50 câu trắc nghiệm Chất rắn và chất lỏng - Sự chuyển thể có lời giải (nâng cao - phần 2)
Với 50 câu trắc nghiệm Chất rắn và chất lỏng - Sự chuyển thể (nâng cao - phần 2) có lời giải chi tiết sẽ giúp học sinh ôn tập, biết cách làm câu trắc nghiệm Chất rắn và chất lỏng - Sự chuyển thể (nâng cao - phần 2)
50 câu trắc nghiệm Chất rắn và chất lỏng - Sự chuyển thể có lời giải (nâng cao - phần 2)
(199k) Học Vật Lí 10 KNTTHọc Vật Lí 10 CDHọc Vật Lí 10 CTST
Bài 1:Một vòng nhôm hình trụ rổng có bán kính trong r1 = 3 cm, bán kính ngoài r2 = 3,2 cm, chiều cao h = 12 cm đặt nằm ngang trong nước. Tính độ lớn lực cần thiết để nâng vòng ra khỏi mặt nước. Biết khối lượng riêng của nhôm là ρ = 28.102 kg/m3; suất căng mặt ngoài của nước là 73.10-3 N/m; lấy g = 10m/s2, nước dính ướt nhôm. Chọn đáp án đúng.
A. 23.10-3 N.
B. 2,212 N.
C. 1,615 N.
D. 1,337 N.
Lời giải:
Đáp án: D
HD Giải:Lực cần thiết để nâng vòng nhôm lên:
F = P + σ.2п(r1 + r2) = hп(r - r )ρ + σ.2п(r1 + r2) = 1,337 N.
Bài 2:Thả một cục nước đá có khối lượng m1 = 30 g ở nhiệt độ t1 = 0 oC vào cốc nước chứa m2 = 200 g nước ở nhiệt độ t2 = 20 oC. Bỏ qua nhiệt dung của cốc. Cho biết nhiệt dung riêng của nước là c = 4,2 J/g.K, nhiệt nóng chảy của nước đá là λ = 334 J/g. Nhiệt độ cuối của cốc nước là:
A. 5 oC.
B. 7 oC.
C. 8 oC.
D. 9 oC.
Lời giải:
Đáp án: B
HD Giải:
Phương trình cân bằng nhiệt: cm2(t2 – t) = λm1 + cm1t
Bài 3:Độ ẩm tỉ đối của một căn phòng ở nhiệt độ 20 oC là 65%. Độ ẩm tỉ đối sẽ thay đổi như thế nào nếu nhiệt độ của căn phòng hạ xuống còn 15 oC còn áp suất của căn phòng thì không đổi. Biết độ ẩm cực đại của không khí ở 20 oC là 17,3 g/m3, ở 15 oC là 12,8 g/m3.
A. f’ = 88 %.
B. f’ = 85 %.
C. f’ = 92 %.
D. f’ = 90 %.
Lời giải:
Đáp án:A
HD Giải:Ta có:
Bài 4:Một dây thép có đường kính tiết diện 6mm được dùng để treo một trọng vật có khối lượng 10 tấn. Cho biết giới hạn bền của dây thép . Lấy g = 10 m/s2. Hệ số an toàn là:
A. 6,9
B. 6,8
C. 8,6
D. 9,6
Lời giải:
Đáp án:C
HD Giải:Tiết diện của dây thép: S=пd2/4
Lực căng tác dụng lên một đơn vị diện tích của tiết diện dây thép:
→ Hệ số an toàn:
Bài 5:Người ta muốn lắp một cái vành bằng sắt vào một cái bánh xe bằng gỗ có đường kính 100 cm. Biết rằng đường kính của vành sắt nhỏ hơn đường kính bánh xe 5 mm. Vậy phải nâng nhiệt độ của vành sắt lên bao nhiêu để có thể lắp vào vành bánh xe? Cho biết hệ số nở dài của sắt là α = 12.10-6 K-1.
A. 418,8 oC
B. 408,8 oC
C. 518,8 oC
D. 208,8 oC
Lời giải:
Đáp án:A
HD Giải:Đường kính của vành sắt: d1 = 100 cm – 5 mm = 99,5 cm.
Đường kính của vành bánh xe: d2 = 100 cm.
Chu vi các vành: l1 = π.d1; l2 = π.d2
Muốn lắp vành sắt vào bánh xe phải đun nóng vành sắt để chu vi của nó bằng chu vi bánh xe.
Ta có:
Thay số:
Vậy phải nâng nhiệt độ vòng sắt lên 418,8 oC.
Bài 6:Một thanh hình trụ bằng đồng thau có tiết diện 12 cm2 được đun nóng từ 0 oC đến nhiệt độ 60 oC. Cần tác dụng vào hai đầu thanh hình trụ những lực như thế nào để khi đó chiều dài của nó vẫn không đổi. Hệ số nở dài của đồng thau là α = 18.10-6 K-1, suất đàn hồi là: E = 9,8.1010 N/m2.
A. 100125 N
B. 130598 N
C. 127008 N
D. 110571 N
Lời giải:
Đáp án: C
HD Giải:Khi đun nóng thanh đồng thau thì chiều dài của nó tăng lên. Muốn giữ cho chiều dài của thanh đồng không đổi thì phải làm cho thanh chịu biến dạng nén, độ nén phải bằng độ tăng chiều dài do sự đun nóng.
Theo định luật Húc ta có: F=S.E.Δl/l0 (1)
Khi đun nóng chiều dài tăng lên:Δl=l2-l1=l0α(t2-t1) (2)
Thay (2) vào (1) ta có:
F=S.E.α.Δt=12.10-4.9,8.1010.18.10-6.60=127008N
Bài 7: Một ống nhỏ giọt mà đầu mút có đường kính 0,24mm có thể nhỏ giọt chất lỏng với độ chính xác đến 0,008g. Hệ số căng bề mặt của chất lỏng là:
A. 0,2875 N/m.
B. 0,053 N/m.
C. 0,106 N/m
D. 1,345 N /m.
Lời giải:
Đáp án:C
HD Giải:Ống nhỏ giọt có độ chính xác đến 0,008g có nghĩa là một giọt chất lỏng nhỏ ra từ ống có khối lượng 0,008g. Nếu coi sức căng bề mặt bằng trọng lượng của giọt chất lỏng thì ta có:
Bài 8:Tìm chiều dài của cột nước trong mao quản có đường kính trong bằng d = 0,6 mm khi ống thẳng đứng và khi ống nghiêng với mặt nước một góc 13o. Cho biết suất căng mặt ngoài của nước là σ = 72,8.10-3 N/m, khối lượng riêng của nước là ρ = 1000 kg/m3 .Chọn đáp án đúng.
A. 17 cm
B. 27 cm
C. 15 cm
D. 22 cm.
Lời giải:
Đáp án:D
HD Giải:Độ cao cột nước dâng lên trong mao quản khi ống thẳng đứng:
Độ cao cột nước dâng lên trong mao quản khi ống nghiêng với mặt nước một góc :
Bài 9:Một màng xà phòng được căng trên mặt khung dây đồng hình chữ nhật treo thảng đứng, đoạn dây ab dài 80 mm có thể trượt không ma sát trên khung này (hình vẽ). Cho biết hệ số căng bề mặt của nước xà phòng là σ = 40.10-3 N/m và khối lượng riêng của đồng là ρ = 8,9.103 kg/m3. Xác định đường kính của đoạn dây ab để nó nằm cân bằng, lấy g ≈ 9,8 m/s2.
A. d = 10,8 mm.
B. d = 12,6 mm.
C. d = 2,6 mm.
D. d = 1,08 mm.
Lời giải:
Đáp án:D
HD Giải:Lực căng bề mặt của màng xà phòng (có hai mặt) tác dụng lên đoạn dây ab có độ dài l là: F = 2σ.l
Điều kiện cân bằng của dây ab là: P = m.g = V.ρ.g = π.d2.l.ρ.g/4
P = F
Bài 10:Một dụng cụ có hai thanh đồng thau và thép, ở bất kì nhiệt độ nào trong khoảng từ -100 oC đến 100 oC hiệu chiều dài giữa hai thanh đều bằng 2 cm. Cho hệ số nở dài của đồng thau và thép là 18.10-6 K-1 và 11.10-6 K-1. Chiều dài của thanh thép và đồng ở 0 oC lần lượt là:
A. 3,1cm và 1,1cm
B. 7,1cm và 5,1cm
C. 4,1cm và 2,1cm
D. 5,1cm và 3,1cm
Lời giải:
Đáp án:D
HD Giải:Gọi l1 là chiều dài của thanh đồng thau, l2 là chiều dài của thanh thép.
Theo giả thiết, ở nhiệt độ bất kỳ ta đều có: l2 – l1 = 2 cm (1)
Ở 0 oC ta cũng có: l02 – l01 = 2 cm (2)
Mặt khác, ta lại có: l2 = l02(1 + α2∆t) và l1 = l01(1 + α1∆t)
Thay l1, l2 vào (1) ta được: l02(1 + α2∆t) - l01(1 + α1∆t) = l02 – l01
→ l02.α2 = l011.α1 (3)
Từ (2) và (3), chú ý rằng α2 = 18.10-6 K-1 và α1 = 11.10-6 K-1
Ta suy ra được chiều dài của thanh thép và thanh đồng ở 0 oC là 5,1cm và 3,1cm
Bài 11:Một vùng không khí có thể tích V = 1010 m3 có độ ẩm tương đối là f = 80% ở nhiệt độ 20 oC. Hỏi khi nhiệt độ hạ đến 10 oC thì lượng nước mưa rơi xuống là bao nhiêu? Biết độ ẩm cực đại của không khí ở 20 oC là A = 17,3 g/m3, ở 10 oC là A’ = 9,4 g/m3.
A. A = 22200 tấn.
B. A = 44400 tấn.
C. A = 66600 tấn.
D. A = 11100 tấn.
Lời giải:
Đáp án:B
HD Giải:Lượng hơi nước chứa trong vùng không khí lúc đầu (ở 20 oC):
m = f.A.V = 13,84.1010 g.
Lượng hơi nước cực đại chứa trong không khí lúc sau (ở 10 oC):
m'max = A’.V = 9,4.1010 g.
Lượng nước mưa rơi xuống:
Δm = m = m’max = 4,44.1010 g = 44400 tấn.
Bài 12:Hai thanh kim loại, một bằng sắt và một bằng kẽm ở 0 oC có chiều dài bằng nhau, còn ở 100 oC thì chiều dài chênh lệch nhau 1mm. Biết hệ số nở dài của sắt và kẽm là α1 = 1,14.10-5 K-1 và α2 = 3,4.10-5 K-1. Chiều dài hai thanh ở 0 oC là:
A. 49,25 cm
B. 44,25 cm
C. 40,25 cm
D. 34,25 cm
Lời giải:
Đáp án:B
HD Giải:Gọi l1, l2 lần lượt là chiều dài của thanh sắt và thanh kẽm ở 100 oC
Ta có:l1=l0(1+α1t) => l1-l0=l0α1t (1)
l2=l0(1+α2t) => l2-l0=l0α2t (2)
Lấy (2) trừ (1) theo vế ta có: l2-l1=l0α2t-l0α1t=l0t(α2-α1)
Suy ra:
Bài 13:Một ống áp kế thủy ngân có đường kính trong d = 1,4 mm, mực thủy ngân trong ống cao 760 mm. Hỏi áp suất thực của khí quyển là bao nhiêu nếu tính đến hiện tượng thủy ngân không dính ướt ống thủy tinh. Suất căng mặt ngoài và khối lượng riêng của thủy ngân là σ = 0,47 N/m và ρ = 13,6.103 kg/m3. Lấy g = 10m/s2. Chọn đáp án đúng.
A. 750,1 mmHg.
B. 762,5 mmHg.
C. 769,9 mmHg.
D. 771,1 mmHg.
Lời giải:
Đáp án:C
HD Giải:Do có hiện tượng mao dẫn nên thủy ngân trong ống thủy tinh bị tụt xuống một đoạn:
Áp suất thực của khí quyển tại vị trí đo là p = 760 + 9,9 = 769,9 mmHg.
Bài 14:Tính nhiệt lượng tỏa ra khi 4 kg hơi nước ở 100 oC ngưng tụ thành nước ở 22 oC. Nước có nhiệt dung riêng c = 4180 J/kg.K và nhiệt hóa hơi L = 2,3.106 J/kg. Chọn đáp án đúng.
A. 11504160 J
B. 12504160 J
C. 10504160 J
D. 13504160 J
Lời giải:
Đáp án:C
HD Giải:Nhiệt lượng cần thiết để 4 kg hơi nước ngưng tụ hoàn toàn ở 100 oC:
Q1 = L.m = 2,3.106 .4 = 9,2.106 J
Nhiệt lượng cần thiết để làm nước ở 100 oC giảm nhiệt độ còn 22 oC:
Q2 = m.c.(t2 – t1) = 4.4180. (100 - 22) = 1304160 J
Nhiệt lượng tổng cộng:
Q = Q1 + Q2 = 10504160 J
Bài 15:Một bể bằng bê tông có dung tích là 2 m3 ở 0 0C. Khi ở 30 0C thì dung tích của nó tăng thêm 2,16 lít. Hệ số nở dài α của bê tông là:
A. 1,2.10-6 K-1
B. 12.10-6 K-1.
C. 2,1.10-6 K-1
D. 21.10-6 K-1
Lời giải:
Đáp án:B
HD Giải:Độ tăng thể tích của bê tông: ΔV = 3αV0Δt
Bài 16:Nhiệt độ của không khí trong phòng là 20 oC. Nếu cho máy điều hòa nhiệt độ chạy để làm lạnh không khí trong phòng xuống tới 12 oC thì hơi nước trong không khí trong phòng trở nên bảo hòa và ngưng tụ thành sương. Nhiệt độ 12 oC được gọi là ‘‘điểm sương’’ của không khí trong phòng. Tính độ ẩm tuyệt đối và độ ẩm tỉ đối của không khí trong căn phòng này. Biết độ ẩm cực đại của không khí ở 20 oC và 12 oC lần lượt là 17,30 g/m3 và 10,76 g/m3.
A. f = 88 %.
B. f = 70 %.
C. f = 68 %.
D. f = 62 %.
Lời giải:
Đáp án:D
HD Giải:Ở 12 oC thì hơi nước trong không khí trong phòng trở nên bảo hòa
→ Độ ẩm tuyệt đối của không khí trong phòng ở 20 oC đúng bằng độ ẩm cực đại của không khí ở 12 oC: a = 10,76 g/m3.
Độ ẩm tỉ đối của không khí trong phòng ở 20 oC: f=a/A=10,76/17,3 = 62 %.
Bài 17:Đổ 1,5 lít nước ở 20 oC vào một ấm nhôm có khối lượng 600 g và sau đó đun bằng bếp điện. Sau 35 phút thì đã có 20% khối lượng nước đã hóa hơi ở nhiệt độ sôi 100 oC. Tính công suất cung cấp nhiệt của bếp điện, biết rằng 75% nhiệt lượng mà bếp cung cấp được dùng vào việc đun nước. Cho biết nhiệt dung riêng của nước là c = 4190 J/kg.K, của nhôm là 880 J/kg.K, nhiệt hóa hơi của nước ở 100 oC là L = 2,26.106 J/kg, khối lượng riêng của nước là 1 kg/lít. Chọn đáp án đúng.
A. 716,8 W.
B. 796,5 W.
C. 876,8 W.
D. 776,5 W.
Lời giải:
Đáp án:D
HD Giải:Nhiệt lượng cung cấp để đun nước:
Qci = cnmn(t2 – t1) + cấmmấm(t2 – t1) + λmn.20%
= 4190.1,5.(100 – 20) + 880.0,6.(100 – 20) + 2,26.106.1,5.20% = 1223040 J.
Nhiệt lượng toàn phần ấm đã cung cấp: Qtp =Qci/H = 1630720 J.
Công suất cung cấp nhiệt của ấm:P= Qtp /t = 776,5 W.
Bài 18:Một cái xà bằng thép tròn đường kính tiết diện 4 cm hai đầu được chôn chặt vào tường. Tính lực xà tác dụng vào tường khi nhiệt độ tăng thêm 40 oC. Cho biết hệ số nở dài và suất đàn hồi của thép lần lượt là 1,2.10-5 K-1 và 20.1010 N/m2.
A. 100125 N
B. 130598 N
C. 120576 N
D. 110571 N
Lời giải:
Đáp án:C
HD Giải:Khi nhiệt độ tăng thêm t = 40 oC thì thanh xà dãn dài thêm một đoạn:
∆l = l – l0 = l0.α.∆t.
Vì hai đầu xà chôn chặt vào tường, nên xà chịu một lực nén (bằng chính lực do xà tác dụng vào tường):
Thay số:
Bài 19:Có 4 cm3 dầu lỏng chảy qua một ống nhỏ giọt thành 304 giọt dầu. Đường kính của lỗ đầu ống nhỏ giọt là 1,2 mm, khối lượng riêng của dầu là 900 kg/m3. Tính hệ số căng bề mặt của dầu.
A. 0,031 N/m.
B. 0,153 N/m.
C. 0,113 N/m
D. 0,355 N /m.
Lời giải:
Đáp án:A
HD Giải:Đúng lúc có giọt dầu rơi, trọng lượng P của giọt dầu cân bằng với lực căng bề mặt, ta có: P=σпd =>σ=P/пd (1)
Trọng lượng của mỗi giọt dầu:
, với m là khối lượng của chất lỏng (dầu).
Thay vào (1) ta có:
Bài 20:Để xác định nhiệt nóng chảy của thiếc, người ta đổ m1 = 350 g thiếc nóng chảy ở nhiệt độ t1 = 232 oC vào m2 = 330 g nước ở t2 = 7 oC đựng trong một nhiệt lượng kế có nhiệt dung bằng Cnlk =100 J/K. Sau khi cân bằng nhiệt, nhiệt độ của nước trong nhiệt lượng kế là t = 32 oC. Tính nhiệt nóng chảy của thiếc. Biết nhiệt dung riêng của nước là cn = 4,2 J/g.K, của thiếc rắn là cth = 0,23 J/g.K.
A. 60,14 J/g.
B. 65,15 J/g.
C. 40,19 J/g.
D. 69,51 J/g.
Lời giải:
Đáp án:A
HD Giải:Phương trình cân bằng nhiệt: Qthu = Qtỏa
cnmn(t – t2) + Cnlk(t – t2) = λmth + cthmth(t1 – t)
Bài 21:Hai ống mao dẫn có đường kính khác nhau được nhúng vào ête, sau đó vào dầu hỏa. Hiệu số độ cao của các cột ête dâng lên trong hai ống mao dẫn là 2,4 mm, của các cột dầu hỏa là 3 mm. Hãy xác định suất căng bề mặt của dầu hỏa, nếu suất căng bề mặt của ête là σ = 0,017N/m. Biết khối lượng riêng của ête là ρ = 700 kg/m3, của dầu hỏa là ρ’ = 800 kg/m3. Chọn đáp án đúng.
A. 0,843 N/m
B. 0,0243 N/m
C. 0,0843 N/m
D. 0,0643 N/m.
Lời giải:
Đáp án:B
HD Giải:Do đường kính của hai ống mao dẫn khác nhau nên khi nhúng vào chất lỏng, cột chất lỏng dâng lên trong hai ống sẽ khác nhau. Hiệu số độ cao của các cột chất lỏng đó còn phụ thuộc vào bản chất của chất lỏng đó.
Đối với ête, hiệu số đó bằng:
(1)
Đối với dầu hỏa, hiệu số đó bằng:
(2)
Từ (1) và (2)
Bài 22:Một khối đồng có kích thước ban đầu 0,15 x 0,2 x 0,3 (m2) khi nung nóng đã hấp thụ một nhiệt lượng bằng 1,8.106 J. Tính độ biến thiên thể tích của khối đồng. Cho biết khối lượng riêng của đồng bằng D = 8,9.103 kg/m3, nhiệt dung riêng của đồng c = 0,38.103 J/kg.độ, hệ số nở dài của đồng α = 1,7.10-5 K-1.
A. 1,7.10-5 m3
B. 2,7.10-5 m3
C. 3,7.10-3 m3
D. 5,7.10-3 m3
Lời giải:
Đáp án:B
HD Giải:Thể tích ban đầu của khối đồng: V=0,15.0,2.0.3=0,009 m2
Gọi ∆t là độ tăng nhiệt độ khi hấp thụ nhiệt lượng Q = 1,8.106 J.
Ta có công thức:
Thay số:
Ta có:
Vậy thể tích khối đồng tăng thêm 2,7.10-5 m3.
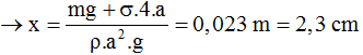
Bài 23:Một mẩu gỗ hình lập phương có khối lượng 20 g được đặt nổi trên mặt nước. Mẩu gỗ có cạnh dài 30 mm và dính ướt nước hoàn toàn. Cho biết nước có khối lượng riêng là ρ = 1000 kg/m3 và hệ số căng bề mặt là σ = 0,072 N/m. Lấy g = 9,8 m/s2. Xác định độ ngập sâu trong nước của mẩu gỗ.
A. 2,3 cm.
B. 2,9 cm.
C. 4,3 cm.
D. 3,9 cm.
Lời giải:
Đáp án: A
Ta có:
Do mẩu gỗ bị nước dính ướt hoàn toàn, nên lực căng bề mặt tác dụng lên mẩu gỗ hướng thẳng đứng xuống dưới. Điều kiện để mẩu gỗ nổi trên mặt nước là tổng của trọng lực
và lực căng bề mặt
phải cân bằng với lực đẩy Ác-si-mét
(hình vẽ):
→ P + fc = FA
Gọi a là độ dài mỗi cạnh của mẩu gỗ, x là độ ngập sâu trong nước của mẩu gỗ.
Thay P = mg, fc = σ4a và FA = ρa2xg (bằng trọng lượng nước bị phần mẩu gỗ chìm trong nước chiếm chỗ), ta được: mg + σ.4a = ρ.a2.x.g
Như vậy lực dính ướt có tác dụng làm mẩu gỗ chìm sâu thêm 0,1 cm chiếm tỉ lệ khoảng hơn 4% độ ngập sâu của mẩu gỗ.
Bài 24:Áp suất hơi nước bão hoà ở 25 oC là 23,8 mmHg và ở 30 oC là 31,8 mmHg. Nếu tách hơi nước bão hoà ở 25 oC ra khỏi nước chứa trong bình kín và tiếp tục đun nóng đẳng tích lượng hơi nước này tới 30 oC thì áp suất của nó sẽ bằng bao nhiêu ?
A. 14,2 mmHg
B. 31,8 mmHg
C. 24,2 mmHg
D. 34,8 mmHg
Lời giải:
Đáp án:C
HD Giải:Hơi nước bão hoà ở nhiệt độ T1 = (273 + 25) = 298 K được tách ra khỏi nước chứa trong bình kín có áp suất là p1 = 23,8 mmHg.
Nếu đun nóng đẳng tích lượng hơi nước này tới nhiệt độ T2 = (273 + 30) = 303 K, thì áp suất của nó sẽ xác định theo định luật Sác-lơ: p2/T2 = p1/T1 → p2 = p1.T2/T1
Thay số, ta tìm được: p2 = 23,8.303/298 ≈ 24,2 mmHg
Nhận xét: áp suất p2 ≈ 24,2 mmHg nhỏ hơn giá trị áp suất hơi nước bão hoà ở 30 oC là pbh = 31,8 mmHg. Như vậy khi nhiệt độ tăng, áp suất hơi nước chứa trong bình kín không chứa nước (tuân theo định luật Sác-lơ) sẽ tăng chậm hơn áp suất hơi nước bão hoà trong bình kín có chứa nước.
Bài 25:Một thanh nhôm và một thanh đồng ở 100 oC có độ dài tương ứng là 100,24 mm và 200,34 mm được hàn ghép nối tiếp với nhau. Cho biết hệ số nở dài của nhôm là α1 = 24.10-6 K-1. Và của đồng là α2 = 17.10-6 K-1. Xác định hệ số nở dài của thanh kim loại ghép này.
A. 17.10-6 K-1
B. 19,3.10-6 K-1
C. 24.10-6 K-1
D. 41.10-6 K-1
Lời giải:
Đáp án:B
HD Giải:Gọi α là hệ số nở dài của thanh kim loại ghép. Độ dài của thanh này ở nhiệt độ t = 100 oC được tính theo công thức: l = l0 (1 + α.t)
Với l = l1+ l2 = 100,24 + 200,34 = 300,58 mm, còn l0 = l01 + l02 là độ dài của thanh kim loại ghép ở 0 oC, với l01 và l02 là độ dài tương ứng của thanh nhôm và thanh đồng ở 0 oC. Vì l1 = l01(1 + α1t) và l2 = l02(1 + α2t), nên ta có:
Từ đó ta tìm được:
Bài 26:Một ống mao dẫn dài và mỏng có hai đầu đều hở được cắm thẳng đứng xuống nưởc sao cho toàn bộ chiều dài của ống ngập trong nước. Dùng tay bịt kín đầu dưới của ống và nhấc ống thẳng đứng lên khỏi nước. Sau đó buông nhẹ tay để đầu dưới của ống lại hở. Xác định độ cao của cột nước còn đọng trong ống. Cho biết đường kính của ống là d = 2,0 mm, khối lượng riêng của nước là ρ = 1000 kg/m3 và hệ số căng bể mặt của nước là σ = 72,5.10-3 N/m, lấy g ≈ 9,8 m/s2.
A. 29,6 mm
B. 30,8 mm
C. 25,7 mm
D. 31,5 mm
Lời giải:
Đáp án:A
HD Giải:
Cột nước còn đọng lại được trong ống mao dẫn là do tác dụng cân bằng giữa trọng lượng P của cột nước với tổng các lực dính ướt fc của thành ống tạo thành mặt khum lõm ở đầu trên và mặt khum lồi ở đầu dưới của cột nước (hình vẽ). Tại vị trí tiếp xúc giữa hai mặt khum của cột nước với thành ống, các lực dính ướt fc đều hướng thẳng đứng lên phía trên và có cùng độ lớn với lực căng bề mặt Fc của nước.
Fd = Fc = σ.π.d
với d là đường kính của ống mao dẫn và σ là hệ số căng bề mặt của nước.
Trọng lượng của cột nước: P = mg = ρghπd2/4
Khi đó điều kiện cân bằng của cột nước đọng lại trong ống là: P = 2Fd
⇒ ρ.g.h.π.d2/4 = 2σ.π.d
Từ đó suy ra:
Để học tốt lớp 10 các môn học sách mới:
- Giải bài tập Lớp 10 Kết nối tri thức
- Giải bài tập Lớp 10 Chân trời sáng tạo
- Giải bài tập Lớp 10 Cánh diều
Tủ sách VIETJACK shopee lớp 10-11 (cả 3 bộ sách):
Đã có app VietJack trên điện thoại, giải bài tập SGK, SBT Soạn văn, Văn mẫu, Thi online, Bài giảng....miễn phí. Tải ngay ứng dụng trên Android và iOS.
Theo dõi chúng tôi miễn phí trên mạng xã hội facebook và youtube:Nếu thấy hay, hãy động viên và chia sẻ nhé! Các bình luận không phù hợp với nội quy bình luận trang web sẽ bị cấm bình luận vĩnh viễn.
- Giải Tiếng Anh 10 Global Success
- Giải Tiếng Anh 10 Friends Global
- Giải sgk Tiếng Anh 10 iLearn Smart World
- Giải sgk Tiếng Anh 10 Explore New Worlds
- Lớp 10 - Kết nối tri thức
- Soạn văn 10 (hay nhất) - KNTT
- Soạn văn 10 (ngắn nhất) - KNTT
- Soạn văn 10 (siêu ngắn) - KNTT
- Giải sgk Toán 10 - KNTT
- Giải sgk Vật lí 10 - KNTT
- Giải sgk Hóa học 10 - KNTT
- Giải sgk Sinh học 10 - KNTT
- Giải sgk Địa lí 10 - KNTT
- Giải sgk Lịch sử 10 - KNTT
- Giải sgk Kinh tế và Pháp luật 10 - KNTT
- Giải sgk Tin học 10 - KNTT
- Giải sgk Công nghệ 10 - KNTT
- Giải sgk Hoạt động trải nghiệm 10 - KNTT
- Giải sgk Giáo dục quốc phòng 10 - KNTT
- Lớp 10 - Chân trời sáng tạo
- Soạn văn 10 (hay nhất) - CTST
- Soạn văn 10 (ngắn nhất) - CTST
- Soạn văn 10 (siêu ngắn) - CTST
- Giải Toán 10 - CTST
- Giải sgk Vật lí 10 - CTST
- Giải sgk Hóa học 10 - CTST
- Giải sgk Sinh học 10 - CTST
- Giải sgk Địa lí 10 - CTST
- Giải sgk Lịch sử 10 - CTST
- Giải sgk Kinh tế và Pháp luật 10 - CTST
- Giải sgk Hoạt động trải nghiệm 10 - CTST
- Lớp 10 - Cánh diều
- Soạn văn 10 (hay nhất) - Cánh diều
- Soạn văn 10 (ngắn nhất) - Cánh diều
- Soạn văn 10 (siêu ngắn) - Cánh diều
- Giải sgk Toán 10 - Cánh diều
- Giải sgk Vật lí 10 - Cánh diều
- Giải sgk Hóa học 10 - Cánh diều
- Giải sgk Sinh học 10 - Cánh diều
- Giải sgk Địa lí 10 - Cánh diều
- Giải sgk Lịch sử 10 - Cánh diều
- Giải sgk Kinh tế và Pháp luật 10 - Cánh diều
- Giải sgk Tin học 10 - Cánh diều
- Giải sgk Công nghệ 10 - Cánh diều
- Giải sgk Hoạt động trải nghiệm 10 - Cánh diều
- Giải sgk Giáo dục quốc phòng 10 - Cánh diều


Giải bài tập SGK & SBT
Tài liệu giáo viên
Sách
Khóa học
Thi online
Hỏi đáp

