80 bài tập trắc nghiệm chương Các định luật bảo toàn chọn lọc, có đáp án (phần 2)
Với 80 bài tập trắc nghiệm chương Các định luật bảo toàn (phần 2) có lời giải chi tiết sẽ giúp học sinh ôn tập, biết cách làm bài tập trắc nghiệm chương Các định luật bảo toàn (phần 2)
80 bài tập trắc nghiệm chương Các định luật bảo toàn chọn lọc, có đáp án (phần 2)
(199k) Xem Khóa học Vật Lí 10 KNTTXem Khóa học Vật Lí 10 CDXem Khóa học Vật Lí 10 CTST
Câu 31: Xét một hệ gồm súng và viên đạn nằm trong nòng súng. Khi viên đạn bắn đi với vận tốc v→ thì súng giật lùi với vận tốc V→. Giả sử động lượng của hệ được bảo toàn thì nhận xét nào sau đây là đúng ?
A. V→ có độ lớn tỉ lệ thuận với khối lượng của súng.
B. V→ cùng phương và ngược chiều với v→.
C. V→ cùng phương và cùng chiều với v→.
D. V→ cùng phương cùng chiều với v→, có độ lớn tỉ lệ thuận với khối lượng của súng.
Lời giải:
Chọn B
Câu 32: Một tên lửa có khối lượng M = 5 tấn đang chuyển động với vận tốc v = 100 m/s thì phụt ra phía sau một lượng khí m0 = 1 tấn. Vận tốc khí đối với tên lửa lúc chưa phụt là v1 = 400 m/s. Sau khi phụt khí vận tốc tên lửa có giá trị là:
A. 200 m/s B. 180 m/s C. 225 m/s D. 250 m/s
Lời giải:
Áp dụng định luật bảo toàn cho hệ, lúc trước và sau khi phụt:
(mtên lửa + mkhí ).v = mtên lửa.v2 - mkhí.v1.
⇔ v2 = 200 m/s.
Câu 33: Thả rơi một vật có khối lượng 1kg trong khoảng thời gian 0,2s. Độ biến thiên động lượng của vật là bao nhiêu? Cho g = 10m/s2.
A. 2 kg.m/s B. 1 kg.m/s C. 20 kg.m/s D. 10 kg.m/s
Lời giải:
Chọn A
Câu 34: Hai viên bi có khối lượng m1 = 50g và m2 = 80g đang chuyển động ngược chiều nhau và va chạm nhau. Muốn sau va chạm m2 đứng yên còn m1 chuyển động theo chiều ngược lại với vận tốc như cũ thì vận tốc của m2 trước va chạm bằng bao nhiêu? Cho biết v1 = 2m/s.
A. 1 m/s B. 2,5 m/s C. 3 m/s D. 2m/s
Lời giải:
Áp dụng định luật bảo toàn động lượng cho lúc trước và sau va chạm:
Câu 35: Một quả bóng có khối lượng m = 300g va chạm vào tường và nảy trở lại với cùng vận tốc. Vận tốc của bóng nước va chạm là +5m/s. Độ biến thiên động lượng của bóng là:
A. 1,5kg.m/s B. -3kg.m/s C. -1,5kg.m/s D. 3kg.m/s
Lời giải:
Độ biến thiên động lượng:
Δp = p2 - p1 = -mv - mv = -2mv = -3 kg.m/s.
Câu 36: Điều nào sau đây không đúng khi nói về động lượng :
A. Động lượng của một vật bằng tích khối lượng và bình phương vận tốc.
B. Động lượng của một vật bằng tích khối lượng và vận tốc của vật .
C. Động lượng của một vật là một đại lượng véc tơ.
D. Trong hệ kín,động lượng của hệ được bảo toàn
Lời giải:
Chọn A
Câu 37: Một vật khối lượng m đang chuyển động theo phương ngang với vận tốc v thì va chạm vào vật khối lượng 2m đang đứng yên. Sau va chạm, hai vật dính vào nhau và chuyển động với cùng vận tốc. Bỏ qua ma sát, vận tốc của hệ sau va chạm là:
A. v/3 B. v C. 3v D. v/2
Lời giải:
Chọn A
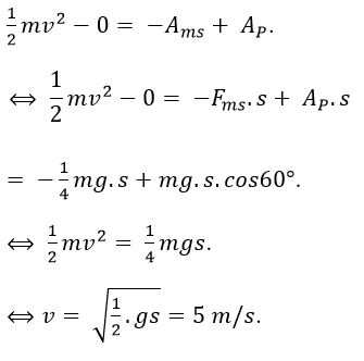
Câu 38: Một vật m trượt không vận tốc ban đầu từ đỉnh xuống chân một mặt phẳng nghiêng có chiều dài 5m, và nghiêng một góc 30° so với mặt phẳng ngang. Lực ma sát giữa vật và mặt phẳng nghiêng có độ lớn bằng một phần tư trọng lượng của vật. Lấy g = 10 m/s2. Vận tốc của vật ở chân mặt phẳng nghiêng có độ lớn là
A. 4.5m/s. B. 5m/s. C. 3,25m/s. D. 4m/s.
Lời giải:
Áp định lí biến thiên động năng cho 2 vị trí vật bắt đầu chuyển động và khi vật dừng lại, ta có:
Câu 39: Một vật có khối lượng m = 5kg trượt từ đỉnh xuống chân một mặt phẳng nghiêng có chiều dài S = 20m và nghiêng góc 30° so với phương ngang. Công của trọng lực tác dụng lên vật khi vật đi hết dốc có độ lớn là:
A. 5kJ B. 1000J C. 850J D. 500J
Lời giải:
Chọn D
Câu 40: Một động cơ điện cung cấp công suất 15 KW cho 1 cần cẩu nâng vật 1000Kg chuyển động đều lên cao 30m. Lấy g = 10 m/s2. Thời gian để thực hiện công việc đó là:
A. 20s B. 5s C. 15s D. 10s
Lời giải:
Ta có:
Câu 41: Đơn vị nào sau đây không phải đơn vị của công?
A. kW.h B. N.m C. kg.m2 /s2 D. kg.m2 /s
Lời giải:
Chọn D
Câu 42: Một chiếc ô tô sau khi tắt máy còn đi được 10m. Biết ô tô nặng 1,5 tấn, hệ số cản bằng 0,25 ( Lấy g = 9,8 m/s2 ). Công của lực cản có giá trị:
A. - 36750 J B. 36750 J C. 18375 J D. - 18375 J
Lời giải:
Công của lực cản là: Acản = Fms .s = μmg.s = 36750 J.
Vì công cản nên A < 0 ⇒ A = -36750 J.
Câu 43: Một vật chịu tác dụng của lần lượt ba lực khác nhau F1 > F2 > F3 và cùng đi được quãng đường trên phương AB như hình vẽ. Có kết luận gì về quan hệ giữa các công của các lực này:
A. A1 > A2 > A3
B. A1 < A2 < A3
C. A1 = A2 = A3
D. Phụ thuộc vào vật chuyển động đều hay không
Lời giải:
Chọn C
Câu 44: Kéo một xe goòng bằng một sợi dây cáp với một lực bằng 150N. Góc giữa dây cáp và mặt phẳng ngang bằng 30°. Công của lực tác dụng lên xe để xe chạy được 200 m có giá trị
A. 51900 J B. 30000 J C. 15000 J D. 25980 J
Lời giải:
Chọn D
Câu 45: Công có thể biểu thị bằng tích của:
A. Năng lượng và khoảng thời gian
B. Lực, quãng đường đi được và khoảng thời gian
C. Lực và quãng đường đi được
D. Lực và vận tốc
Lời giải:
Chọn C
Câu 46: Động năng được tính bằng biểu thức:
A. Wđ = mv2/2 B. Wđ = m2v2/2 C. Wđ = m2v/2 D. Wđ = mv/2
Lời giải:
Chọn A
Câu 47: Động năng là đại lượng:
A. Vô hướng, dương, âm hoặc bằng 0
B. Vô hướng, có thể dương hoặc bằng không
C. Vectơ, luôn dương
D. Véc tơ, có thể dương hoặc bằng không
Lời giải:
Chọn B
Câu 48: Một vật đang chuyển động với vận tốc v. Nếu hợp lực tác dụng vào vật triệt tiêu thì động năng của vật:
A. giảm theo thời gian.
B. không thay đổi.
C. tăng theo thời gian.
D. triệt tiêu.
Lời giải:
Chọn D
Câu 49: Một ôtô khối lượng 1000 kg chuyển động với vận tốc 72 km/h. Động năng của ôtô có giá trị:
A. 105 J B. 25,92.105 J C. 2.105 J D. 51,84.105 J
Lời giải:
Chọn C
Câu 50: Một ôtô có khối lượng 2 tấn đang chuyển động với vận tốc 36 km/h. Động năng của ôtô là:
A. 10.104 J. B. 103 J. C. 20.104 J. D. 2,6.106 J.
Lời giải:
Chọn A
Câu 51: Một vật có khối lượng m = 2 kg và động năng 25 J. Động lượng của vật có độ lớn là:
A. 10 kgm/s. B. 165,25 kgm/s. C. 6,25 kgm/s. D. 12,5 kgm/s.
Lời giải:
Chọn A
Câu 52: Một vật có khối lượng 0,2 kg được phóng thẳng đứng từ mặt đất với vận tốc 10 m/s.Lấy g = 10 m/s2.Bỏ qua sức cản. Hỏi khi vật đi được quãng đường 8 m thì động năng của vật có giá trị bằng bao nhiêu?
A. 8 J B. 7 J C. 9 J D. 6 J
Lời giải:
Khi vật đạt đến độ cao cực đại thì vận tốc bằng 0.
Ta có:
⇒ Vật đã đi lên đến độ cao cực đại và rơi xuống 3m so với vị trí này.
Vận tốc của vật khi đi được 8 m là v1.
v12 - v2 = 2gs ⇔ v12 = v2 + 2gs = 60.
⇒ Động năng của vật tại đó là:
Câu 53: Một vật có khối lượng m = 4 kg và động năng 18 J. Khi đó vận tốc của vật là:
A. 9 m/s B. 3 m/s C. 6 m/s D. 12 m/s
Lời giải:
Chọn B
Câu 54: Một vật có trọng lượng 10 N đặt trên mặt bàn nằm ngang. Tác dụng vào vật một lực 15N theo phương ngang, lần thứ nhất trên mặt nhẵn, lần thứ hai trên mặt nhám với cùng độ dời 0,5m. Biết rằng công toàn phần trong lần thứ hai giảm còn 2/3 so với lần thứ nhất. Lấy g = 9,8 m/s2. Hệ số ma sát giữa vật và mặt nằm ngang là:
A. 0,5 B. 0,2 C. 0,4 D. 0,3
Lời giải:
Công thực hiện lần thứ nhất:
A1 = F.s
Công thực hiện ở lần thứ hai:
A2 = Ak + Ams = F.s - μmgs.
Vì:
Câu 55: Một vật có khối lượng 500 g rơi tự do từ độ cao z = 100 m xuống đất, lấy g = 10 m/s2. Động năng của vật tại độ cao 50 m so với mặt đất bằng bao nhiêu?
A. 1000 J B. 250 J C. 50000 J D. 500 J
Lời giải:
Vận tốc của vật tại độ cao 50m là v.
Ta có: v2 - v02 = 2gh ⇔ v2 = v02 + 2gh = 02 + 2.10.50 = 1000.
⇒ Động năng của vật tại vị trí đó là: Wđ = = 250 J.
(199k) Xem Khóa học Vật Lí 10 KNTTXem Khóa học Vật Lí 10 CDXem Khóa học Vật Lí 10 CTST
Xem thêm các dạng bài tập Vật Lí lớp 10 chọn lọc có đáp án hay khác:
- Tổng hợp lý thuyết Chương Các định luật bảo toàn
- Bài tập Chương 4 Các định luật bảo toàn (P1)
- Bài tập Chương 4 Các định luật bảo toàn (P3)
Để học tốt lớp 10 các môn học sách mới:
- Giải bài tập Lớp 10 Kết nối tri thức
- Giải bài tập Lớp 10 Chân trời sáng tạo
- Giải bài tập Lớp 10 Cánh diều
Tủ sách VIETJACK shopee lớp 10-11 (cả 3 bộ sách):
Đã có app VietJack trên điện thoại, giải bài tập SGK, SBT Soạn văn, Văn mẫu, Thi online, Bài giảng....miễn phí. Tải ngay ứng dụng trên Android và iOS.
Theo dõi chúng tôi miễn phí trên mạng xã hội facebook và youtube:Nếu thấy hay, hãy động viên và chia sẻ nhé! Các bình luận không phù hợp với nội quy bình luận trang web sẽ bị cấm bình luận vĩnh viễn.
- Giải Tiếng Anh 10 Global Success
- Giải Tiếng Anh 10 Friends Global
- Giải sgk Tiếng Anh 10 iLearn Smart World
- Giải sgk Tiếng Anh 10 Explore New Worlds
- Lớp 10 - Kết nối tri thức
- Soạn văn 10 (hay nhất) - KNTT
- Soạn văn 10 (ngắn nhất) - KNTT
- Soạn văn 10 (siêu ngắn) - KNTT
- Giải sgk Toán 10 - KNTT
- Giải sgk Vật lí 10 - KNTT
- Giải sgk Hóa học 10 - KNTT
- Giải sgk Sinh học 10 - KNTT
- Giải sgk Địa lí 10 - KNTT
- Giải sgk Lịch sử 10 - KNTT
- Giải sgk Kinh tế và Pháp luật 10 - KNTT
- Giải sgk Tin học 10 - KNTT
- Giải sgk Công nghệ 10 - KNTT
- Giải sgk Hoạt động trải nghiệm 10 - KNTT
- Giải sgk Giáo dục quốc phòng 10 - KNTT
- Lớp 10 - Chân trời sáng tạo
- Soạn văn 10 (hay nhất) - CTST
- Soạn văn 10 (ngắn nhất) - CTST
- Soạn văn 10 (siêu ngắn) - CTST
- Giải Toán 10 - CTST
- Giải sgk Vật lí 10 - CTST
- Giải sgk Hóa học 10 - CTST
- Giải sgk Sinh học 10 - CTST
- Giải sgk Địa lí 10 - CTST
- Giải sgk Lịch sử 10 - CTST
- Giải sgk Kinh tế và Pháp luật 10 - CTST
- Giải sgk Hoạt động trải nghiệm 10 - CTST
- Lớp 10 - Cánh diều
- Soạn văn 10 (hay nhất) - Cánh diều
- Soạn văn 10 (ngắn nhất) - Cánh diều
- Soạn văn 10 (siêu ngắn) - Cánh diều
- Giải sgk Toán 10 - Cánh diều
- Giải sgk Vật lí 10 - Cánh diều
- Giải sgk Hóa học 10 - Cánh diều
- Giải sgk Sinh học 10 - Cánh diều
- Giải sgk Địa lí 10 - Cánh diều
- Giải sgk Lịch sử 10 - Cánh diều
- Giải sgk Kinh tế và Pháp luật 10 - Cánh diều
- Giải sgk Tin học 10 - Cánh diều
- Giải sgk Công nghệ 10 - Cánh diều
- Giải sgk Hoạt động trải nghiệm 10 - Cánh diều
- Giải sgk Giáo dục quốc phòng 10 - Cánh diều


Giải bài tập SGK & SBT
Tài liệu giáo viên
Sách
Khóa học
Thi online
Hỏi đáp

