100 câu trắc nghiệm Động lực học chất điểm có lời giải (nâng cao - phần 1)
Với 100 câu trắc nghiệm Động lực học chất điểm (nâng cao - phần 1) có lời giải chi tiết sẽ giúp học sinh ôn tập, biết cách làm câu trắc nghiệm Động lực học chất điểm (nâng cao - phần 1)
100 câu trắc nghiệm Động lực học chất điểm có lời giải (nâng cao - phần 1)
(199k) Học Vật Lí 10 KNTTHọc Vật Lí 10 CDHọc Vật Lí 10 CTST
Bài 1: Một chất điểm đứng yên dưới tác dụng của 3 lực 12 N, 15 N, 9 N. Hỏi góc giữa 2 lực 12 N và 9 N bằng bao nhiêu?
A. 30o.
B. 90o.
C. 60o.
D. 120o.
Lời giải:
Đáp án: B.
HD Giải: Chất điểm đứng yên khi ba hợp lực của ba lực bằng 0. Vậy hợp lực của hai lực 12 N và 9 N sẽ có độ lớn là 15 N.
Ta có: 152 = 122 + 92 + 2.12.9.cosα
→ α = 90o
Bài 2: Ba lực có cùng độ lớn bằng 20 N trong đó F1 và F2 hợp với nhau góc 60o. Lực F3 vuông góc mặt phẳng chứa F1, F2. Hợp lực của ba lực này có độ lớn là:
A. 25 N.
B. 30 N.
C. 25 N.
D. 40 N.
Lời giải:
Đáp án: D.
Hợp lực của F1 và F2 là:
F12 = 2.F1.cosα/2 = 2.20.cos30o = 20√3 N
F3 vuông góc với mặt phẳng chứa F1 và F2 nên F3 vuông góc với F12.
Hợp lực của ba lực chính là hợp lực của F12 và F3.
Ta có:
Bài 3: Chọn câu đúng: Hợp lực của hai lực có độ lớn F và 2F có thể:
A. nhỏ hơn F.
B. lớn hơn 3F.
C. vuông góc với lực F.
D. vuông góc với lực 2F.
Lời giải:
Đáp án: C.
HD Giải: Hợp lực F của hai lực có độ lớn là F2 = F12 + F22 + 2.F1.F2.cosα (α là góc hợp bởi hai lực).
→ Fmax → cosα = 1 hay α = 0o
Fmin → cosα = -1 hay α = 180o
→ Fmax = F + 2F = 3F; Fmin = |F – 2F| = F
→ Fmin ≤ Fhl ≤ Fmax → F ≤ Fhl ≤ 3F → A, B sai.
- Nếu Fhl→ ⊥ 2F→ thì Fhl2 + (2F)2 = F2 (vô lý).
- Nếu Fhl→ ⊥ F→ thì Fhl2 + (F)2 = (2F)2 (có thể xảy ra khi Fhl = √3F).
Bài 4: Một vật chịu 4 lực tác dụng: lực F1 = 40 N hướng về phía Đông, lực F2 = 50 N hướng về phía Bắc, lực F3 = 70 N hướng về phía Tây, lực F4 = 90 N hướng về phía Nam. Độ lớn của hợp lực tác dụng lên vật là bao nhiêu?
A. 50 N.
B. 170 N.
C. 131 N.
D. 250 N.
Lời giải:
Đáp án: A.
HD Giải: Lực F1 và F3 cùng phương, ngược chiều ta có F13 = |F1 – F3| = 30N.
Tương tự ta có: F24 = |F2 – F4| = 40N.
F13; F24 có phương vuông góc với nhau nên:
Bài 5: Một đèn tín hiệu giao thông được treo ở một ngã tư nhờ một dây cáp có trọng không đáng kể. Hai đầu dây cáp được giữ bằng hai cột đèn AB và A’B’, cách nhau 8 m. Đèn nặng 60 N, được treo vào điểm giữa O của dây cáp, làm dây võng xuống 0,5 m tại điểm giữa như hình. Tính lực kéo của mỗi nửa dây.
A. 60 N và 60 N.
B. 120 N và 240 N.
C. 120 N và 120N.
D. 240 N và 240 N.
Lời giải:
Đáp án: D.
Đèn chịu tác dụng của 3 lực như hình. Do đèn treo ở điểm giữa dây nên lực kéo của mỗi nửa dây là như nhau hay T1 = T2.
Gọi T là hợp lực của dây cáp ta có: T→= T1→+ T2→
→ T1 = T2 = 4T (1)
Đèn cân bằng → P→+ T1→+ T2→= 0→ ⇔ P→+ T→= 0→
T = P = mg = 60N.
Thay vào (1) → T1 = T2 = 4T = 240N.
Bài 6: Cho vật được đỡ bởi hai thanh như hình vẽ. Biết gia tốc trọng trường g = 10 m/s2. Lực do thanh (1) tác dụng lên vật là 50 N. Khối lượng vật là:
A. 2,5 kg.
B. 5 kg.
C. 7,5 kg.
D. 10 kg.
Lời giải:
Đáp án: B.
Điều kiện cân bằng của vật là: R1→+ R2→+ P→ = 0→
→ R→+ T→= 0→ → P = R
Ta có:
→ R = R1 = 50N
→ P = mg = 50N → m = 5kg.
Bài 7: Một vật được giữ như trên hình. Vật nặng 5 kg và lực do thanh tác dụng lên vật là 25 N. Xác định góc α, biết g = 10 m/s2.
A. 60o.
B. 30o.
C. 45o.
D. 15o.
Lời giải:
Đáp án: B.
Từ hình ta thấy vật gắn với điểm (2) là thanh.
Điều kiện cân bằng của vật là: T→+ R→+ P→ = 0→
→ FTR→+ P→ = 0→ → FTR = P = mg = 50N
Ta có:
→ α = 30o.
Bài 8: Một vật được treo như hình vẽ. Biết vật có P = 80 N, α = 30o. Lực căng của dây là bao nhiêu?
A. 40 N.
B. 40√3 N.
C. 80 N.
D. 80√3 N.
Lời giải:
Đáp án: A.
Các lực tác dụng lên vật là lực căng T→ của dây treo, trọng lực P→ và phản lực N→, được biểu diễn như hình vẽ.
Trong đó, trọng lực P→ được phân tích thành hai lực thành phần là P1→; P2→. Để vật đứng cân bằng thì hợp lực của tất cả các lực tác dụng lên vật bằng 0. Có nghĩa là:
P1→+ P2→+ T→+ N→= 0
→ T = P2 = P.sinα = 80.sin30o = 40N.
Bài 9: Một quả cầu có khối lượng 1,5 kg được treo vào tường nhờ một sợi dây; dây hợp với tường góc α = 45o. Cho g = 9,8 m/s2. Bỏ qua ma sát ở chỗ tiếp xúc giữa quả cầu và tường, lực ép của quả cầu lên tường là:
A. 20 N.
B. 10,4 N.
C. 14,7 N.
D. 17 N.
Lời giải:
Đáp án: C.
Các lực tác dụng lên vật là lực căng T→ của dây treo, trọng lực P→ và phản lực N→, được biểu diễn như hình vẽ.
Trong đó, lực căng T→ được phân tích thành hai lực thành phần là TX→ và TY→. Để vật đứng cân bằng thì hợp lực của tất cả các lực tác dụng lên vật bằng 0. Có nghĩa là:
TX→+ TY→+ P→+ N→= 0
Vậy |TY| = |P| → T.cosα = m.g → T = m.g/cosα
|N| = |TX| = T.sinα = m.g.tanα = m.g = 14,7 N.
Bài 10: Một quả cầu có khối lượng 2,5 kg được treo vào tường nhờ một sợi dây. Dây hợp với tường góc α = 60o. Cho g = 9,8 m/s2; bỏ qua ma sát ở chỗ tiếp xúc giữa quả cầu và tường, lực căng T của dây treo là:
A. 49 N.
B. 12,25 N.
C. 24,5 N.
D. 30 N.
Lời giải:
Đáp án: A.
Các lực tác dụng lên vật là lực căng T→ của dây treo, trọng lực P→ và phản lực N→, được biểu diễn như hình vẽ.
Trong đó, lực căng T→ được phân tích thành hai lực thành phần là TX→ và TY→. Để vật đứng cân bằng thì hợp lực của tất cả các lực tác dụng lên vật bằng 0. Có nghĩa là:
TX→+ TY→+ P→+ N→= 0
Vậy |Ty| = |P| → T.cosα = m.g
→ T = m.g/cosα = 49 N.
Bài 11: Một vật có khối lượng 1 kg được giữ yên trên mặt phẳng nghiêng bởi một sợi dây song song với đường dốc chính. Biết α = 60o. Cho g = 9,8 m/s2. Lực ép của vật lên mặt phẳng nghiêng là:
A. 9,8 N.
B. 4,9 N.
C. 19,6 N.
D. 8,5 N.
Lời giải:
Đáp án: B.
Các lực tác dụng lên vật là lực căng T→ của dây treo, trọng lực P→ và phản lực N→, được biểu diễn như hình vẽ.
Trong đó, trọng lực P→ được phân tích thành hai lực thành phần là P1→; P2→. Để vật đứng cân bằng thì hợp lực của tất cả các lực tác dụng lên vật bằng 0. Có nghĩa là:
P1→+ P2→+ T→+ N→= 0
Vậy |Py| = |N| → P.cosα = N
→ N = m.g.cos60o = 4,9 N.
Bài 12: Một quả bóng có khối lượng 500 g đang nằm trên mặt đất thì bị đá bằng một lực 200 N. Nếu thời gian quả bóng tiếp xúc với bàn chân là 0,02s thì bóng sẽ bay đi với tốc độ bằng:
A. 0,008 m/s.
B. 2 m/s.
C. 8 m/s.
D. 0,8 m/s.
Lời giải:
Đáp án: C.
HD Giải: Theo định luật II Niu - tơn:
Thời gian bóng tiếp xúc với bàn chân là thời gian bóng được truyền gia tốc. Vậy vận tốc của bóng khi bay đi là: v = v0 + at = 0 + 400.0,02 = 8 (m/s)
Bài 13: Một hợp lực 2N tác dụng vào 1 vật có khối lượng 2kg lúc đầu đứng yên, trong khoảng thời gian 2s. Đoạn đường mà vật đó đi được trong khoảng thời gian đó là:
A. 8 m.
B. 2 m.
C. 1 m.
D. 4 m.
Lời giải:
Đáp án: B.
HD Giải: Gia tốc mà vật thu được là:
Đoạn đường mà vật đi được là:
Bài 14: Một vật có khối lượng m = 4 kg đang ở trạng thái nghỉ được truyền một hợp lực F = 8N. Quãng đường vật đi được trong khoảng thời gian 5s đầu bằng:
A. 30 m.
B. 25 m.
C. 5 m.
D. 50 m.
Lời giải:
Đáp án: B.
HD Giải: Định luật II: F = m.a → a = F/m = 2 (m/s2)
Quãng đường vật đi được trong 5s đầu tiên là:
Bài 15: Vật đứng yên bắt đầu chuyển động nhanh dần đều, biết sau khi đi được 1m thì vận tốc của vật là 100cm/s. Xác định độ lớn của lực tác dụng vào vật cho biết khối lượng của vật là 100kg.
A. F = 25N.
B. F = 40N.
C. F = 50N.
D. F = 65N.
Lời giải:
Đáp án: C.
HD Giải: Áp dụng công thức độc lập thời gian ta có: v2 - v02 = 2as
Định luật II Niu tơn có F = ma = 100.0,5 = 50 N.
Bài 16: Lực F truyền cho vật khối lượng m1 gia tốc 2 m/s2 truyền cho vật khối lượng m2 gia tốc 6m/s2. Lực F sẽ truyền cho vật khối lượng m = m1 + m2 gia tốc:
A. 1,5 m/s2.
B. 2 m/s2.
C. 4 m/s2.
D. 8 m/s2.
Lời giải:
Đáp án: A.
Định luật II: F = ma = 2m1 = 6m2 → m1 = 3m2
Vật có khối lượng (m1 + m2) có gia tốc a’ → F = (m1 + m2).a’ = 4m2.a’
→ 4m2.a’ = 6m2 → a’ = 1,5 (m/s2).
Bài 17: Một chiếc xe có khối lượng m = 100 kg đang chạy với vận tốc 30,6 km/h thì hãm phanh. Biết lực hãm phanh là 250N. Quãng đường hãm phanh là:
A. 14,45 m.
B. 20 m.
C. 10 m.
D. 30 m.
Lời giải:
Đáp án: A.
HD Giải: Ta có 30,6 km/h = 8,5 m/s.
Định luật II: F→= m.a→
(ở đây lực F là lực hãm nên ngược chiều với a)
Áp dụng công thức độc lập thời gian: v2 – v02 = 2as
Bài 18: Một vật khối lượng 2kg đang chuyển động với vận tốc 18km/h thì bắt đầu chịu tác dụng của lực 4N theo chiều chuyển động. Tìm đoạn đường vật đi được trong 10s đầu tiên.
A. 120 m.
B. 160 m.
C. 150 m.
D. 175 m.
Lời giải:
Đáp án: C.
HD Giải: Ta có v = 18 km/h = 5 m/s.
Định luật II: F = ma → a = F/m = 2 m/s2
Quãng đường vật đi được trong 10s là: s = v0t + 0,5.at2 = 5.10 + 0,5.2.100 = 150 m.
Bài 19: Hai quả cầu bằng chì mỗi quả có khối lượng 45 kg, bán kính 10 cm. Lực hấp dẫn giữa chúng có thể đạt giá trị lớn nhất là:
A. 1,35.10-5 N.
B. 1,35.10-7 N.
C. 3,38.10-5 N.
D. 3,38.10-6 N.
Lời giải:
Đáp án: D.
HD Giải: Ta có m1 = m2 = 45 kg; R = 0,1 m
Lực hấp dẫn giữa hai quả cầu là:
Để lực hấp dẫn lớn nhất thì khoảng cách giữa hai quả nhỏ nhất → r = 2R = 0,2 m.
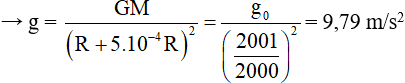
Bài 20: Tính gia tốc rơi tự do ở độ cao 3200 m và ở độ cao 3200 km so với mặt đất. cho biết bán kính của trái đất là 6400 km và gia tốc rơi tự do ở mặt đất là 9,8 m/s2.
A. 9,79 m/s2, 4,36 m/s2.
B. 9,79 m/s2; 6,53 m/s2.
C. 14,7 m/s2; 9,8 m/s2.
D. 9,8 m/s2; 14,7 m/s2.
Lời giải:
Đáp án: A.
HD Giải: Ta có:
- Khi h = 0 thì:
- Khi h = 3200 → h = 5.10-4R
- Khi h = 3200 km → h = 0,5R
Bài 21: Coi cả trái đất và mặt trăng đều có dạng hình cầu với khối lượng riêng bằng nhau. Bán kính trái đất là R = 6400 km, G = 6,67.10-11 Nm2/kg2. Biết trọng lượng của một vật trên mặt trăng bị giảm 6 lần so với trọng lượng của nó trên mặt đất. Tính bán kính mặt trăng?
A. 1067 km.
B. 2613 km.
C. 2133 km.
D. 3200 km.
Lời giải:
Đáp án: A.
HD Giải: Trọng lượng vật trên trái đất:
Trọng lượng của vật trên mặt trăng là:
P = 6P’
Lại có:
Bài 22: Một con tàu vũ trụ bay thẳng hướng từ trái đất (TĐ) tới mặt trăng (MT). Hỏi khi con tàu ở cách tâm TĐ một khoảng cách bằng bao nhiêu lần bán kính trái đất thì lực hút của TĐ và của MT lên con tàu cân bằng nhau. Biết khoảng cách từ tâm TĐ đến tâm MT gấp 60 lần bán kính TĐ và khối lượng của mặt trăng nhỏ hơn khối lượng trái đất 81 lần, G = 6,67.10-11 Nm2/kg2.
A. 57R.
B. 6R.
C. 13,5R.
D. 54R.
Lời giải:
Đáp án: D.
HD Giải: Lực hấp dẫn do mặt trăng tác dụng lên tàu là:
Lực hấp dẫn do trái đất tác dụng lên tàu là:
FMT - T = FTD - T = G
Lại có: R1 + R2 = 60R (2)
Từ (1), (2) → 10R2/9 = 60R → R2 = 54R.
Bài 23: Trái Đất (TĐ) có khối lượng 6.1024 kg, Mặt Trăng (MT) có khối lượng 7,2.1022 kg. Bán kính quĩ đạo của Mặt Trăng là R = 3,84.108 m. Cho G = 6,67.10-11 Nm2/kg2. Trên đường thẳng nối tâm của TĐ và MT, vật cách TĐ bao xa thì bị hút về phía TĐ và MT với những lực bằng nhau?
A. 1,64.108 m.
B. 2.36.108 m.
C. 4,36.108 m.
D. 3,46.108 m.
Lời giải:
Đáp án: D.
HD Giải: Lực hấp dẫn do mặt trăng tác dụng lên vật là:
Lực hấp dẫn do trái đất tác dụng lên vật là:
FMT - V = FTD - V
Lại có: R1 + R2 = 3,84.108 (2)
Từ (1), (2)
→ R2 = 3,46.108 m.
Bài 24: Cho bán kính Trái Đất 6400 km và gia tốc rơi tự do ở sát mặt đất bằng 9,81 m/s2. Cho G = 6,67.10-11 Nm2/kg2. Tính gia tốc rơi tự do ở độ cao bằng 1/4 bán kính Trái Đất.
A. 2,45 m/s2.
B. 6,28 m/s2.
C. 7,85 m/s2.
D. 12,26 m/s2.
Lời giải:
Đáp án: B.
HD Giải: Ta có:
- Khi h = 0 thì:
- Khi h = R/4 thì:
Bài 25: Một vật khối lượng 1 kg, ở trên mặt đất có trọng lượng 10 N. Khi chuyển động tới một điểm cách tâm Trái Đất 2R (R là bán kính Trái Đất) thì nó có trọng lượng là:
A. 1 N.
B. 5 N.
C. 2,5 N.
D. 10 N.
Lời giải:
Đáp án: C.
HD Giải: Ta có: P = mg = 10 N.
Bài 26: Hai xe tải giống nhau, mỗi xe có khối lượng 2.104 kg, ở cách xa nhau 40 m. Hỏi lực hấp dẫn giữa chúng bằng bao nhiêu lần trọng lượng của mỗi xe? (Biết g = 9,8 m/s2)
A. 34.10-10.
B. 34.10-8.
C. 8,5.10-11.
D. 85.10-8.
Lời giải:
Đáp án: C.
HD Giải: Lực hấp dẫn giữa hai xe là:
Trọng lượng mỗi xe P = mg = 196000 N.
Bài 27: Gia tốc rơi tự do ở bề Mặt Trăng là g0 và bán kính Mặt Trăng là 1740 km. Ở độ cao h = 3480 km so với bề mặt Mặt Trăng thì gia tốc tự do tại đó bằng:
A. g0/3.
B. g0/9.
C. g0/12.
D. g0/2.
Lời giải:
Đáp án: B.
HD Giải: Ta có:
- Khi h = 0 ta có gia tốc rơi tự do tại bề mặt mặt trăng là:
- Gia tốc tại điểm có độ cao h = 3480 km = 2R là:
Bài 28: Lực hút của Trái Đất đặt vào một vật khi vật ở mặt đất là 45 N, khi vật ở độ cao h là 5 N. Chọn giá trị đúng của h:
A. 3R.
B. 2R.
C. 9R.
D. R/3.
Lời giải:
Đáp án: B.
HD Giải: Lực hấp dẫn đặt vào vật khi:
- Vật ở mặt đất là:
- Vật ở độ cao h là:
Bài 29: Nếu bán kính của hai quả cầu đồng chất và khoảng cách giữa tâm của chúng cùng giảm đi 2 lần, thì lực hấp dẫn giữa chúng thay đổi như thế nào?
A. giảm 8 lần.
B. giảm 16 lần.
C. tăng 2 lần.
D. không thay đổi.
Lời giải:
Đáp án: B.
HD Giải: Ban đầu lực hấp dẫn giữa hai vật là:
Khi bán kính của hai quả cầu và khoảng cách giữa chúng giảm 2 lần thì có:
- Thể tích quả cầu đồng chất:
⇒ R' = r/2 => V' = V/8 ⇒ m' = m/8 và r' = r/2
⇒ Lực hấp dẫn giữa hai vật:
⇒ Lực hấp dẫn bị giảm 16 lần.
Bài 30: Chia một vật khối lượng M thành 2 phần m1 và m2 rồi đặt chúng ở một khoảng cách xác định thì lực hấp dẫn giữa m1 và m2 lớn nhất khi:
A. m1 = 0,9M; m2 = 0,1M.
B. m1 = 0,8M; m2 = 0,2M.
C. m1 = 0,6M; m2 = 0,4M.
D. m1 = m2 = 0,5M.
Lời giải:
Đáp án: D.
HD Giải: Ta có m1 + m2 = M
Lực hấp dẫn:
Áp dụng bdt cauchy cho hai số không âm ta có:
Bài 31: Hai tàu thủy, mỗi chiếc có khối lượng 50000 tấn ở cách nhau 1 km. So sánh lực hấp dẫn giữa chúng với trọng lượng của một quả cân có khối lượng 20 g. Lấy g = 10m/s2.
A. Lớn hơn.
B. Nhỏ hơn.
C. Bằng nhau.
D. Chưa thể kết luận được.
Lời giải:
Đáp án: B.
HD Giải: 50000 tấn = 50000000 kg.
Lực hấp dẫn giữa hai tàu là:
Trọng lượng quả cầu là P = mg = 0,02.10 = 0,2 N → Fhd < P.
Bài 32: Chọn câu trả lời đúng. Ở độ cao nào so với mặt đất ,gia tốc rơi tự do có giá trị bằng một nửa gia tốc rơi tự do ở mặt đất? Cho biết bán kính Trái Đất R = 6400km.
A. 2550 km.
B. 2650 km.
C. 2600 km.
D. 2700 km.
Lời giải:
Đáp án: B.
HD Giải: Ta có:
- Khi h = 0 thì:
- Khi ở độ cao h thì:
→ h = (√2 - 1).R = 2650 km.
Bài 33: Cần phải tăng hay giảm khoảng cách giữa hai vật bao nhiêu để lực hút tăng 6 lần?
A. Tăng 6 lần.
B. Giảm 6 lần.
C. Tăng √6 lần.
D. Giảm √6 lần.
Lời giải:
Đáp án: D.
HD Giải: Lực hấp dẫn giữa hai vật là:
Để lực tăng 6 lần F' = 6F thì:
⇒ Cần giảm khoảng cách đi √6 lần.
Bài 34: Hãy tính gia tốc rơi tự do trên bề mặt của Mộc Tinh. Biết gia tốc rơi tự do trên bề mặt của Trái Đất là g0 = 9,81 m/s2; khối lượng của Mộc Tinh bằng 318 lần khối lượng Trái Đất; đường kính của Mộc Tinh và của Trái Đất lần lượt là 142980 km và 12750 km.
A. 278,2 m/s2.
B. 24,8 m/s2.
C. 3,88 m/s2.
D. 6,2 m/s2.
Lời giải:
Đáp án: B.
HD Giải: Ta có:
- Gia tốc rơi tự do ở mặt đất (h = 0):
⇒ Gia tốc rơi tự do trên bề mặt một hành tinh khác:
⇒ Mộc tinh:
Bài 35: Lực hấp dẫn giữa Nam và Bình khi đứng cách nhau 20 cm là 9,77382.10-6 N. Biết Bình nặng hơn Nam 7 kg, g = 10 m/s2. Trọng lượng của Nam là:
A. 73 kg.
B. 80 kg.
C. 730 N.
D. 800 N.
Lời giải:
Đáp án: C.
HD Giải: Lực hấp dẫn giữa hai bạn là:
→ m1m2 = 5840 (1)
Lại có: m1 – m2 = 7 (2)
Từ (1), (2) → m1 = 80 kg, m2 = 73 kg.
Trọng lượng của Nam là P = mg = 730 N.
Bài 36: Có hai lò xo, một lò xo dãn 4 cm khi treo vật khối lượng m1 = 2 kg, lò xo kia dãn 1 cm khi treo vật có khối lượng m2 = 1 kg. Tìm tỉ số k1/k2.
A. 1.
B. 1/2.
C. 3/2.
D. 2.
Lời giải:
Đáp án: B.
HD Giải: Ta có: P1 = k1Δl1 = m1g; P2 = k2Δl2 = m2g
Bài 37: Một lò xo được giữa cố định ở một đầu. Khi tác dụng vào đầu kia của nó lực kéo F1 = 1,8 N thì nó có chiều dài l1 = 17 cm. Khi lực kéo là F2 = 4,2 N thì nó có chiều dài l2 = 21 cm. Tính độ cứng và chiều dài tự nhiên của lò xo.
A. 100 N/m; 14 cm.
B. 100 N/m; 16 cm.
C. 60 N/m; 14 cm.
D. 60 N/m; 16 cm.
Lời giải:
Đáp án: C.
HD Giải: Ta có: F = k.Δl
Bài 38: Một lò xo có chiều dài tự nhiên là l0 cm. Treo lò xo thẳng đứng và móc vào đầu dưới một quả cân có khối lượng m1 = 100 g, lò xo dài 31 cm. Treo thêm vào đầu dưới một quả cân nữa khối lượng m2 = 100 g, nó dài 32 cm. Lấy g = 10 m/s2. Tính độ cứng và chiều dài tự nhiên của lò xo.
A. 100 N/m; 30 cm.
B. 100 N/m; 29 cm.
C. 120 N/m; 30 cm.
D. 120 N/m; 29 cm.
Lời giải:
Đáp án: A.
HD Giải: Ta có: P1 = m1g = k.Δl1 ↔ 0,1.10 = k(0,31 - l0) (1)
P2 = (m1 + m2)g = k.Δl2 ↔ 0,2.10 = k.(0,32 - l0)
→ l0 = 0,3 m = 30 cm. Thay vào (1) → k = 100 N/m.
Bài 39: Một lò xo có chiều dài tự nhiên là l0 = 27 cm, được treo thẳng đứng. Khi treo vào lò xo một vật có trọng lượng P1 = 5N thì lò xo dài l1 = 44 cm. Khi treo vật khác có trọng lượng P2 chưa biết, lò xo dài l2 = 35 cm. Hỏi độ cứng của lò xo và trọng lượng P2.
A. 25,3 N/m và 2,35 N.
B. 29,4 N/m và 2,35 N.
C. 25,3 N/m và 3,5 N.
D. 29,4 N/m và 3,5 N.
Lời giải:
Đáp án: B.
HD Giải: Ta có Δl1 = 44 – 27 = 17 cm = 0,17 m.
P1 = kΔl1
Có: Δl2 = 35 – 27 = 8 cm = 0,08 m
P2 = k.Δl2 = 29,4.0,08 = 2,35 N.
Bài 40: Hai lò xo A và B có chiều dài tự nhiên bằng nhau được bố trí như hình vẽ. Độ cứng của lò xo A là 100 N/m. Khi kéo đầu tự do của lò xo B ra, lò xo A dãn 5 cm, lò xo B dãn 1 cm. Tính độ cứng của lò xo B.
A. 100 N/m.
B. 25 N/m.
C. 350 N/m.
D. 500 N/m.
Lời giải:
Đáp án: D.
HD Giải: Ta có: F = k1.Δl1 = k2.Δl2 ↔ 100.0,05 = k2.0,01 → k2 = 500 N/m.
Để học tốt lớp 10 các môn học sách mới:
- Giải bài tập Lớp 10 Kết nối tri thức
- Giải bài tập Lớp 10 Chân trời sáng tạo
- Giải bài tập Lớp 10 Cánh diều
Tủ sách VIETJACK shopee lớp 10-11 (cả 3 bộ sách):
Đã có app VietJack trên điện thoại, giải bài tập SGK, SBT Soạn văn, Văn mẫu, Thi online, Bài giảng....miễn phí. Tải ngay ứng dụng trên Android và iOS.
Theo dõi chúng tôi miễn phí trên mạng xã hội facebook và youtube:Nếu thấy hay, hãy động viên và chia sẻ nhé! Các bình luận không phù hợp với nội quy bình luận trang web sẽ bị cấm bình luận vĩnh viễn.
- Giải Tiếng Anh 10 Global Success
- Giải Tiếng Anh 10 Friends Global
- Giải sgk Tiếng Anh 10 iLearn Smart World
- Giải sgk Tiếng Anh 10 Explore New Worlds
- Lớp 10 - Kết nối tri thức
- Soạn văn 10 (hay nhất) - KNTT
- Soạn văn 10 (ngắn nhất) - KNTT
- Soạn văn 10 (siêu ngắn) - KNTT
- Giải sgk Toán 10 - KNTT
- Giải sgk Vật lí 10 - KNTT
- Giải sgk Hóa học 10 - KNTT
- Giải sgk Sinh học 10 - KNTT
- Giải sgk Địa lí 10 - KNTT
- Giải sgk Lịch sử 10 - KNTT
- Giải sgk Kinh tế và Pháp luật 10 - KNTT
- Giải sgk Tin học 10 - KNTT
- Giải sgk Công nghệ 10 - KNTT
- Giải sgk Hoạt động trải nghiệm 10 - KNTT
- Giải sgk Giáo dục quốc phòng 10 - KNTT
- Lớp 10 - Chân trời sáng tạo
- Soạn văn 10 (hay nhất) - CTST
- Soạn văn 10 (ngắn nhất) - CTST
- Soạn văn 10 (siêu ngắn) - CTST
- Giải Toán 10 - CTST
- Giải sgk Vật lí 10 - CTST
- Giải sgk Hóa học 10 - CTST
- Giải sgk Sinh học 10 - CTST
- Giải sgk Địa lí 10 - CTST
- Giải sgk Lịch sử 10 - CTST
- Giải sgk Kinh tế và Pháp luật 10 - CTST
- Giải sgk Hoạt động trải nghiệm 10 - CTST
- Lớp 10 - Cánh diều
- Soạn văn 10 (hay nhất) - Cánh diều
- Soạn văn 10 (ngắn nhất) - Cánh diều
- Soạn văn 10 (siêu ngắn) - Cánh diều
- Giải sgk Toán 10 - Cánh diều
- Giải sgk Vật lí 10 - Cánh diều
- Giải sgk Hóa học 10 - Cánh diều
- Giải sgk Sinh học 10 - Cánh diều
- Giải sgk Địa lí 10 - Cánh diều
- Giải sgk Lịch sử 10 - Cánh diều
- Giải sgk Kinh tế và Pháp luật 10 - Cánh diều
- Giải sgk Tin học 10 - Cánh diều
- Giải sgk Công nghệ 10 - Cánh diều
- Giải sgk Hoạt động trải nghiệm 10 - Cánh diều
- Giải sgk Giáo dục quốc phòng 10 - Cánh diều


Giải bài tập SGK & SBT
Tài liệu giáo viên
Sách
Khóa học
Thi online
Hỏi đáp

