không có gió, một máy bay từ địa điểm A đến địa điểm B theo một đường thẳng với vận tốc không đổi 100 m/s hết 2h 20phút. Khi bay trở lại, gặp gió nên từ B về A máy bay bay hết 2h 30phút. Xác định vận tốc của gió.
A. 6 m/s.
B. 6,67 m/s.
C. 7,77 m/s.
D. 9,99 m/s.
Lời giải:
Đáp án: B.
HD Giải: Khoảng cách AB là s = vt = 100.(2.3600 + 20.60) = 840000m.
Vận tốc của máy bay khi bay ngược gió là:
Vận tốc của gió:
Bài 13: Một ô tô chạy với vận tốc 50 km/h trong trời mưa. Mưa rơi theo phương thẳng đứng. Trên cửa kính của xe, các vệt mưa rơi làm với phương thẳng đứng một góc 60o. Xác định vận tốc của giọt mưa đối với xe ô tô.
A. 57,73 km/h.
B. 50 km/h.
C. 45,45 km/h.
D. 60 km/h.
Lời giải:
Đáp án: A.
Sơ đồ vận tốc của giọt nước mưa đối với xe như hình.
Ta có: sin60o = v1/v2
Với v1 là vận tốc của xe, bằng 50 km/h; v2 là vận tốc của giọt mưa đối với ô tô.
Bài 14: Ô tô A chạy theo hướng Tây với vận tốc 40 km/h. Ô tô B chạy thẳng về hướng Bắc với vận tốc 60 km/h. Hãy xác định vận tốc của ô tô B đối với người ngồi trên ôtô A.
A. 72,11 km/h.
B. 56,23 km/h.
C. 65,56 km/h.
D. 78,21 km/h.
Lời giải:
Đáp án: A.
HD Giải: Áp dụng công thức cộng vận tốc ta có: vAB→ = vAD→ + vDB→
Ta có hai xe đi theo hai hướng vuông góc nhau:
Bài 15: Một phi công muốn máy bay của mình bay về hướng Tây trong khi gió thổi về hướng Nam với vận tốc 50 km/h. Biết rằng khi không có gió, vận tốc của máy bay là 200 km/h. Khi đó vận tốc của máy bay so với mặt đất là bao nhiêu?
A. 120,65 km/h.
B. 123,8 km/h.
C. 193,65 km/h.
D. 165,39 km/h.
Lời giải:
Đáp án: C.
Áp dụng công thức cộng vận tốc ta có: v→ = v1→ + v2→
v→ là vận tốc của máy bay theo hướng tây; v1→ là vận tốc của máy bay theo hướng bay thực tế; v2→ là vận tốc của gió theo hướng nam.
Từ hình vẽ ta có v2 = v12 – v22 = 2002 - 502
→ v = 193,65 km/h.
Bài 16: Một chiếc phà chạy xuôi dòng từ A đến B mất 3h, khi chạy về mất 6h. Hỏi nếu phà tắt máy trôi theo dòng từ A đến B mất bao lâu?
A. 6h.
B. 12h.
C. 7h.
D. 15h.
Lời giải:
Đáp án: B.
HD Giải: Ta có khi phà chạy xuôi dòng thì vPB = (vPN + vNB)
→ AB = (vPN + vNB)t = (vPN + vNB).3
Khi phà chạy ngược dòng thì vPB = vPN - vNB
→ AB = (vPN - vNB).6
→ (vPN + vNB).3 = (vPN - vNB).6 → vPN = 3vNB
→ AB = 12vNB
Khi phà tắt máy thì vận tốc của phà so với bờ sông bằng vận tốc của nước so với bờ.
→ Khi tắt máy thì thời gian đi từ A - B là:
Bài 17: Một thuyền đi từ bến A đến bến B cách nhau 6 km rồi trở lại về A. Biết rằng vận tốc thuyền trong nước im lặng là 5 km/h, vận tốc nước chảy là 1 km/h. Tính thời gian chuyển động của thuyền.
A. 2h 30 phút.
B. 1h 15 phút.
C. 2 h 5 phút.
D. 1h 35 phút.
Lời giải:
Đáp án: A.
HD Giải: Ta có vTN = 5 km/h, vNB = 1 km/h.
Lúc thuyền xuôi dòng thì vTB = vTN + vNB = 5 + 1 = 6 km/h.
Thời gian thuyền xuôi dòng từ A - B là:
Lúc thuyền ngược dòng thì vTB = vTN - vNB = 5 – 1 = 4 km/h.
Thời gian thuyền ngược dòng từ B về A là:
Thời gian chuyển động của thuyền là t = t1 + t2 = 1 + 1,5 = 2,5 h = 2h30 phút.
Bài 18: Một xe đạp chuyển động thẳng đều với vận tốc lúc không có gió là 15 km/h. Người này đi từ A tới B xuôi gió và đi từ B trở lại A ngược gió. Vận tốc gió là 1 km/h. Khoảng cách AB = 28 km. Tính thời gian tổng cộng đi và về.
A. 1,25 h.
B. 2,5 h.
C. 1,75 h.
D. 3,75 h.
Lời giải:
Đáp án: D.
HD Giải: Vận tốc xe khi xuôi gió v = 15 + 1 = 16 km/h
Thời gian đi xuôi gió:
Vận tốc xe khi ngược gió v = 15 – 1 = 14 km/h.
Thời gian xe đi ngược gió:
Thời gian tổng cộng đi và về là t = t1 + t2 = 3,75h.
Bài 19: Một chiếc thuyền chuyển động thẳng đều xuôi dòng nước từ bến A tới bến B cách nhau 6 km dọc theo dòng sông rồi quay về B mất 2h 30 phút. Biết rằng vận tốc của thuyền trong nước im lặng là 5 km/h. Tính vận tốc dòng nước và thời gian thuyền đi xuôi dòng.
A. 1 km/h và 1,75h.
B. 1 km/h và 1 h.
C. 3 km/h và 1,75 h.
D. 3 km/h và 1 h.
Lời giải:
Đáp án: B.
HD Giải: Vận tốc thuyền khi xuôi dòng là vTB = vTN + vNB = 5 + vNB
Vận tốc thuyền khi ngược dòng là vTB = vTN - vNB = 5 - vNB
Thời gian thuyền đi xuôi dòng là:
Thời gian thuyền đi ngược dòng là:
Có t = t1 + t2 = 2,5h
→ vNB = 1 km/h; t1 = 6/(5 + 1) = 1h.
Bài 20: Một người đi xe đạp với vận tốc 14,4 km/h, trên một đoạn đường song hành với đường sắt. Một đoạn tàu dài 120 m chạy ngược chiều và vượt người đó mất 6 s kể từ lúc tàu gặp người đó. Hỏi vận tốc của tàu là bao nhiêu?
A. 20 m/s.
B. 16 m/s.
C. 24 m/s.
D. 4 m/s.
Lời giải:
Đáp án: B.
HD Giải: Vận tốc của xe đạp so với đất là vxđ = 24,4 km/h = 4 m/s
Vận tốc của tàu so với xe đạp là vtx = L/t = 120/6 = 20 m/s
Vận tốc của tàu so với đất là vtđ = vtx - vxđ = 20 – 4 = 16 m/s.
Bài 21: Cùng một lúc tại hai điểm A và B cách nhau 15 km có hai ô tô chạy cùng chiều nhau. Vận tốc của ô tô chạy từ A là 40 km/h và của ô tô chạy từ B là 35 km/h. Chọn A làm mốc, thời điểm xuất phát của hai xe ô tô làm mốc thời gian và chiều chuyển động của hai xe làm chiều dương. Phương trình chuyển động của các ô tô chạy từ A và từ B lần lượt là?
A. xA = 40t; xB = 35t + 15.
B. xA = 40t + 15; xB = 35t.
C. xA = 40t; xB = 35t – 15.
D. xA = -40t; xB = 35t.
Lời giải:
Đáp án: A.
HD Giải: A là mốc → tọa độ ban đầu của 2 xe là x0A = 0 km; x0B = 15 km
Hai xe chuyển động theo chiều dương → vA = 40 km/h; vB = 35 km/h
Phương trình chuyển động của vật là x = x0 + vt
→ Phương trình chuyển động của ôtô chạy từ A và B lần lượt là
xA = 40t; xB = 15 + 35t
Bài 22: Cùng một lúc tại hai điểm A và B cách nhau 20 km có hai ô tô chạy cùng chiều nhau trên đường thẳng từ A đến B. Vận tốc của ô tô chạy từ A là 40 km/h và của ô tô chạy từ B là 30 km/h. Chọn A làm mốc, chọn thời điểm xuất phát của hai xe ô tô làm mốc thời gian và chọn chiều chuyển động của hai xe làm chiều dương. Hỏi khoảng thời gian từ lúc hai ô tô xuất phát đến lúc ô tô A đuổi kịp ô tô B và khoảng cách từ A đến địa điểm hai xe gặp nhau là:
A. 1h; 54 km.
B. 3h 50 ph; 190 km.
C. 1h 40 ph; 90 km.
D. 2h; 80 km.
Lời giải:
Đáp án: D.
HD Giải: Phương trình tọa độ của ô tô đi từ A là: xA = 40t
Phương trình tọa độ của ô tô đi từ B là: xB = 30t + 20
Hai xe gặp nhau khi xA = xB → 40t = 30t + 20
→ t = 2h; khi đó xA = 40t = 80 km.
Bài 23: Hai thành phố A và B cách nhau 360 km. Lúc 5 giờ sáng, 2 ô tô khởi hành từ hai thành phố đó hướng về nhau. Xe từ A có vận tốc v1 = 50 km/h, xe kia có vận tốc v2 = 40 km/h. Hỏi 2 ô tô sẽ gặp nhau lúc mấy giờ? Tại vị trí cách B bao nhiêu km?
A. 9 giờ 30 phút; 200 km.
B. 9 giờ; 200 km.
C. 9 giờ 30 phút; 160 km.
D. 9 giờ; 160 km.
Lời giải:
Đáp án: D.
HD Giải: Chọn thành phố A làm mốc, chiều dương là chiều chuyển động từ A đến B. Gốc thời gian là lúc 5 giờ sáng.
Gọi thời gian kể từ lúc xe 2 xe bắt đầu chạy tới lúc hai xe gặp nhau là t.
Phương trình tọa độ của ô tô đi từ A là: xA = 50.t
Vì xe tại B đi theo chiều từ B về A (theo chiều âm) nên phương trình tọa độ của ô tô đi từ B là: xB = 360 - 40.t
Hai xe gặp nhau khi xA = xB → 50t = 360 – 40t
→ t = 4 → Thời điểm lúc hai xe gặp nhau là 5 giờ + 4 giờ = 9 giờ;
Khi đó xA = 50.t = 200 km
Vậy vị trí hai xe gặp nhau cách B một khoảng là 360 – 200 = 160 km.
Bài 24: Cho đồ thị tọa độ theo thời gian của một chiếc xe như hình vẽ. Chiếc xe xuất phát từ đâu và vào lúc nào?
A. Từ điểm O lúc 0h.
B. Từ điểm O lúc 1h.
C. Từ điểm B cách O là 10 km, lúc 1h.
D. Từ điểm A cách O là 40 km, lúc 4h.
Lời giải:
Đáp án: C.
HD Giải: Từ đồ thị t-x ta thấy lúc vật bắt đầu chuyển động vật ở vị trí có tọa độ (1;10)
→ xe xuất phát lúc 1h tại vị trí cách O 10 km.
Bài 25: Cho đồ thị tọa độ - thời gian của một người trên một đường thẳng như hình vẽ. Vận tốc trung bình của người đó là:
A. 10,3 km/h.
B. 10 km/h.
C. 7,5 km/h.
D. 15 km/h.
Lời giải:
Đáp án: B.
HD Giải: Từ đồ thị ta thấy trong 3h (từ 1h đến 4h) người đó đi được quãng đường 30 km.
→ Vận tốc trung bình của người đó là v = s/t = 30/3 = 10 km/h.
Bài 26: Hai xe chuyển động thẳng đều trên một đường thẳng với các vận tốc không đổi, nếu cùng chiều thì sau 12 phút khoảng cách giữa hai xe giảm 5 km, nếu ngược chiều thì sau 12 phút khoảng cách giảm 25 km. Vận tốc của mỗi xe là:
A. 60 km/h và 50 km.
B. 70 km/h và 50 km/h.
C. 75 km/h và 50 km/h.
D. 50 km/h và 70 km/h.
Lời giải:
Đáp án: C.
HD Giải: Gọi vận tốc của hai xe lần lượt là v1, v2
Khi hai xe chuyển động ngược chiều thì S1 + S2 = (v2 + v1).t1
Khi hai xe chuyển động cùng chiều thì S2 – S1 = (v2 – v1).t2
Từ (1) và (2): → v2 = 75 km/h; v1 = 50 km/h.
Bài 27: Một ca nô chuyển động đều, đầu tiên chạy theo hướng Nam - Bắc trong thời gian 18 phút sau đó rẽ sang hướng Đông - Tây và chạy thêm 24 phút, khoảng cách từ nơi xuất phát tới nơi dùng là 25 km, vận tốc ca nô là:
A. 50 km/h.
B. 45 km/h.
C. 40 km/h.
D. 25 km/h.
Lời giải:
Đáp án: A.
Gọi vận tốc của ca nô là v km/h.
Đổi 18 phút = 0,3 giờ, 24 phút = 0,4 giờ
Quãng đường mà ca nô đi được theo hướng Nam - Bắc là
s1 = 0,3.v
Quãng đường mà ca nô đi được theo hướng Đông - Tây là s2 = 0,4.v
Từ hình vẽ, ta có: S12 + S22 = S2 = 252 → 0,09v2 + 0,16v2 = 625 → v = 50 km/h.
Bài 28: Một xe chuyển động thẳng không đổi chiều, trong 1/3 thời gian đầu xe chạy với vận tốc 30 km/h. Trong thời gian còn lại xe chạy với vận tốc 24 km/h. Vận tốc trung bình trong suốt thời gian đi là:
A. 20 km/h.
B. 25 km/h.
C. 26 km/h.
D. 22 km/h.
Lời giải:
Đáp án: C.
HD Giải: Gọi tổng thời gian xe chạy là t.
Trong 1/3 t đầu, xe đi được quãng đường là:
Trong 2/3 t còn lại, xe đi được quãng đường là:
→ Vận tốc trung bình của xe trong suốt thời gian đi là:
Bài 29: Vật chuyển động nhanh dần đều theo chiều dương với vận tốc đầu 2 m/s, gia tốc 4 m/s2. Chọn đáp án đúng.
A. Vận tốc của vật sau 2s là 8 m/s.
B. Quãng đường đi được sau 5s là 60 m.
C. Vật đạt vận tốc 20 m/s sau 4s.
D. Sau khi đi được 10 m, vận tốc của vật là 64 m/s.
Lời giải:
Đáp án: B.
HD Giải: - Vận tốc của vật sau 2s là v = v0 + at = 2 + 4.2 = 10 m/s
- Quãng đường vật đi được sau 5s là:
- Thời gian vật đạt vận tốc 20 m/s là:
- Thời gian để vật đạt vận tốc 64 m/s là:
→ Quãng đường vật đi được là:
Bài 30: Một xe đang chuyển động với vận tốc 36 km/h thì hãm phanh, chuyển động chậm dần đều, sau 20 giây vận tốc là 18 km/h, hỏi sau bao lâu xe dừng lại?
A. 30 s.
B. 40 s.
C. 42 s.
D. 50 s.
Lời giải:
Đáp án: B.
HD Giải: Đổi 36 km/h = 10 m/s; 18 km/h = 5 m/s.
Ta có v = v0 + at → 5 = 10 + 20a → a = -0,25 m/s2
Vận tốc của xe lúc dừng lại là v = 0 m/s
→ Thời gian từ lúc hãm phanh đến lúc xe dừng lại là:
Để học tốt lớp 10 các môn học sách mới:
- Giải bài tập Lớp 10 Kết nối tri thức
- Giải bài tập Lớp 10 Chân trời sáng tạo
- Giải bài tập Lớp 10 Cánh diều
Tủ sách VIETJACK shopee lớp 10-11 (cả 3 bộ sách):
Đã có app VietJack trên điện thoại, giải bài tập SGK, SBT Soạn văn, Văn mẫu, Thi online, Bài giảng....miễn phí. Tải ngay ứng dụng trên Android và iOS.
Theo dõi chúng tôi miễn phí trên mạng xã hội facebook và youtube:Nếu thấy hay, hãy động viên và chia sẻ nhé! Các bình luận không phù hợp với nội quy bình luận trang web sẽ bị cấm bình luận vĩnh viễn.
- Giải Tiếng Anh 10 Global Success
- Giải Tiếng Anh 10 Friends Global
- Giải sgk Tiếng Anh 10 iLearn Smart World
- Giải sgk Tiếng Anh 10 Explore New Worlds
- Lớp 10 - Kết nối tri thức
- Soạn văn 10 (hay nhất) - KNTT
- Soạn văn 10 (ngắn nhất) - KNTT
- Soạn văn 10 (siêu ngắn) - KNTT
- Giải sgk Toán 10 - KNTT
- Giải sgk Vật lí 10 - KNTT
- Giải sgk Hóa học 10 - KNTT
- Giải sgk Sinh học 10 - KNTT
- Giải sgk Địa lí 10 - KNTT
- Giải sgk Lịch sử 10 - KNTT
- Giải sgk Kinh tế và Pháp luật 10 - KNTT
- Giải sgk Tin học 10 - KNTT
- Giải sgk Công nghệ 10 - KNTT
- Giải sgk Hoạt động trải nghiệm 10 - KNTT
- Giải sgk Giáo dục quốc phòng 10 - KNTT
- Lớp 10 - Chân trời sáng tạo
- Soạn văn 10 (hay nhất) - CTST
- Soạn văn 10 (ngắn nhất) - CTST
- Soạn văn 10 (siêu ngắn) - CTST
- Giải Toán 10 - CTST
- Giải sgk Vật lí 10 - CTST
- Giải sgk Hóa học 10 - CTST
- Giải sgk Sinh học 10 - CTST
- Giải sgk Địa lí 10 - CTST
- Giải sgk Lịch sử 10 - CTST
- Giải sgk Kinh tế và Pháp luật 10 - CTST
- Giải sgk Hoạt động trải nghiệm 10 - CTST
- Lớp 10 - Cánh diều
- Soạn văn 10 (hay nhất) - Cánh diều
- Soạn văn 10 (ngắn nhất) - Cánh diều
- Soạn văn 10 (siêu ngắn) - Cánh diều
- Giải sgk Toán 10 - Cánh diều
- Giải sgk Vật lí 10 - Cánh diều
- Giải sgk Hóa học 10 - Cánh diều
- Giải sgk Sinh học 10 - Cánh diều
- Giải sgk Địa lí 10 - Cánh diều
- Giải sgk Lịch sử 10 - Cánh diều
- Giải sgk Kinh tế và Pháp luật 10 - Cánh diều
- Giải sgk Tin học 10 - Cánh diều
- Giải sgk Công nghệ 10 - Cánh diều
- Giải sgk Hoạt động trải nghiệm 10 - Cánh diều
- Giải sgk Giáo dục quốc phòng 10 - Cánh diều


Giải bài tập SGK & SBT
Tài liệu giáo viên
Sách
Khóa học
Thi online
Hỏi đáp

