30 câu trắc nghiệm Cơ sở của nhiệt động lực học có lời giải (nâng cao - phần 1)
Với 30 câu trắc nghiệm Cơ sở của nhiệt động lực học (nâng cao - phần 1) có lời giải chi tiết sẽ giúp học sinh ôn tập, biết cách làm câu trắc nghiệm Cơ sở của nhiệt động lực học (nâng cao - phần 1)
30 câu trắc nghiệm Cơ sở của nhiệt động lực học có lời giải (nâng cao - phần 1)
(199k) Học Vật Lí 10 KNTTHọc Vật Lí 10 CDHọc Vật Lí 10 CTST
Bài 1:Tính nhiệt lượng cần thiết để đun 5kg nước từ 15oC đến 100oC trong một cái thùng bằng sắt có khối lượng 1,5kg. Biết nhiệt dung riêng của nước là 4200J/kg.K; của sắt là 460 J/kg.K.
A. 180950 J
B. 1950650 J
C. 1843650 J
D. 2113690 J
Lời giải:
Đáp án:C
HD Giải: Nhiệt lượng cần cung cấp: Q = (mscs + mncn).(t2 – t1) = 1843650 J
Bài 2:Khi truyền nhiệt lượng 6.106 J cho khí trong một xilanh hình trụ thì khí nở ra đẩy pit-tông làm thể tích của khí tăng thêm 0,5 m3. Biết áp suất của khí là 8.106 N/m2 và coi áp suất này không đổi trong quá trình khí thực hiện công. Độ biến thiên nội năng của khí là:
A. 2,6.106 J.
B. 3,2.106 J.
C. 2.106 J.
D. 4,6.106 J.
Lời giải:
Đáp án:C
HD Giải:Độ biến thiên nội năng: ΔU = A + Q = - p.S.Δh + Q = - pΔV + Q = 2.106 J.
Bài 3:Một bình nhôm khối lượng 0,5 kg chứa 4 kg nước ở nhiệt độ 20 oC. Người ta thả vào bình một miếng sắt có khối lượng 0,2 kg đã được nung nóng tới 500 oC. Cho nhiệt dung riêng của nhôm là 896 J/kg.K; của nước là 4,18.103 J/kg.K; của sắt là 0,46.103 J/kg.K. Nhiệt độ của nước khi bắt đầu có sự cân bằng nhiệt là:
A. 42,9 oC.
B. 22,6 oC.
C. 32,9 oC.
D. 39,9 oC.
Lời giải:
Đáp án:C
HD Giải:Phương trình cân bằng nhiệt:
(mbcb + mnccnc).(tcb – t1) = msắtcsắt(t2 – tcb)
→ tcb =
= 22,6 oC.
Bài 4:Một hòn bi thép có trọng lượng 0,5N rơi từ độ cao 2m xuống một tấm đá rồi nảy lên tới độ cao 1,4m. Tính lượng cơ năng đã chuyển hóa thành nội năng của bi và tấm đá. Chọn đáp án đúng.
A. 0,6J.
B. 0,9J.
C. 0,5J.
D. 0,3J.
Lời giải:
Đáp án:D
HD Giải:Chọn mốc thế năng tại mặt tấm đá.
Cơ năng ban đầu: W = P.h = 0,5.2 = 1J.
Cơ năng sau khi bi nảy lên: W’ = P.h’ = 0,5.1,4 = 0,7J.
Phần cơ năng đã chuyển thành nội năng: ∆W = W – W’ = 1 – 0,7 = 0,3J.
Bài 5:Một lượng khí lí tưởng chứa trong một xilanh có pit-tông chuyển động được. Các thông số trạng thái ban đầu của khí là 10 dm3; 100 kPa; 300 K. Khí được làm lạnh theo một quá trình đẳng áp tới khi thể tích còn 6 dm3. Xác định nhiệt độ cuối cùng của khí và tính công mà chất khí thực hiện được. Chọn đáp án đúng.
A. 180K và 400J.
B. 150K và 480J.
C. 190K và 450J.
D. 110K và 430J.
Lời giải:
Đáp án:A
HD Giải:Nhiệt độ cuối: T2 = V2T1/V1 = 180 K. Công chất khí thực hiện được: A = p.ΔV = 400 J.
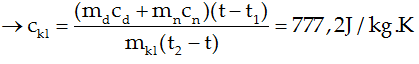
Bài 6:Một nhiệt lượng kế bằng đồng thau khối lượng 128 g chứa 210 g nước ở nhiệt độ 8,4 oC. Người ta thả một miếng kim loại khối lượng 192 g đã nung nóng tới 100 oC vào nhiệt lượng kế. Biết nhiệt độ khi bắt đầu có sự cân bằng nhiệt là 21,5 oC. Cho nhiệt dung riêng của nước là 4,18.103 J/kg.K; của đồng thau là 0,128.103 J/kg.K. Nhiệt dung riêng của chất làm miếng kim loại là:
A. 793,2J/kg.K.
B. 792,5J/kg.K.
C. 817,4J/kg.K.
D. 777,2J/kg.K.
Lời giải:
Đáp án:D
HD Giải:Phương trình cân bằng nhiệt:
(mdcd + mncn).(t – t1) = mklckl(t2 – t)
Bài 7:Người ta nung nóng đẳng áp 100 gam khí H2 từ 22 oC đến 122 oC. Tính công mà khí đã thực hiện. Biết H2 có μ = 2; lấy R = 8,31 J/mol.K.
A. 41150J.
B. 79215J.
C. 8014J
D. 70122J
Lời giải:
Đáp án:A
HD Giải:Công của khí:
.
Chú ý rằng:
Suy ra
Bài 8:Người ta cung cấp nhiệt lượng 1,5 J cho chất khí đựng trong xilanh nằm ngang. Chất khí nở ra đẩy pit-tông đi một đoạn 5 cm. Tính độ biến thiên nội năng của chất khí. Biết lực ma sát giữa pit-tông và xilanh có độ lớn là 20 N.
A. 4,0J.
B. 2,0J.
C. 0,5J
D. 2,5J
Lời giải:
Đáp án:C
HD Giải:Công chất khí thực hiện để thắng ma sát: A = F.s
Vì khí nhận nhiệt lượng (Q > 0) và thực hiện công (A < 0) nên độ biến thiên nội năng của chất khí là:
ΔU = Q – Fs = 0,5 J.
Bài 9:Lấy 2,5 mol khí lí tưởng ở nhiệt độ 300 K. Nung nóng đẳng áp khi này cho đến khi thể tích của nó bằng 1,5 lần thể tích lúc đầu. Nhiệt lượng cung cấp cho quá trình này là 11,04 kJ. Tính công mà khí này thực hiện và độ tăng nội năng.
A. 5,96 kJ
B. 7,92 kJ
C. 6,27 kJ
D. 7,01kJ
Lời giải:
Đáp án:B
HD Giải:Nung nóng đẳng áp:
Áp dụng phương trình Claperon- Mendeleep cho hai quá trình:
p.V1 = 2,5RT1; p.V2 = 2,5RT2 → p.(V2 – V1) = 2,5.R.(T2 – T1)
Vì quá trình đẳng áp → A = p.ΔV = 2,5.R.ΔT = 2,5.8,31.150 = 3116,25J = 3,12kJ
Với quy ước dấu, khí sinh công A < 0, nhận nhiệt Q > 0.
→ ΔU = A + Q = -3,12 + 11,04 = 7,92kJ
Bài 10:Người ta bỏ một miếng hợp kim chì và kẽm có khối lượng 50 g ở nhiệt độ 136 oC vào một nhiệt lượng kế có nhiệt dung 50 J/K chứa 100 g nước ở 14 oC. Xác định khối lượng của kẽm và chì trong hợp kim trên. Biết nhiệt độ khi có sự cân bằng nhiệt trong nhiệt lượng kế là 18 oC. Cho nhiệt dung riêng của nước là cn = 4180 J/kg.K; của kẽm là ck = 337 J/kg.K; của chì là cch = 126 J/kg.K.
A. mkẽm = 40g, mchì = 10g.
B. mkẽm = 45g, mchì = 5g.
C. mkẽm = 35g, mchì = 15g.
D. mkẽm = 25g, mchì = 25g.
Lời giải:
Đáp án:B
HD Giải:Phương trình cân bằng nhiệt: (Cnlk + mncn).(t – t1) = [mkck + (mhk – mk)cch].(t2 – t)
= 0,045 kg = 45 g;
→ mch = mhk – mk = 5 g.
Bài 11:Một động cơ nhiệt có hiệu suất 25%, công suất 30 kW. Tính nhiệt lượng mà nó tỏa ra cho nguồn lạnh trong 5 giờ làm việc liên tục.
A. 135.106 J.
B. 112.107 J.
C. 162.107 J.
D. 152.106 J.
Lời giải:
Đáp án:C
HD Giải:Hiệu suất động cơ:
Bài 12:Để xác định nhiệt độ của một lò nung, người ta đưa vào lò một miếng sắt có khối lượng 22,3 g. Khi miếng sắt có nhiệt độ bằng nhiệt độ của lò, người ta lấy ra và thả ngay vào một nhiệt lượng kế có khối lượng 200 g có chứa 450 g nước ở nhiệt độ 15 0C thì nhiệt độ của nước trong nhiệt lượng kế tăng lên đến 22,5 0C. Cho nhiệt dung riêng của sắt là 478 J/kg.K; của chất làm nhiệt lượng kế là 418 J/kg.K; của nước là 4,18.103 J/kg.K. Xác định nhiệt độ của lò.
A. 1405oC
B. 1902oC.
C. 1605oC.
D. 1677oC.
Lời giải:
Đáp án:A
HD Giải:Phương trình cân bằng nhiệt: (mnlk.cnlk + mn.cn).(t – t1) = ms.cs.(t2 – t)
Thay số:
Bài 13:Tính công suất của một động cơ ôtô nếu trong thời gian 4 giờ chạy liên tục ôtô tiêu thụ hết 60 lít xăng. Biết hiệu suất của động cơ là 32%, năng suất tỏa nhiệt của xăng là q = 46.106 J/kg và khối lượng riêng của xăng là Dx = 0,7 kg/dm3.
A. 49,6 kW.
B. 32,6 kW.
C. 42,9 kW.
D. 52,9 kW
Lời giải:
Đáp án:C
HD Giải:Nhiệt lượng cung cấp khi xăng cháy hết: Q1 = mxăng.q = V.Dx.q = 1932.106J. Công động cơ thực hiện được: A = Q1.H = 618,24.106 J. Công suất của động cơ: P = A/t = 42,9.103 W = 42,9 kW.
Bài 14:Người ta cọ sát một miếng sắt dẹt khối lượng 100g trên một tấm gỗ. Sau một lát thì thấy miếng sắt nóng lên thêm 12℃. Hỏi người ta đã tốn một công là bao nhiêu để thắng ma sát, giả sử rằng 40% công đó được dùng để làm nóng miếng sắt? Cho biết nhiệt dung riêng của sắt là 460J/kg.độ
A. 1500J.
B. 1380J.
C. 552J.
D. 5229J
Lời giải:
Đáp án:B
HD Giải:Công mà người đó tốn:
Bài 15:Một cốc nhôm khối lượng 100g chứa 300g nước ở nhiệt độ 20℃. Người ta thả vào cốc nước một chiếc thìa đồng khối lượng 75g vừa rút ra khỏi nồi nước sôi ở 100℃. Xác định nhiệt độ của nước trong cốc khi có sự cân bằng nhiệt. Bỏ qua các hao phí nhiệt ra ngoài. Nhiệt dung riêng của nhôm là 880J/kg.K, của đồng là 380J/kg.K và của nước là 4,19.103J/kg.K.
A. 28℃
B. 22℃.
C. 32℃.
D. 12℃.
Lời giải:
Đáp án:B
HD Giải:Phương trình cân bằng nhiệt: Qcốc + Qnước = Qthìa
↔ (mcốc.ccốc + mn.cn).(tcb – t1) = mthìa.cthìa.(t2 – tcb)
↔ [(0,1.880) + (0,3.4,19.103)](t – 20) = 0,075.380.(100 –t)
Giải ra ta được t = 21,66℃ ≈ 22℃
Bài 16:Để giữ nhiệt độ trong phòng là 20oC, người ta dùng một máy lạnh trong trường hợp này người ta gọi là máy điều hòa không khí, mỗi giờ tiêu thụ công bằng 5.106J. Tính nhiệt lượng lấy đi từ không khí trong phòng mỗi giờ, biết rằng hiệu năng của máy lạnh là ε = 4
A. 20.106J
B. 10.106J
C. 5.106J
D. 25.106J
Lời giải:
Đáp án:A
HD Giải:Hiệu năng của máy lạnh: ε = Q2/A
Q2 là nhiệt lượng lấy đi từ không khí trong phòng mỗi giờ.
→ Q2 = 5.106.4 = 20.106J
Bài 17:Người ta đốt nóng cho dãn nở đẳng áp 20 g ôxi ở áp suất 2,8 at và nhiệt độ 27 oC đến thể tích 8 lít. Cho ôxi có μ = 32g/mol, lấy R = 8,31J/mol.K, nhiệt dung riêng đẳng áp Cp = 0,91.103 J/kg.K; 1at = 9,81.104N/m2. Độ biến thiên nội năng của khí trong quá trình dãn nở là:
A. 2010J
B. 1510J
C. 1601,07J
D. 2510J
Lời giải:
Đáp án:C
HD Giải:Ở trạng thái cuối ta có:
Thể tích V2 = 8.10-3 m3; áp suất p = 2,8 at = 2,8.9,81.104 N/m2.
Mặt khác:
Công của khí sinh ra khi dãn nở trong quá trình đẳng áp: A=p.ΔV=p(V2-V1)=pV2-pV1
Chú ý rằng:
Độ biến thiên nội năng: ∆U = A + Q
Với quy ước dấu, khí sinh công A < 0, nhận nhiệt Q > 0.
Trong đó Q=mCp(T2-T1)=20.10-3.0,91.103(423,1-300)=2240,42J .
-> ΔU=Q-A=2242,42-639,35=1601,07J .
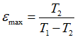
Bài 18:Ở động cơ nhiệt, nhiệt độ của nguồn nóng là 520oC, của nguồn lạnh là 20oC. Hỏi công cực đại mà động cơ thực hiện được nếu nó nhận từ nguồn nóng nhiệt lượng 107J? Công cực đại là công mà động cơ nhiệt sinh ra nếu hiệu suất của nó là cực đại.
A. 1.107J
B. 6,3.106J
C. 4,3.106J
D. 4,1.106J
Lời giải:
Đáp án: B
HD Giải:Ta có:
Công cực đại: Amax= 107.0,63 = 6,3.106J
Bài 19:Hiệu suất thực của một máy hơi nước bằng nửa hiệu suất cực đại. Nhiệt độ của hơi khi ra khỏi lò hơi (nguồn nóng) là 277oC và nhiệt độ của buồng ngưng (nguồn lạnh) là 77oC. Tính công suất của máy hơi nước này nếu mỗi giờ nó tiêu thụ 700kg than có năng suất tỏa nhiệt là 31.106J/kg
A. 195kW
B. 2105kW
C. 1195kW
D. 1096kW
Lời giải:
Đáp án:D
HD Giải:Hiệu suất thực của máy hơi nước là:
Mặt khác H = A/Q1 → A = H.Q1
(năng suất tỏa nhiệt của nhiên liệu là nhiệt lượng tỏa ra khi đốt cháy hết 1 đơn vị khối lượng nhiên liệu).
Bài 20:Nhiệt độ của không khí trong căn phòng rộng 80 m3 là 17 oC. Sau khi sưởi ấm nhiệt độ của phòng là 27 oC. Tính công mà không khí của căn phòng sinh ra khi dãn đẳng áp ở áp suất 105 Pa.
A. 195,67 kJ
B. 275,86 kJ
C. 119,5 kJ
D. 109,6 kJ
Lời giải:
Đáp án:B
HD Giải:Công của không khí sinh ra khi dãn đẳng áp ở áp suất 105 Pa:
A = p.∆V = p.(V2 – V1) (1)
Áp dụng phương trình Clapêrôn – Menđêlêep, ta có:
Trừ về theo vế của hai phương trình ta được:
Từ (1) và (2) ta có:
Thay số ta được:
Bài 21:Một động cơ nhiệt làm việc sau một thời gian thì tác nhân đã nhận từ nguồn nóng nhiệt lượng 2,5.106 J, truyền cho nguồn lạnh nhiệt lượng 1,8.106 J. Hiệu suất thực của động cơ nhiệt này bằng bao nhiêu lần so với hiệu suất cực đại nếu nhiệt độ của nguồn nóng và nguồn lạnh lần lượt là và .
A. 2/3 lần
B. 3/2 lần
C. 4/3 lần
D. 3/4 lần
Lời giải:
Đáp án:A
HD Giải:Hiệu suất thực:
Hiệu suất cực đại:
So sánh: ε %lt; εmax và
Bài 22:Một máy lạnh có hiệu năng cực đại hoạt động giữa nguồn lạnh ở nhiệt độ là -7oC và nguồn nóng ở nhiệt độ là 47oC. Nếu máy được cung cấp công từ một động cơ điện có công suất 80W thì mỗi giờ máy lạnh có thể lấy đi từ nguồn lạnh một nhiệt lượng là bao nhiêu? Biết rằng máy chỉ cần làm việc 1/3 thời gian nhờ cơ chế điều nhiệt trong máy lạnh.
A. 518400J.
B. 558400J.
C. 458400J.
D. 418400J.
Lời giải:
Đáp án:A
HD Giải:Dùng công thức
ta tính được
Vì theo định nghĩa thì , ta suy ra .
Do động cơ điện chỉ cần làm việc thời gian nên mỗi giờ động cơ điện cung cấp một công là:
A = P.t = 80.1200 = 96000J.
Từ đó ta tính được: Q2 = 5,4.96000 = 518400J.
Bài 23:Khi truyền nhiệt lượng 6.106 J cho khí trong một xilanh hình trụ thì khí nở ra đẩy pit-tông lên làm thể tích của khí tăng thêm 0,50 m3. Tính độ biến thiên nội năng của khí. Biết áp suất của khí là 8.106 N/m2 và coi áp suất này không đổi trong quá trình khí thực hiện công.
A. 3.106 (J)
B. 1,5.106 (J)
C. 2.106 (J).
D. 3,5.106 (J)
Lời giải:
Đáp án: C
HD Giải:Đáp án: C
Gọi S là diện tích tiết diện thẳng của xilanh, h là quãng đường pittông dịch chuyển, P là áp suất khí trong xilanh, ta có:
Công mà chất khí thực hiện có độ lớn là:
A = F.h = P.S.h = P.ΔV = 8.106.0,5 = 4.106 J.
Vì chất khí thực hiện công và nhận nhiệt nên: Q > 0, A %lt; 0
Ta có: ΔU = A + Q = - 4.106 + 6.106 = 2.106 (J)
Vậy độ biến thiên nội năng của khí là ΔU = 2.106 (J)
Bài 24:Một máy hơi nước có công suất 28 kW, nhiệt độ nguồn nóng là t1 = 227 oC, nguồn lạnh là t2 = 57 oC. Biết hiệu suất của động cơ này bằng 2/3 lần hiệu suất lý tưởng ứng với 2 nhiệt độ trên. Tính lượng than tiêu thụ trong thời gian 5 giờ, biết năng suất tỏa nhiệt của than là q = 34.106J.
A. 390 kg
B. 370 kg
C. 200 kg
D. 350 kg
Lời giải:
Đáp án: B
HD Giải:Hiệu suất lý tưởng:
.
Hiệu suất động cơ:
.
Mặt khác:
.
Lượng than cần dùng:
.
Bài 25:Một bình nhôm khối lượng 0,5 kg chứa 0,118 kg nước ở nhiệt độ 20 oC. Người ta thả vào bình một miếng sắt khối lượng 0,2 kg đã được nung nóng tới 75 oC. Bỏ qua sự truyền nhiệt ra môi trường bên ngoài. Nhiệt dung riêng của nhôm là 0,92.103 J/(kg.K); của nước là 4,18.103 J(kg.K); của sắt là 0,46. 103 J(kg.K). Xác định nhiệt độ của nước khi bắt đầu có sự cân bằng nhiệt.
A. 29,8 oC
B. 26,8 oC
C. 25,8 oC
D. 24,8 oC
Lời giải:
Đáp án:D
HD Giải:Nhiệt lượng mà nước thu vào cho đến khi cân bằng nhiệt: Q1= m1c1Δt1
Nhiệt lượng mà bình nhôm thu vào cho đến khi cân bằng nhiệt: Q2 = m2c3Δt2
Nhiệt lượng miếng sắt tỏa ra cho đến khi cân bằng nhiệt: Q3= m3 c3 Δt3
Tổng nhiệt lượng thu vào bằng nhiệt lượng tỏa ra: Q1 + Q2 = Q3
→ (m1c1 + m2c3)Δt1 = m3c3Δt3
Thay số ta được:
(0,118.4,18.103 + 0,5.0,92.103)(t - 20) = 0,2.0,46.103(75 - t)
=> t = 24,8oC.
Vậy nhiệt độ cân bằng trong bình là t ≈ 24,8oC
Bài 26:Một nhiệt lượng kế bằng đồng thau khối lượng 128 g chứa 210 g nước ở nhiệt độ 8,4 oC. Người ta thả một miếng kim loại khối lượng 192 g đã nung nóng tới 100 oC vào nhiệt lượng kế. Bỏ qua sự truyền nhiệt ra môi trường bên ngoài. Nhiệt dung riêng của đồng thau là 0,128.103 J/(kg.K). Xác định nhiệt dung riêng của chất làm miếng kim loại, biết nhiệt độ khi bắt đầu có sự cân bằng nhiệt là 21,5 oC.
A. 0,78.103 J/kg.K
B. 0,87.103 J/kg.K
C. 1,78.103 J/kg.K
D. 1,87.103 J/kg.K
Lời giải:
Đáp án:A
HD Giải:Nhiệt lượng mà nước thu vào cho đến khi cân bằng nhiệt: Q1= m1c1Δt1
Nhiệt lượng mà bình nhôm thu vào cho đến khi cân bằng nhiệt: Q2= m2c3Δt2
Nhiệt lượng miếng sắt tỏa ra cho đến khi cân bằng nhiệt: Q3= m3c3Δt3
Ta có: Q1 + Q2 = Q3
↔ (m1c1 + m2c3) (t - 8,4) = m3c3 (100 - t)
↔ (0,210.4,18.103 + 0,128.0,128.103)(21,5 - 8,4)= 0,192. c3 (100 – 21,5)
→ c3 = 0,78.103 J/kg.K
Vậy nhiệt dung riêng của chất làm miếng kim loại là 0,78.103 J/kg.K
Bài 27:Trong một bình cách nhiệt dung tích 100l có chứa 5g khí hidro và 12g khí oxy ở nhiệt độ t0 = 20oC. Xác định áp suất trong bình sau khi đốt cháy hỗn hợp trên, biết rằng khi tạo thành một mol nước thì tỏa ra một nhiệt lượng Q0 = 2,4.105J. Cho nhiệt dung riêng đẳng tích của khí hidro và nước lần lượt là C1 = 14,3kJ/kg.K và C2 = 2,1kJ/kg.K. Chọn đáp án đúng.
A. 6,38.105 Pa
B. 3,38.105 Pa
C. 4,38.105 Pa
D. 5,38.105 Pa
Lời giải:
Đáp án:D
HD Giải:Phản ứng xảy ra: 2H2 + O2 -> 2H2O.
Theo đó 12g Oxy sẽ kết hợp với 4.12/32 = 1,5g Hidro và thành 13,5 g hơi nước.
Sau phản ứng trong bình có m1 = 3,5g khí hidro và m2 = 13,5g hơi nước.
Lượng nhiệt tỏa ra từ phản ứng là Q = Q0.13,5/18 = 1,8.105J.
Lượng nhiệt này sẽ làm tăng nội năng của hơi nước và khí hidro.
Ta có: Q = (c1m1 + c2m2)∆T->
= 2296K
Nhiệt độ khí trong bình là T = T0 + ∆T =2589 K
Vậy áp suất trong bình là: p = p1 + p2 =
Bài 28:Một máy lạnh lí tưởng hoạt động giữa nguồn lạnh 0oC và nguồn nóng 60oC. Tính công suất của động cơ để trong một giờ có thể sản xuất được 1T nước đá 0oC từ nước 20oC. Cho biết nhiệt dung riêng của nước là 4200J/kg.K và nhiệt nóng chảy của nước đá là λ = 330kJ/kg.
A. 25,3 kW
B. 29,3 kW
C. 35,3 kW
D. 27,3 kW
Lời giải:
Đáp án:A
HD Giải:Ta có: Hiệu năng của máy lạnh:
Để có 1T nước đá từ nước 20oC thì trong 1h phải lấy nhiệt lượng từ nguồn lạnh là: Q = mc∆t + λ.m = 414.106 J.
Trong 1s nhận nhiệt từ nguồn lạnh là Q2 = Q/t = 115000 J.
Do đó công suất động cơ máy lạnh là P =25,3 kW
Bài 29:Phần dưới của một bình trụ có diện tích đáy là S = 0,2 m2 chứa V0 = 0,1m3 không khí ở 27oC và áp suất 760mmHg, phía trên được đậy kín bởi một pit-tông rất nhẹ có thể di chuyển được. Khối khí nhận thêm nhiệt lượng do đốt cháy 1,5g xăng nên pit-tông dịch chuyển dưới áp suất không đổi và nhiệt độ tăng thêm 2000C. Năng suất tỏa nhiệt của xăng là 4.107J/kg, khối lượng riêng của Hg là 13300 kg/m3. Hiệu suất của quá trình này là:
A. 22%
B. 10%
C. 15%
D. 11%
Lời giải:
Đáp án:D
HD Giải:Khi không dãn nở, lực nâng pit-tong một đoạn h là: A = F.h = pS.h = p(V – V0).
Qua trình đẳng áp:
→ A = pV0ΔT/T0 = 760.10-3.13300.10.0,1. = 6738,7 J.
Khi 1,5 g xăng cháy hết sẽ tỏa ra nhiệt lượng: Q = m.q = 1,5.10-3.4.107J = 60000J.
Vậy H = A/Q = 0,11 = 11%.
Bài 30:Từ một máy lạnh, cứ trong một giờ có nhiệt lượng Q = 843840J thoát ra khỏi thành máy. Nhiệt độ trong máy là t2 = 5oC và nhiệt độ phòng t1 = 20oC. Công suất nhỏ nhất của máy lạnh bằng bao nhiêu?
A. 23W
B. 32W
C. 12W
D. 21W
Lời giải:
Đáp án:C
HD Giải:Công suất của máy lạnh nhỏ nhất khi máy có hiệu năng cực đại
Công suất của máy lạnh: P = A/t = 43200/3600 = 12W
Để học tốt lớp 10 các môn học sách mới:
- Giải bài tập Lớp 10 Kết nối tri thức
- Giải bài tập Lớp 10 Chân trời sáng tạo
- Giải bài tập Lớp 10 Cánh diều
Tủ sách VIETJACK shopee lớp 10-11 (cả 3 bộ sách):
Đã có app VietJack trên điện thoại, giải bài tập SGK, SBT Soạn văn, Văn mẫu, Thi online, Bài giảng....miễn phí. Tải ngay ứng dụng trên Android và iOS.
Theo dõi chúng tôi miễn phí trên mạng xã hội facebook và youtube:Nếu thấy hay, hãy động viên và chia sẻ nhé! Các bình luận không phù hợp với nội quy bình luận trang web sẽ bị cấm bình luận vĩnh viễn.
- Giải Tiếng Anh 10 Global Success
- Giải Tiếng Anh 10 Friends Global
- Giải sgk Tiếng Anh 10 iLearn Smart World
- Giải sgk Tiếng Anh 10 Explore New Worlds
- Lớp 10 - Kết nối tri thức
- Soạn văn 10 (hay nhất) - KNTT
- Soạn văn 10 (ngắn nhất) - KNTT
- Soạn văn 10 (siêu ngắn) - KNTT
- Giải sgk Toán 10 - KNTT
- Giải sgk Vật lí 10 - KNTT
- Giải sgk Hóa học 10 - KNTT
- Giải sgk Sinh học 10 - KNTT
- Giải sgk Địa lí 10 - KNTT
- Giải sgk Lịch sử 10 - KNTT
- Giải sgk Kinh tế và Pháp luật 10 - KNTT
- Giải sgk Tin học 10 - KNTT
- Giải sgk Công nghệ 10 - KNTT
- Giải sgk Hoạt động trải nghiệm 10 - KNTT
- Giải sgk Giáo dục quốc phòng 10 - KNTT
- Lớp 10 - Chân trời sáng tạo
- Soạn văn 10 (hay nhất) - CTST
- Soạn văn 10 (ngắn nhất) - CTST
- Soạn văn 10 (siêu ngắn) - CTST
- Giải Toán 10 - CTST
- Giải sgk Vật lí 10 - CTST
- Giải sgk Hóa học 10 - CTST
- Giải sgk Sinh học 10 - CTST
- Giải sgk Địa lí 10 - CTST
- Giải sgk Lịch sử 10 - CTST
- Giải sgk Kinh tế và Pháp luật 10 - CTST
- Giải sgk Hoạt động trải nghiệm 10 - CTST
- Lớp 10 - Cánh diều
- Soạn văn 10 (hay nhất) - Cánh diều
- Soạn văn 10 (ngắn nhất) - Cánh diều
- Soạn văn 10 (siêu ngắn) - Cánh diều
- Giải sgk Toán 10 - Cánh diều
- Giải sgk Vật lí 10 - Cánh diều
- Giải sgk Hóa học 10 - Cánh diều
- Giải sgk Sinh học 10 - Cánh diều
- Giải sgk Địa lí 10 - Cánh diều
- Giải sgk Lịch sử 10 - Cánh diều
- Giải sgk Kinh tế và Pháp luật 10 - Cánh diều
- Giải sgk Tin học 10 - Cánh diều
- Giải sgk Công nghệ 10 - Cánh diều
- Giải sgk Hoạt động trải nghiệm 10 - Cánh diều
- Giải sgk Giáo dục quốc phòng 10 - Cánh diều


Giải bài tập SGK & SBT
Tài liệu giáo viên
Sách
Khóa học
Thi online
Hỏi đáp

