100 câu trắc nghiệm Động học chất điểm có lời giải (nâng cao - phần 1)
Với 100 câu trắc nghiệm Động học chất điểm (nâng cao - phần 1) có lời giải chi tiết sẽ giúp học sinh ôn tập, biết cách làm câu trắc nghiệm Động học chất điểm (nâng cao - phần 1)
100 câu trắc nghiệm Động học chất điểm có lời giải (nâng cao - phần 1)
(199k) Học Vật Lí 10 KNTTHọc Vật Lí 10 CDHọc Vật Lí 10 CTST
Bài 1: Một vật chuyển động thẳng đều với đồ thị chuyển động như hình vẽ. Phương trình chuyển động của vật là:
A. x = 200 + 50t (km).
B. x = 200 – 50t (km).
C. x = 100 + 50t (km).
D. x = 50t (km).
Lời giải:
Đáp án: B.
HD Giải: Đọc đồ thị: x0 = 200 km
→ x = 200 – 50t km.
Bài 2: Tàu Thống nhất Bắc Nam xuất phát từ ga Hà Nội vào lúc 19h00p, ngày 8 tháng 3 năm 2016, tới ga Sài Gòn vào lúc 4h00p ngày 10 tháng 3 năm 2016. Trong thời gian đó tàu phải nghỉ ở một số ga để trả khách mất 39p. Khoảng thời gian tàu Thống nhất Bắc Nam S1 chạy từ ga Hà Nội tới ga Sài Gòn là:
A. 32h21p.
B. 33h00p.
C. 33h39p.
D. 32h39p.
Lời giải:
Đáp án: A.
HD Giải: Từ 19h ngày 8/3/2016 đến 19h ngày 9/3/2016 thời gian tàu chạy là 24h.
Từ 19h ngày 9/3/2016 đến 4h ngày 10/3/2016 thời gian tàu chạy là: 24 – 19 + 4 = 9h.
Khoảng thời gian tàu chạy là: 24h + 9h – 0h 39p = 32h 21p.
Bài 3: Khi ô tô đang chạy với vận tốc 10 m/s trên đoạn đường thẳng thì người lái xe tăng ga và ô tô chuyển động nhanh dần đều. Sau 20s, ô tô đạt vận tốc 14 m/s. Quãng đường mà ô tô đã đi được sau 40s kể từ lúc bắt đầu tăng ga và tốc độ trung bình trên quãng đường đó là bao nhiêu?
A. s = 480 m, vtb = 12 m/s.
B. s = 360 m, vtb = 9 m/s.
C. s = 160 m, vtb = 4 m/s.
D. s = 560 m, vtb = 14 m/s.
Lời giải:
Đáp án: D.
HD Giải: Ta có: 14 = 10 + 20a → a = 0,2 s
Bài 4: Bảng giờ tàu Thống Nhất Bắc Nam S1 như sau:
| Ga | Giờ đến | Giờ rời ga |
|---|---|---|
| Hà Nội | 19 giờ 00 phút | |
| Vinh | 0 giờ 34 phút | 0 giờ 43 phút |
| Huế | 7 giờ 50 phút | 7 giờ 58 phút |
| Đà Nẵng | 10 giờ 32 phút | 10 giờ 47 phút |
| Nha Trang | 19 giờ 55 phút | 20 giờ 03 phút |
| Sài Gòn | 4 giờ 00 phút |
Dựa vào bảng giờ trên, thời gian tàu chạy từ ga Hà Nội đến ga Sài Gòn là:
A. 33 giờ.
B. 24 giờ.
C. 10 giờ.
D. 22 giờ.
Lời giải:
Đáp án: A.
HD Giải: Xe khởi hành ở Hà Nội lúc 19 giờ 00 phút, sau 24h xe gần đến Nha Trang, xe tiếp tục đi 9 tiếng nữa đến 4 giờ sáng hôm sau thì đến Sài gòn. Vậy tổng thời gian xe đi từ Hà Nội vào Sài Gòn là 24 + 9 = 33 giờ.
Bài 5: Một vật chuyển động thẳng không đổi chiều. Trên quãng đường AB, vật đi nửa quãng đường đầu với vận tốc v1 = 16 m/s, nửa quãng đường sau vật đi với vận tốc v2 = 4 m/s. Vận tốc trung bình trên cả quãng đường là:
A. 10 m/s.
B. 6,4 m/s.
C. 8 m/s.
D. 4 m/s.
Lời giải:
Đáp án: B.
HD Giải: Quãng đường đi trong hai lần là bằng nhau: 16t1 = 4t2 → t2 = 4t1
Vận tốc trung bình:
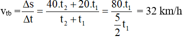
Bài 6: Một xe chuyển động thẳng không đổi chiều có vận tốc trung bình là 20 km/h trên 1/4 đoạn đường đầu và 40 km/h trên 3/4 đoạn đường còn lại.Vận tốc trung bình của xe trên cả đoạn đường là:
A. 30 km/h.
B. 32 km/h.
C. 128 km/h.
D. 40 km/h.
Lời giải:
Đáp án: B.
HD Giải: Gọi t1 và t2 lần lượt là thời gian vật chuyển động với vận tốc 20 km/h và 40 km/h.
Ta có:
Vận tốc trung bình trên cả đoạn đường là:
Bài 7: Một người đi xe đạp trên 2/3 đoạn đường đầu với vận tốc trung bình 15 km/h và 1/3 đoạn đường sau với vận tốc trung bình 20 km/h. Vận tốc trung bình của người đi xe đạp trên cả quãng đường là:
A. 17,5 km/h.
B. 12 km/h.
C. 15 km/h.
D. 16,36 km/h.
Lời giải:
Đáp án: D.
HD Giải: Gọi t1 và t2 lần lượt là thời gian vật chuyển động với vận tốc 15 km/h và 20 km/h.
Ta có:
Vận tốc trung bình trên cả đoạn đường là:
Bài 8: Hai viên bi sắt được thả rơi cùng độ cao cách nhau một khoảng thời gian 0,5 s. Lấy g = 10 m/s2. Khoảng cách giữa hai viên bi sau khi viên thứ nhất rơi được 1,5 s là:
A. 6,25 m.
B. 12,5 m.
C. 5,0 m.
D. 2,5 m.
Lời giải:
Đáp án: A.
HD Giải: Chọn gốc tọa độ là vị trí thả hai viên bi, chiều dương hướng xuống.
Phương trình chuyển động của 2 viên bi là:
Sau khi viên bi thứ nhất rơi được 1,5 s thì viên bi thứ hai rơi được 1 s.
Ta có:
Khoảng cách giữa hai viên bi là x = x1 – x2 = 11,25 – 5 = 6,25 m.
Bài 9: Người ta ném một vật từ mặt đất lên cao theo phương thẳng đứng với vận tốc 4,0 m/s. Lấy g = 10 m/s2. Thời gian vật chuyển động đến độ cao cực đại và độ cao cực đại vật đạt được là:
A. t = 0,4 s; H = 0,8 m.
B. t = 0,4 s; H = 1,6 m.
C. t = 0,8 s; H = 3,2 m.
D. t = 0,8 s; H = 0,8 m.
Lời giải:
Đáp án: A.
HD Giải: Chọn gốc tọa độ tại mặt đất, chiều dương hướng lên trên.
Phương trình vận tốc của vật là v = v0 + at = 4 - 10t (m/s).
Phương trình tọa độ của vật là x = x0 + v0t + 0,5at2 = 4t – 5t2 (m).
Khi vật đạt độ cao cực đại thì vận tốc của vật v = 0 → 4 – 10t = 0.
→ Thời gian vật chuyển động đến lúc đạt độ cao cực đại là t = 0,4 s.
Độ cao cực đại vật đạt được là x = 4.0,4 – 5.0,42 = 0,8 m.
Bài 10: Một vật rơi tự do từ độ cao h. Trong giây cuối cùng trước khi chạm đất vật đi quãng đường 60 m. Lấy g = 10m/s2. Độ cao h có giá trị:
A. h = 211,25m.
B. h = 271,21m.
C. h = 151,25m.
D. Kết quả khác.
Lời giải:
Đáp án: A.
HD Giải: Chọn gốc O tại vị trí vật rơi, chiều dương hướng xuống dưới.
Ta có: x = 0,5gt2 = 5t2
Gọi t là thời gian vật rơi.
Quãng đường vật đi được trong giây cuối cùng là x = xt – xt - 1 = 60 m
→ 5t2 – 5(t – 1)2 = 60 → 10t – 5 = 60 → t = 6,5 s.
Độ cao h là x = 5.6,52 = 211,25 m.
Bài 11: Một vật A được thả rơi từ độ cao 45 m xuống mặt đất. Lấy g = 10 m/s2. Quãng đường vật rơi được trong 2 giây cuối cùng là:
A. 40 m.
B. 35 m.
C. 30 m.
D. 25 m.
Lời giải:
Đáp án: A.
HD Giải: Chọn gốc tọa độ tại vị trí vật rơi, chiều dương hướng xuống dưới.
Ta có x = 0,5gt2 = 5t2 (m)
Thời gian vật rơi là nghiệm phương trình 5t2 = 45 → t = 3s.
Quãng đường vật rơi trong 2 s cuối cùng là s = x3 – x1 = 45 – 5.12 = 40 m.
Bài 12: Một người thả vật rơi tự do, vật chạm đất có v = 30 m/s, g = 10 m/s2. Độ cao của vật sau khi đi được 2 s là:
A. 30 m.
B. 25 m.
C. 20 m.
D. 15 m.
Lời giải:
Đáp án: B.
HD Giải: Chọn gốc tọa độ tại vị trí vật rơi, chiều dương hướng xuống.
Ta có: v = gt = 10t; x = 0,5gt2 = 5t2
Vận tốc chạm đất là v = 30 m/s → thời gian vật rơi là t = v/10 = 3s.
Độ cao ban đầu của vật là x3 = 5.32 = 45 m
Quãng đường vật đi được sau 2s là x2 = 5.22 = 20 m
Độ cao của vật sau khi đi được 2s là x = x3 – x2 = 45 – 20 = 25 m.
Bài 13: Từ độ cao 20 m so với mặt đất, một vật được ném thẳng đứng lên trên với tốc độ ban đầu bằng 15 m/s. Cho g = 10 m/s2 và bỏ qua mọi lực cản. Tính tổng quãng đường vật đi được từ lúc ném đến lúc chạm đất và tốc độ chuyển động ngay trước khi chạm đất.
A. 42,5 m; 20 m/s.
B. 51,25 m; 25 m/s.
C. 42,5 m; 25 m/s.
D. 51,25 m; 20 m/s.
Lời giải:
Đáp án: C.
HD Giải: Chọn gốc tọa độ tại mặt đất, chiều dương hướng lên.
Phương trình vận tốc là vt = v0 – gt = 15 – 10t
Tọa độ xT = h + v0t + 0,5gt2 = 20 + 15t – 5t2
Tại đỉnh T có:
vT = 0 = 15 – 10t → tT = 1,5s
xT = 20 + 15.1,5 – 5.1,52 = 31,25 m
→ Quãng đường của vật đi từ vị trí cao nhất đến mặt đất là s2 = 31,25 m.
Quãng đường vật đi từ lúc ném đến lúc đạt độ cao cực đại là s1 = s2 – h = 31,25 – 20 = 11,25 m.
Tổng quãng đường vật đi được là s = s1 + s2 = 11,25 + 31,25 = 42,5 m.
Khi chạm đất thì -5t2 + 15t + 20 = 0 → t = 4s
Tốc độ vật ngay trước khi chạm đất là |vG| = |15 – 10.4| = 25 m/s.
Bài 14: Một người thả vật rơi tự do, vật chạm đất có v = 50 m/s, g = 10 m/s2. Độ cao của vật sau khi đi được 3 s là:
A. 45 m.
B. 80 m.
C. 100 m.
D. 125 m.
Lời giải:
Đáp án: B.
HD Giải: Chọn gốc tọa độ tại vị trí vật bắt đầu rơi, chiều dương hướng xuống.
Phương trình vận tốc vt = v0 + at = 10t.
Vận tốc lúc chạm đất v = 50 m/s → thời gian vật rơi là t = 50/10 = 5s.
Tọa độ vật x = 5t2
Vật được thả từ độ cao h = 5t2 = 5.52 = 125 m
Quãng đường vật đi được sau 3 s là S = 5.32 = 45 m.
Độ cao của vật sau khi đi được 3s là h' = h – s = 125 – 45 = 80 m.
Bài 15: Một vật rơi tự do không vận tốc ban đầu từ độ cao 180 m xuống. Quãng đường vật đi được trong giây cuối cùng là:
A. 30 m.
B. 45 m.
C. 55 m.
D. 125 m.
Lời giải:
Đáp án: C.
HD Giải: Chọn gốc tọa độ tại vị trí vật rơi, chiều dương hướng xuống.
Tọa độ của vật x = 0,5gt2 = 5t2.
Khi chạm đất thì x = 180 = 5t2 → thời gian vật rơi t = 6 s.
Quãng đường vật đi được trong 5s đầu tiên là s = 5t2 = 5.52 = 125 m
Quãng đường vật đi được trong giây cuối cùng là s' = h – s = 180 – 125 = 55 m
Bài 16: Chuyến bay của hãng Hàng không Việt Nam từ Hà Nội đi Pa-ri (Cộng hoà Pháp) khởi hành vào lúc 19h30’ giờ Hà Nội ngày hôm trước, đến Pa-ri lúc 6h30’ sáng hôm sau theo giờ Pa-ri. Thời gian máy bay bay từ Hà Nội tới Pa-ri là:
A. 11h00’.
B. 13h00’.
C. 17h00’.
D. 26h00’.
Lời giải:
Đáp án: C.
HD Giải: Việt Nam trước Pari 5 tiếng nên lúc 19h30’ Việt Nam là lúc 13h30’ Pari.
Thời gian từ 13h30’ đến 24h cùng ngày là: 24h – 13h30’ = 10h30’.
Thời gian từ 0h đến 6h30’ hôm sau là: 6h30’ – 0h = 6h30’.
Tổng thời gian máy bay bay là: 6h30’ + 10h30’ = 17h00’.
Bài 17: Hai địa điểm A và B cách nhau 15 km, cùng một lúc có hai xe chạy cùng chiều nhau từ A về B, sau 2 giờ thì đuổi kịp nhau. Biết xe đi từ A có tốc độ không đổi là 50 km/giờ. Xe đi từ B có tốc độ bằng:
A. 35,5 km/giờ.
B. 37,5 km/giờ.
C. 42,5 km/giờ.
D. 30,0 km/giờ.
Lời giải:
Đáp án: C.
HD Giải: Chọn gốc tọa độ ở A : x0A = 0, x0B = 15 km.
Chiều dương từ A đến B: vA = 50km/h, vB > 0.
Gốc thời gian là lúc 2 xe cùng xuất phát.
Phương trình chuyển động của 2 xe:
Sau 2 giờ 2 xe gặp nhau → t = 2h, thay vào (1), suy ra vị trí gặp nhau:
xG = 50.2 = 100 km, thay vào (2), suy ra 100 = 15 + vB.2 → vB = 42,5 km/h.
Bài 18: Tín hiệu rađa từ bề mặt Trái Đất đến bề mặt Mặt Trăng phản xạ và trở lại Trái Đất mất thời gian 2,5 giây. Vận tốc truyền của tín hiệu là c = 3.108 m/s. Coi Trái Đất và Mặt Trăng có dạng hình cầu, bán kính lần lượt là RĐ = 6400 km, RT = 1740 km. Khoảng cách giữa tâm Trái Đất và tâm Mặt Trăng bằng:
A. 375000 km.
B. 366860 km.
C. 383140 km.
D. 758140 km.
Lời giải:
Đáp án: C.
HD Giải: Khoảng cách từ bề mặt trái đất đến bề mặt mặt trăng là:
Khoảng cách từ tâm Trái đất đến tâm Mặt trăng: D = 6400 + 375000 + 1740 = 383140 km.
Bài 19: Lúc 10 giờ có một xe xuất phát từ A đi về B với vận tốc 50 km/giờ. Lúc 10 giờ 30 phút một xe khác xuất phát từ B đi về A với vận tốc 80 km/giờ. Cho AB = 200 km. Lúc 11 giờ, hai xe cách nhau
A. 150 km.
B. 100 km.
C. 160 km.
D. 110 km.
Lời giải:
Đáp án: D.
HD Giải: Gọi người 1 là người xuất phát từ A, người 2 là người xuất phát từ B.
Chọn gốc tọa độ tại A: x01 = 0, x02 = 200 km
Chọn chiều dương từ A đến B: v01 = 50 km/h, v02 = -80 km/h
Chọn gốc thời gian lúc 10 giờ: t01 = 0, t02 = 0,5h
Phương trình chuyển động của 2 xe:
Lúc 11h, tức t = 1h:
Khoảng cách giữa 2 xe lúc này : d = |x1 - x2| = |50 - 160| = 110 km.
Bài 20: Hai người đi bộ theo một chiều trên một đường thẳng AB, cùng xuất phát tại vị trí A, với vận tốc lần lượt là 1,5 m/s và 2,0 m/s, người thứ hai đến B sớm hơn người thứ nhất 5,5 phút. Quãng đường AB dài
A. 220 m.
B. 1980 m.
C. 283 m.
D. 1155 m.
Lời giải:
Đáp án: B.
HD Giải: Chọn gốc tọa độ ở A: x01 = x02 = 0
Chọn chiều dương từ A đến B: v1 = 1,5 m/s ; v2 = 2,0 m/s
Gốc thời gian là lúc 2 người cùng xuất phát.
Phương trình chuyển động của 2 người:
Đến B: x1 = x2 = AB
Mà t1 – t2 = 5,5.60 = 330s.
⇒ t1 = 1320 s, t2 = 990 s → AB = 1,5.1320 = 1980 m.
Bài 21: Hai xe chạy ngược chiều đến gặp nhau, cùng khởi hành một lúc từ hai địa điểm A và B cách nhau 120km. Vận tốc của xe đi từ A là 40 km/h, của xe đi từ B là 20 km/h. Phương trình chuyển động của hai xe khi chọn trục toạ độ Ox hướng từ A sang B, gốc O ≡ A là:
A. xA = 40t (km); xB = 120 + 20t (km).
B. xA = 40t (km); xB = 120 – 20t (km).
C. xA = 120 + 40t (km); xB = 20t (km).
D. xA = 120 – 40t (km); xB = 20t (km).
Lời giải:
Đáp án: B.
HD Giải: Chọn gốc tọa độ tại A: x01 = 0, x02 = 120 km.
Chọn gốc thời gian lúc 2 xe cùng xuất phát.
Chiều dương hướng từ A sang B: vA = 40 km/h, vB = -20 km/h.
Phương trình chuyển động của 2 xe:
Bài 22: Một ôtô đang chuyển động với vận tốc 72 km/h thì hãm phanh chuyển động chậm dần đều và dừng lại sau 20s. Chọn chiều dương là chiều chuyển động của ôtô. Sau 10s kể từ lúc hãm phanh, ôtô đi được quãng đường:
A. 150 m.
B. 200 m.
C. 250 m.
D. 100 m.
Lời giải:
Đáp án: A.
HD Giải: Đổi 72 km/h = 20 m/s
Khi dừng lại thì v = 0, ta có: v = v0 + at → 0 = 20 + 20a → a = -1 m/s2.
Quãng đường vật đi được sau 10s hãm phanh:
S = 20.10 + 0,5.(-1).102 = 150 m.
Bài 23: Một vật chuyển động nhanh dần đều với vận tốc đầu v0 = 0. Trong giây thứ nhất vật đi được quãng đường s1 = 10 m. Trong giây thứ hai vật đi được quãng đường bằng:
A. 40 m.
B. 10 m.
C. 30 m.
D. 50 m.
Lời giải:
Đáp án: C.
HD Giải: Trong 1 s đầu vật đi được quãng đường: S1 = 0,5.a.12 = 10 → a = 20 m/s2
Quãng đường vật đi được trong giây thứ hai = Quãng đường vật đi được trong 2s đầu – quãng đường vật đi được trong 1s đầu: s = s2 – s1 = 0,5.20.22 – 10 = 30 m.
Bài 24: Một vật đang đứng yên bắt đầu chuyển động nhanh dần đều với gia tốc 20 m/s2 và đi được quãng đường dài 100 m mất thời gian là t (s). Gọi S1 là quãng đường vật đi được trong thời gian 0,5t (s) đầu tiên và S2 là quãng đường vật đi được trong thời gian 0,5t (s) còn lại. Tỉ số S1/S2 bằng:
A. 1/2.
B. 1/3.
C. 1/4.
D. 1/6.
Lời giải:
Đáp án: B.
HD Giải: Ta có: 100 = 0,5.20.t2
S1 = 0,5.20.(0,5t)2
Chia vế – vế:
→ S1 = 25m → S2 = 100 – 25 = 75 m.
Bài 25: Một vật chuyển động trên đường thẳng theo phương trình x = -t2 + 2t(m/s). Tốc độ trung bình từ thời điểm t1 = 0,75 s đến t2 = 3 s bằng:
A. 3,6 m/s.
B. 9,2 m/s.
C. 2,7 m/s.
D. 1,8 m/s.
Lời giải:
Đáp án: D.
HD Giải: Từ phương trình của x → v0 = 2.a = -2 m/s2.
→ phương trình vận tốc: v = 2 – 2t m/s.
Vật đổi chiều khi v = 0 → t = 1s → x = -12 + 2.1 = 1 m.
Nên trong khoảng thời gian từ t1 đến t2 vật đã đổi chiều chuyển động.
Tổng quãng đường mà vật đi được là:
Vận tốc trung bình trong khoảng thời gian đó là:
Bài 26: Đồ thị vận tốc theo thời gian của chuyển động thẳng như hình vẽ. Chuyển động thẳng nhanh dần đều là đoạn:
A. MN.
B. NO.
C. OP.
D. PQ.
Lời giải:
Đáp án: D.
HD Giải: Đoạn MN vật chuyển động đều.
Đoạn NO vật chuyển động chậm dần đều.
Đoạn OP vật chuyển động đều.
Đoạn PQ vật chuyển động nhanh dần đều.
Bài 27: Chuyển động của một vật có đồ thị vận tốc theo thời gian như hình vẽ. Tổng quãng đường vật đã đi bằng:
A. 240 m.
B. 140 m.
C. 120 m.
D. 320 m.
Lời giải:
Đáp án: A.
HD Giải: Đoạn OA: cđ nhanh dần đều:
Đoạn AB: cđ đều v = 4 m/s → s2 = v.t = 4.(20 – 10) = 40 m.
Đoạn BC: cđ nhanh dần đều:
Đoạn CD: cđ chậm dần đều:
Đoạn DE: cđ chậm dần đều:
Đoạn EF: cđ nhanh dần đều:
→ Tổng quãng đường vật đi được: s = 20 + 40 + 60 + 80 + 20 + 20 = 240 m.
Cách giải khác: Tổng quãng đường vật đã đi bằng tổng diện tích hình đa giác OABCD và tam giác DEF = 12 ô vuông = 12.2.10 = 240m.
Bài 28: Xe ô tô khởi hành từ A bắt đầu chuyển động nhanh dần đều trên đường thẳng và đi được đoạn đường S trong 150 giây. Thời gian vật đi 3/4 quãng đường cuối là:
A. 50s.
B. 25s.
C. 75s.
D. 100s.
Lời giải:
Đáp án: C.
HD Giải: Ta có: S = 0,5.a.1502
Thời gian vật đi 1/4 S đầu là:
→ Thời gian vật đi 3/4 S cuối = 150 – 75 = 75 s.
Bài 29: Một người đứng ở sân ga nhìn đoàn tàu bắt đầu chuyển bánh nhanh dần đều trên một đường thẳng thì thấy toa thứ nhất đi qua trước mặt mình trong 3 giây. Trong thời gian Δt toa thứ 15 đi qua trước mặt người ấy, Δt gần giá trị nào nhất sau đây?
A. 0,4s.
B. 0,5s.
C. 0,3s.
D. 0,7s.
Lời giải:
Đáp án: A.
HD Giải: Gọi chiều dài của 1 toa là l. Ta có:
Thời gian 14 toa chạy qua:
Thời gian 15 toa chạy qua:
→ Khoảng thời gian toa thứ 15 đi qua: Δt = t15 – t14 = 3√15 – 3√14 ≈ 0,4 s.
Bài 30: Một vật chuyển động thẳng nhanh dần đều với gia tốc 5 m/s2 và vận tốc ban đầu 10 m/s. Quãng đường vật đi được trong giây thứ 5 là:
A. 22,5 m.
B. 50 m.
C. 35,6 m.
D. 28,7 m.
Lời giải:
Đáp án: A.
HD Giải: Phương trình quãng đường đi được của vật: S = 10 + 0,5.5.t2 = 10 + 2,5t2
Quãng đường vật đi được trong 5s đầu: S5 = 10 + 2,5.52 = 72,5 m
Quãng đường vật đi được trong 4s đầu: S4 = 10 + 2,5.42 = 50 m
→ Quãng đường vật đi được trong giây thứ 5 = 72,5 – 50 = 22,5 m.
Bài 31: Hai điểm A và B cách nhau 200 m, tại A một ô tô có vận tốc 3 m/s và đang chuyển động nhanh dần đều với gia tốc 2 m/s2 đi đến B. Cùng lúc đó một ô tô khác bắt đầu đi từ B về A với gia tốc 2 m/s2. Hai xe gặp nhau cách A:
A. 85,75 m.
B. 98,25 m.
C. 105,32 m.
D. 113,88 m.
Lời giải:
Đáp án: D.
HD Giải: Chọn gốc tọa độ tại A, chiều dương từ A đến B; gốc thời gian lúc 2 xe cùng xuất phát.
Phương trình chuyển động của 2 xe là:
xA = 3.t + 0,5.2.t2 = 3t + t2
xB = 200 – 0.t - 0,5.2.t2 = 200 - t2
(ô tô bắt đầu xuất phát từ B về A nhanh dần đều nên v0B = 0 theo chiều âm → aB < 0)
Hai xe gặp nhau: xA = xB → 3t + t2 = 200 - t2 → t = 9,28 s
Thay lên xB = 200 – 9,282 ≈ 113,88 m.
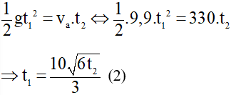
Bài 32: Để ước lượng độ sâu của một giếng cạn nước, một người dùng đồng hồ bấm giây, ghé sát tai vào miệng giếng và thả một hòn đá rơi tự do từ miệng giếng; sau 3s thì người đó nghe thấy tiếng hòn đá đập vào đáy giếng. Giả sử tốc độ truyền âm trong không khí là 330 m/s, lấy g = 9,9 m/s2. Độ sâu định lượng của giếng nước đó là:
A. 43 m.
B. 45 m.
C. 39 m.
D. 41 m.
Lời giải:
Đáp án: D.
HD Giải: Ta có 3 s là thời gian để viên đá rơi nhanh dần đều xuống vực phát ra âm thanh và thời gian để âm thanh chuyển động đều từ vực đến tai người nghe: t1 + t2 = 3 s (1)
Quãng đường đá rơi = quãng đường âm thanh truyền:
Từ (1) và (2), suy ra: t2 = 0,124 s; t1 = 2,875 s
Độ cao từ vách núi xuống đáy vực: S = va.t2 = 330.0,124 = 40,92 m.
Bài 33: Một vật được ném từ mặt đất lên cao theo phương thẳng đứng với vận tốc 40 m/s. Lấy g = 10 m/s2, bỏ qua sức cản của không khí. Thời gian từ lúc ném đến khi vật chạm đất là:
A. 4s.
B. 3s.
C. 5s.
D. 8s.
Lời giải:
Đáp án: D.
HD Giải: Chọn trục tọa độ thẳng đứng, gốc tọa độ tại vị trí ném, chiều dương hướng lên.
Phương trình chuyển động của vật: x = 40t – 0,5.10.t2 = 40t – 5t2.
Khi vật chạm đất x = 0 → 40t – 5t2 = 0 → t = 8s.
Bài 34: Một vật được thả rơi tự do từ độ cao 50 m. Lấy g = 10 m/s2. Sau khi rơi được 0,75s thì vật còn cách đất bao xa?
A. 47,1875 m.
B. 14 m.
C. 37,5 m.
D. 12,5 m.
Lời giải:
Đáp án: A.
HD Giải: Chọn gốc tọa độ tại vị trí thả, chiều dương hướng xuống, gốc thời gian là lúc thả vật.
Phương trình chuyển động của vật là: x = 0,5.10.t2
Tại t = 0,75 s có x = 2,8125 m
→ Vật cách đất: 50 – 2,8125 = 47,1875 m.
Bài 35: Một vật được thả rơi tự do ở nơi có gia tốc trọng trường g = 10 m/s2. Thời gian từ lúc thả đến khi chạm đất là 8s. Thời gian vật rơi 10 m cuối cùng trước khi chạm đất là:
A. 0,253s.
B. 0,187s.
C. 0,126s.
D. 0,250s.
Lời giải:
Đáp án: C.
HD Giải: Độ cao của vật: H = 5.82 = 320 m
Thời gian vật rơi 10m cuối cùng:
10 = 320 – 0,5.10.(8 – Δt)2 → Δt = 0,126 s.
Bài 36: Vật 1 rơi tự do từ độ cao 100 m. Cùng lúc đó, vật 2 được ném thẳng đứng xuống từ độ cao 150 m với vận tốc v0. Biết hai vật chạm đất cùng một lúc. Giá trị v0 bằng:
A. 4√3 m/s.
B. 7√2 m/s.
C. 2√7 m/s.
D. 5√5 m/s.
Lời giải:
Đáp án: D.
HD Giải: Chọn trục tọa độ thẳng đứng, chiều dương hướng xuống, gốc tọa độ tại vị trí ném vật 2, gốc thời gian là lúc thả vật 1. Phương trình chuyển động của 2 vật là:
x1 = 50 + 0,5.10.t2 = 50 + 5t2 (1)
x2 = v0t + 5t2 (2)
Hai vật chạm đất cùng một lúc tại x1 = x2 = 150 m
Thay lên (1): 150 = 50 + 5t2 ⇒ t = 2√5 s
Thay lên (2): 150 = v0.2√5 + 5.(2√5)2 → v0 = 5√5 m/s.
Bài 37: Tại mặt đất, hai vật được ném thẳng đứng lên cao với cùng vận tốc v0 = 40 m/s, vật thứ 2 ném sau vật 1 là 3s. Lấy g = 10m/s2, bỏ qua sức cản của không khí. Hai vật gặp nhau sau khi ném ở độ cao:
A. 75,63 m.
B. 48,75 m.
C. 56,43 m.
D. 87,25 m.
Lời giải:
Đáp án: B.
HD Giải: Chọn trục tọa độ thẳng đứng, gốc tọa độ tại mặt đất, chiều dương hướng lên, gốc thời gian là lúc ném vật 1. Phương trình chuyển động của 2 vật là:
x1 = 40t – 0,5.10.t2 = 40t – 5t2
x2 = 40t – 0,5.10(t – 3)2 = 40t – 5(t – 3)2
Hai vật gặp nhau: x1 = x2 → 40t – 5t2 = 40t – 5(t - 3)2 → t = 1,5 s
→ x1 = x2 = 40.1,5 – 5.1,52 = 48,75 m.
Bài 38: Một vật rơi tự do từ độ cao h, trong giây cuối cùng trước lúc chạm mặt đất vật đi được quãng đường gấp 1,5 lần quãng đường vật đi được trong giây trước đó. Lấy g = 10 m/s2. Độ cao h gần giá trị nào nhất sau đây?
A. 17 m.
B. 85 m.
C. 61 m.
D. 58 m.
Lời giải:
Đáp án: C.
HD Giải: Gọi t là thời gian vật rơi. Trong giây cuối cùng trước lúc chạm mặt đất vật đi được quãng đường gấp 1,5 lần quãng đường vật đi được trong giây trước đó:
0,5.10.t2 – 0,5.10.(t - 1)2 = 1,5[0,5.10.(t – 1)2 – 0,5.10.(t - 2)2] ⇒ t = 3,5 s
⇒ Độ cao h = 0,5.10.3,52 = 61,25 m.
Bài 39: Vật 1 được ném lên thẳng đứng với vận tốc 10 m/s. Cùng lúc đó tại điểm có độ cao bằng độ cao cực đại mà vật 1 lên tới, người ta ném xuống thẳng đứng vật 2 cùng vận tốc 10 m/s. Lấy g = 10m/s2. Bỏ qua lực cản của không khí. Hai vật gặp nhau sau thời gian:
A. 0,5s.
B. 0,75s.
C. 0,15s.
D. 0,25s.
Lời giải:
Đáp án: D.
HD Giải: Chọn trục tọa độ thẳng đứng, chiều dương hướng lên, gốc tọa độ tại mặt đất, gốc thời gian là lúc 2 vật cùng chuyển động. Phương trình chuyển động của 2 vật là:
x1 = 10.t – 0,5.10.t2 = 10t – 5t2, v1 = 10 – 10.t
x2 = H1 max – 10t – 0,5.10.t2
Vật 1 lên đến độ cao cực đại thì v1 = 0 → 10 – 10t = 0 → t = 1 s
→ Hmax = 10.1 – 5.12 = 5 m
Hai vật gặp nhau: x1 = x2 → 10t – 5t2 = 5 – 10t – 5t2 ⇒ t = 0,25 s.
Bài 40: Một đồng hồ có kim giờ dài 3 cm, kim phút dài 4 cm. Tỉ số tốc độ dài của hai điểm ở hai đầu kim là:
Lời giải:
Đáp án: B.
HD Giải: Xét khoảng thời gian 1 giờ thì kim phút quay được 1 vòng, kim giờ quay được 30o = π/6 rad.
Để học tốt lớp 10 các môn học sách mới:
- Giải bài tập Lớp 10 Kết nối tri thức
- Giải bài tập Lớp 10 Chân trời sáng tạo
- Giải bài tập Lớp 10 Cánh diều
Tủ sách VIETJACK shopee lớp 10-11 (cả 3 bộ sách):
Đã có app VietJack trên điện thoại, giải bài tập SGK, SBT Soạn văn, Văn mẫu, Thi online, Bài giảng....miễn phí. Tải ngay ứng dụng trên Android và iOS.
Theo dõi chúng tôi miễn phí trên mạng xã hội facebook và youtube:Nếu thấy hay, hãy động viên và chia sẻ nhé! Các bình luận không phù hợp với nội quy bình luận trang web sẽ bị cấm bình luận vĩnh viễn.
- Giải Tiếng Anh 10 Global Success
- Giải Tiếng Anh 10 Friends Global
- Giải sgk Tiếng Anh 10 iLearn Smart World
- Giải sgk Tiếng Anh 10 Explore New Worlds
- Lớp 10 - Kết nối tri thức
- Soạn văn 10 (hay nhất) - KNTT
- Soạn văn 10 (ngắn nhất) - KNTT
- Soạn văn 10 (siêu ngắn) - KNTT
- Giải sgk Toán 10 - KNTT
- Giải sgk Vật lí 10 - KNTT
- Giải sgk Hóa học 10 - KNTT
- Giải sgk Sinh học 10 - KNTT
- Giải sgk Địa lí 10 - KNTT
- Giải sgk Lịch sử 10 - KNTT
- Giải sgk Kinh tế và Pháp luật 10 - KNTT
- Giải sgk Tin học 10 - KNTT
- Giải sgk Công nghệ 10 - KNTT
- Giải sgk Hoạt động trải nghiệm 10 - KNTT
- Giải sgk Giáo dục quốc phòng 10 - KNTT
- Lớp 10 - Chân trời sáng tạo
- Soạn văn 10 (hay nhất) - CTST
- Soạn văn 10 (ngắn nhất) - CTST
- Soạn văn 10 (siêu ngắn) - CTST
- Giải Toán 10 - CTST
- Giải sgk Vật lí 10 - CTST
- Giải sgk Hóa học 10 - CTST
- Giải sgk Sinh học 10 - CTST
- Giải sgk Địa lí 10 - CTST
- Giải sgk Lịch sử 10 - CTST
- Giải sgk Kinh tế và Pháp luật 10 - CTST
- Giải sgk Hoạt động trải nghiệm 10 - CTST
- Lớp 10 - Cánh diều
- Soạn văn 10 (hay nhất) - Cánh diều
- Soạn văn 10 (ngắn nhất) - Cánh diều
- Soạn văn 10 (siêu ngắn) - Cánh diều
- Giải sgk Toán 10 - Cánh diều
- Giải sgk Vật lí 10 - Cánh diều
- Giải sgk Hóa học 10 - Cánh diều
- Giải sgk Sinh học 10 - Cánh diều
- Giải sgk Địa lí 10 - Cánh diều
- Giải sgk Lịch sử 10 - Cánh diều
- Giải sgk Kinh tế và Pháp luật 10 - Cánh diều
- Giải sgk Tin học 10 - Cánh diều
- Giải sgk Công nghệ 10 - Cánh diều
- Giải sgk Hoạt động trải nghiệm 10 - Cánh diều
- Giải sgk Giáo dục quốc phòng 10 - Cánh diều


Giải bài tập SGK & SBT
Tài liệu giáo viên
Sách
Khóa học
Thi online
Hỏi đáp

