60 bài tập trắc nghiệm chương Động học chất điểm chọn lọc, có đáp án (phần 1)
Với 60 bài tập trắc nghiệm chương Động học chất điểm (phần 1) có lời giải chi tiết sẽ giúp học sinh ôn tập, biết cách làm bài tập trắc nghiệm chương Động học chất điểm (phần 1)
60 bài tập trắc nghiệm chương Động học chất điểm chọn lọc, có đáp án (phần 1)
(199k) Xem Khóa học Vật Lí 10 KNTTXem Khóa học Vật Lí 10 CDXem Khóa học Vật Lí 10 CTST
Câu 1: Lúc 7 giờ, một người ở A chuyển động thẳng đều với v = 36 km/h đuổi theo người ở B đang chuyển động với v = 5 m/s. Biết AB = 18 km. Viết phương trình chuyển động của 2 người. Lúc mấy giờ và ở đâu 2 người đuổi kịp nhau
A. 58 km
B. 46 km
C. 36 km
D. 24 km
Lời giải:
Chọn gốc toạ độ tại A, gốc thời gian lúc 7 giờ.
Ptcđ có dạng: xA = 36t ; xB = x0 + vB.t = 18 + 18t
Khi hai xe gặp nhau: x1 = x2 suy ra t = 1h.
Vậy xA = xB = 36 km
Câu 2: Một vật chuyển động thẳng không đổi chiều. Trên quãng đường AB, vật đi nửa quãng đường đầu với vận tốc v1 = 20 m/s, nửa quãng đường sau vật đi với vận tốc v2 = 5 m/s. Vận tốc trung bình trên cả quãng đường là:
A.12,5 m/s B. 8 m/s C. 4 m/s D.0,2 m/s
Lời giải:
Câu 3: Một vật nhỏ rơi tự do từ các độ cao h = 80 m so với mặt đất. Lấy gia tốc rơi tự do g = 10 m/s2. Quãng đường vật đi được trong 1 giây cuối cùng trước khi chạm đất là?
A. 5 m
B. 35 m
C. 45 m
D. 20 m
Lời giải:
Câu 4 : Một xe chuyển động thẳng không đổi chiều có vận tốc trung bình là 20 km/h trên 1/4 đoạn đường đầu và 40 km/h trên 3/4 đoạn đường còn lại .Vận tốc trung bình của xe trên cả đoạn đường là :
A. 30 km/h B. 32 km/h C. 128 km/h D. 40 km/h
Lời giải:
Câu 5: Một vật rơi tự do từ độ cao 20m xuống đất. Cho g = 10 m/s2 . Tính vận tốc lúc ở mặt đất.
A. 30 m/s
B. 20 m/s
C. 15 m/s
D. 25 m/s
Lời giải:
Câu 6: Hai ôtô xuất phát cùng một lúc, xe 1 xuất phát từ A chạy về B, xe 2 xuất phát từ B cùng chiều xe 1, AB = 20 km. Vận tốc xe 1 là 50 km/h, xe B là 30 km/h. Hỏi sau bao lâu xe 1 gặp xe 2
A. 1h
B. 2h
C. 1.5h
D. 1.75h
Lời giải:
Chọn gốc toạ độ tại vị trí tại A, gốc thời gian lúc 2 xe xuất phát.
Ptcđ có dạng: x1 = 50t ; x2 = 20 + 30t
Khi hai xe đuổi kịp nhau: x1 = x2 suy ra t = 1h
Đồ thị của 3 vật (I), (II), (III) được thể hiện trên hình vẽ:
Câu 7: Phương trình chuyển động của vật (I) có dạng như thế nào?
A. x1 = 5 + t B. x1 = 0 C. x1 = 5 D. x1 = 5t
Lời giải:
Xe (I): x1 = 5 m/s
Câu 8: Phương trình chuyển động của vật (II) có dạng như thế nào?
A. x2 = 5 – t B. x2 = 5+ t C. x2 = 5 D. x2 = 5t
* Một chất điểm chuyển động trên đường tròn bán kính 15cm với tần số không đổi 5 vòng/s. Dựa vào đề bài trên trả lời câu hỏi 9-10-11 sau đây:
Lời giải:
Xe (II): x02 = 5m
t2 = 5s; x2 = 0
Câu 9: Phương trình chuyển động của vật (III) có dạng như thế nào?
A. x3 = 10 + 0,5t B. x3 = 10 – 0,5t C. x3 = -10 - 0,5t D. x3 = -10 + 0,5t
Lời giải:
t03 = 0; x03 = -10 m/s
t3 = 20s; x3 = 0
⇒ v3 = 1/2 m/s
⇒ x3 = -10 + t/2
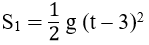
Câu 10: Trong 3s cuối cùng trước khi chạm đất, vật rơi tự do được quãng đường 345 m. Tính thời gian rơi và độ cao của vật lúc thả, g = 9,8 m/s2
A. 460 m
B. 636 m
C. 742 m
D. 854 m
Lời giải:
Gọi t là thời gian vật rơi.
Quãng đường vật rơi trong t giây:
Quãng đường vật rơi trong (t – 3) giây đầu tiên:
Quãng đường vật rơi trong 3 giây cuối: S’ = S – S1
Suy ra suy ra t = 13,2s
Độ cao lúc thả vật: Sthả = 854 m
Câu 11: Phương trình chuyển động của đồ thị sau có dạng như thế nào?
A. x = (5/3)t B. x = (3/5)t C. x = 5 + 3t D. x= 3 + 5t
Lời giải:
t = 0: x0 = 0
t = 3s: x = 5 m
Câu 12: Một viên đá được thả từ một khí cầu đang bay lên theo phương thẳng đứng với vận tốc 5 m/s, ở độ cao 300 m. Viên đá chạm đất sau khoảng thời gian?
A. 8.35s
B. 7.8s
C. 7.3s
D. 1.5s
Lời giải:
chọn trục tọa độ Ox theo phương thẳng đứng có chiều dương hướng lên trên và gốc tại vị trí thả viên đá
Ta có: h = vot + at2/2 với vo = 5m/s và a = - g = 9.8 m/s2
⇒ 4.9t2 – 5t – 300 = 0
Vậy t = 8.35s (chọn); t = -7.33s (loại)
Câu 13: Chu kì của chất điểm là:
A. 0.1s
B. 0.3s
C. 0.4s
D. 0.2s
Lời giải:
Tốc độ góc: ω = 2 π f = 10 π rad/s
Chu kì: T = 1/f = 0,2s
Tốc độ dài: v = r.ω = 4,71 m/s
Câu 14: tốc độ dài của chất điểm là:
A. 4.71 m/s
B. 3.98 m/s
C. 6.67 m/s
D. 5.38 m/s
Lời giải:
Tốc độ góc: ω = 2 π f = 10 π rad/s
Chu kì: T = 1/f = 0,2s
Tốc độ dài: v = r.ω = 4,71 m/s
Câu 15: tần số góc của chất điểm là
A. 10π rad/s
B. 20π rad/s
C. 30π rad/s
D. 15π rad/s
Lời giải:
Tốc độ góc: ω = 2 π f = 10 π rad/s
Chu kì: T = 1/f = 0,2s
Tốc độ dài: v = r.ω = 4,71 m/s
Câu 16: Một vật được thả rơi tự do không vận tốc đầu, g = 10 m/s2. Tính đoạn đường vật đi được trong giây thứ 7.
A. 65 m
B. 70 m
C. 180 m
D. 245 m
Lời giải:
Quãng đường đi trong 6s đầu: S1 = g t12 = 180 m
Quãng đường vật đi trong 7s đầu: S2 = g t22 = 245 m
Quãng đường đi trong giây thứ 7: S’ = S1 – S2 = 65 m
Câu 17: Chọn phát biểu sai:
A. Vectơ gia tốc của chuyển động thẳng biến đổi đều cùng chiều với vectơ vận tốc
B. Vectơ gia tốc của chuyển động thẳng biến đổi đều có phương không đổi
C. Vectơ gia tốc của chuyển động thẳng chậm dần đều ngược chiều với vectơ vận tốc
D. Vectơ gia tốc của chuyển động thẳng biến đổi đều có độ lớn không đổi
Lời giải:
Chọn A
Câu 18: Chọn câu sai: Khi một chất điểm chuyển động thẳng biến đổi đều thì nó:
A. Có gia tốc trung bình không đổi
B. Có gia tốc không đổi
C. Chỉ có thể chuyển động nhanh dần hoặc chậm dần đều
D. Có thể lúc đầu chuyển động chậm dần đều, sau đó nhanh dần đều
Lời giải:
Chọn C
Câu 19: Chuyển động thẳng biến đổi đều là chuyển động:
A. Có quỹ đạo là đường thẳng, vectơ gia tốc bằng không
B. Có quỹ đạo là đường thẳng, vectơ gia tốc không thay đổi trong suốt quá trình chuyển động
C. Có quỹ đạo là đường thẳng, vectơ gia tốc và vận tốc không thay đổi trong suốt quá trình chuyển động
D. Có quỹ đạo là đường thẳng, vectơ vận tốc không thay đổi trong suốt quá trình chuyển động
Lời giải:
Chọn B
Câu 20: Một xe khách chạy với v = 95 km/h phía sau một xe tải đang chạy với v = 75 km/h. Nếu xe khách cách xe tải 110 m thì sau bao lâu nó sẽ bắt kịp xe tải? Khi đó xe tải phải chạy một quãng đường bao xa.
A. 0.1125 km
B. 0.1225 km
C. 0.3125 km
D. 0.4125 km
Lời giải:
Chọn gốc toạ độ tại vị trí xe khách chạy
Ptcđ có dạng: x1 = 95t ; x2 = 0,11 + 75t
Khi hai xe gặp nhau: x1 = x2
⇒ t = 0,0055 h
S2 = v2.t = 0,4125 km
(199k) Xem Khóa học Vật Lí 10 KNTTXem Khóa học Vật Lí 10 CDXem Khóa học Vật Lí 10 CTST
Xem thêm các dạng bài tập Vật Lí lớp 10 chọn lọc có đáp án hay khác:
- Tổng hợp lý thuyết Chương Động học chất điểm
- Bài tập Chương 1 Động học chất điểm (P2)
- Bài tập Chương 1 Động học chất điểm (P3)
Để học tốt lớp 10 các môn học sách mới:
- Giải bài tập Lớp 10 Kết nối tri thức
- Giải bài tập Lớp 10 Chân trời sáng tạo
- Giải bài tập Lớp 10 Cánh diều
Tủ sách VIETJACK shopee lớp 10-11 (cả 3 bộ sách):
Đã có app VietJack trên điện thoại, giải bài tập SGK, SBT Soạn văn, Văn mẫu, Thi online, Bài giảng....miễn phí. Tải ngay ứng dụng trên Android và iOS.
Theo dõi chúng tôi miễn phí trên mạng xã hội facebook và youtube:Nếu thấy hay, hãy động viên và chia sẻ nhé! Các bình luận không phù hợp với nội quy bình luận trang web sẽ bị cấm bình luận vĩnh viễn.
- Giải Tiếng Anh 10 Global Success
- Giải Tiếng Anh 10 Friends Global
- Giải sgk Tiếng Anh 10 iLearn Smart World
- Giải sgk Tiếng Anh 10 Explore New Worlds
- Lớp 10 - Kết nối tri thức
- Soạn văn 10 (hay nhất) - KNTT
- Soạn văn 10 (ngắn nhất) - KNTT
- Soạn văn 10 (siêu ngắn) - KNTT
- Giải sgk Toán 10 - KNTT
- Giải sgk Vật lí 10 - KNTT
- Giải sgk Hóa học 10 - KNTT
- Giải sgk Sinh học 10 - KNTT
- Giải sgk Địa lí 10 - KNTT
- Giải sgk Lịch sử 10 - KNTT
- Giải sgk Kinh tế và Pháp luật 10 - KNTT
- Giải sgk Tin học 10 - KNTT
- Giải sgk Công nghệ 10 - KNTT
- Giải sgk Hoạt động trải nghiệm 10 - KNTT
- Giải sgk Giáo dục quốc phòng 10 - KNTT
- Lớp 10 - Chân trời sáng tạo
- Soạn văn 10 (hay nhất) - CTST
- Soạn văn 10 (ngắn nhất) - CTST
- Soạn văn 10 (siêu ngắn) - CTST
- Giải Toán 10 - CTST
- Giải sgk Vật lí 10 - CTST
- Giải sgk Hóa học 10 - CTST
- Giải sgk Sinh học 10 - CTST
- Giải sgk Địa lí 10 - CTST
- Giải sgk Lịch sử 10 - CTST
- Giải sgk Kinh tế và Pháp luật 10 - CTST
- Giải sgk Hoạt động trải nghiệm 10 - CTST
- Lớp 10 - Cánh diều
- Soạn văn 10 (hay nhất) - Cánh diều
- Soạn văn 10 (ngắn nhất) - Cánh diều
- Soạn văn 10 (siêu ngắn) - Cánh diều
- Giải sgk Toán 10 - Cánh diều
- Giải sgk Vật lí 10 - Cánh diều
- Giải sgk Hóa học 10 - Cánh diều
- Giải sgk Sinh học 10 - Cánh diều
- Giải sgk Địa lí 10 - Cánh diều
- Giải sgk Lịch sử 10 - Cánh diều
- Giải sgk Kinh tế và Pháp luật 10 - Cánh diều
- Giải sgk Tin học 10 - Cánh diều
- Giải sgk Công nghệ 10 - Cánh diều
- Giải sgk Hoạt động trải nghiệm 10 - Cánh diều
- Giải sgk Giáo dục quốc phòng 10 - Cánh diều


Giải bài tập SGK & SBT
Tài liệu giáo viên
Sách
Khóa học
Thi online
Hỏi đáp

