Lý thuyết Điện thế. Hiệu điện thế (hay, chi tiết nhất)
Bài viết Lý thuyết Điện thế. Hiệu điện thế hay, chi tiết nhất giúp bạn nắm vững kiến thức trọng tâm về Điện thế. Hiệu điện thế.
Lý thuyết Điện thế. Hiệu điện thế
(199k) Xem Khóa học Vật Lí 11 KNTTXem Khóa học Vật Lí 11 CDXem Khóa học Vật Lí 11 CTST
Bài giảng: Bài 5: Điện thế. Hiệu điện thế - Cô Nguyễn Quyên (Giáo viên VietJack)
A. Tóm tắt lý thuyết
1. Điện thế:
• Định nghĩa: Điện thế tại một điểm M trong điện trường là đại lượng đặc trưng cho điện trường về phương diện tạo ra thế năng khi đặt tại đó một điện tích q. Nó được xác định bằng thương số của công của lực điện tác dụng lên điện tích q khi q di chuyển từ M ra xa vô cực và độ lớn của q.
• Đơn vị: Vôn (V)
• Điện thế là đại lượng đại số. Thường chọn điện thế của đất và của một điểm ở vô cực làm mốc (bằng 0).
2. Hiệu điện thế.
• Định nghĩa: Hiệu điện thế giữa hai điểm M, N trong điện trường là đại lượng đặc trưng cho khả năng sinh công của điện trường trong sự di chuyển của một điện tích từ M đến N. Nó được xác định bằng thương số giữa công của lực điện tác dụng lên điện tích q trong sự di chuyển của q từ M đến N và độ lớn của q.
• Đơn vị: Vôn (V)
• Đo hiệu điện thế tĩnh điện bằng tĩnh điện kế.
• Hệ thức giữa hiệu điện thế và cường độ điện trường.
B. Kỹ năng giải bài tập
- Áp dụng công thức tính hiệu điện thế:
- Công thức tính công khi điện tích di chuyển dọc theo đường sức từ M đến N: AMN = q.UMN
Kiến thức liên quan:
+ Định lý biến thiên động năng:
+ Định luật II Newton: F→ = m.a→
+ Các công thức của chuyển động biến đổi đều:
C. Bài tập trắc nghiệm
Câu 1: Hai điểm M và N nằm trên cùng một đường sức của một điện trường đều có cường độ E, hiệu điện thế giữa M và N là UMN, khoảng cách MN = d. Công thức nào sau đây là không đúng?
A. UMN = VM – VN. B. UMN = E.d
C. AMN = q.UMN D. E = UMN.d
Hướng dẫn:
Chọn D.
Ta có:
Câu 2: Hiệu điện thế giữa hai điểm M, N là UMN = 40 V. Chọn câu chắc chắn đúng:
A. Điện thế ở M là 40 V
B. Điện thế ở N bằng 0
C. Điện thế ở M có giá trị dương, ở N có giá trị âm
D. Điện thế ở M cao hơn điện thế ở N 40 V
Hướng dẫn:
Chọn D.
Ta có: UMN = VM - VN = 40V
⇒ Điện thế tại M cao hơn điện thế tại N 40 V.
Câu 3: Ở sát mặt Trái Đất, vec tơ cường độ điện trường hướng thẳng đứng từ trên xuống dưới và có độ lớn vào khoảng 150 V/m. Tính hiệu điện thế giữa một điểm ở độ cao 5 m và mặt đất.
A. 750 V B. 570 V
C. 710 V D. 850 V
Hướng dẫn:
Chọn A.
Hiệu điện thế giữa điểm ở độ cao 5m và mặt đất là U = E.d = 150.5 = 750 V.
Câu 4: Hiệu điện thế giữa hai điểm M và N là UMN = 1 (V). Công của điện trường làm dịch chuyển điện tích q = -1 (μC) từ M đến N là:
A. A = - 1 (μJ). B. A = + 1 (μJ).
C. A = - 1 (J). D. A = + 1 (J).
Hướng dẫn:
Chọn A.
Công dịch chuyển: AMN = q.UMN = -10-6.1 = -10-6 (J) = -1(μJ)
Câu 5: Công của lực điện trường làm di chuyển một điện tích giữa hai điểm có hiệu điện thế U = 2000 (V) là A = 1 (J). Độ lớn của điện tích đó là:
A. q = 2.10-4 (C). B. q = 2.10-4 (μC).
C. q = 5.10-4 (C). D. q = 5.10-4 (μC).
Hướng dẫn:
Chọn C.
Công dịch chuyển: AMN = q.UMN
⇒điện tích
Câu 6: Giữa hai bản kim loại phẳng song song cách nhau 4cm có một hiệu điện thế không đổi 200V. Cường độ điện trường ở khoảng giữa hai bản kim loại là:
A. 5000V/m B. 50V/m
C. 800V/m D. 80V/m.
Hướng dẫn:
Chọn A.
Cường độ điện trường
Câu 7: Mặt trong của màng tế bào trong cơ thể sống mang điện tích âm, mặt ngoài mang điện tích dương. Hiệu điện thế giữa hai mặt này bằng 0,07 V. Màng tế bào dày 8,0.10-9 m. Hỏi cường độ điện trường trong màng tế bào bằng bao nhiêu?
A. 8,75.106 V/m B. 8,57.107 V/m
C. 8,50.106 V/m D. 8,07.106 V/m
Hướng dẫn:
Chọn A.
Cường độ điện trường
Câu 8: Bắn một electron với vận tốc đầu rất nhỏ vào một điện trường đều giữa hai bản kim loại phẳng theo phương song song với các đường sức điện (hình vẽ). Electron được tăng tốc trong điện trường. Ra khỏi điện trường, nó có vận tốc bằng 107 m/s. Tính hiệu điện thế giữa UAB giữa hai bản. Biết điện tích của electron -1,6.10-19 C. Khối lượng của electron là 9,1.10-31 kg.
A. 284 V. B. 248 V.
C. -248 V. D. -284 V
Hướng dẫn:
Chọn D.
Áp dụng định lý biến thiên động năng biến thiên động năng:
Câu 9: Hai bản kim loại phẳng song song mang điện tích trái dấu, cách nhau 2cm, cường độ điện trường giữa hai bản là 3.103 V/m. Một hạt mang điện q = 1,5.10-2 C di chuyển từ bản dương sang bản âm với vận tốc ban đầu bằng 0, khối lượng của hạt mang điện là 4,5.10-6 g. Vận tốc của hạt mang điện khi đập vào bản âm là:
A. 4.104 m/s. B. 2.104 m/s.
C. 6.104 m/s. D. 105 m/s.
Hướng dẫn:
Chọn B.
Áp dụng định lý biến thiên động năng biến thiên động năng:
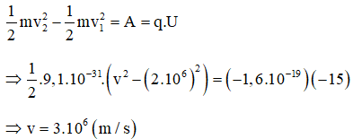
Câu 10: Một electron bay vào trong điện trường theo hướng ngược với hướng của đường sức điện với vận tốc 2000 km/s. Vận tốc của electron ở cuối đoạn đường sẽ là bao nhiêu biết hiệu điện thế ở hai đầu đoạn đường là 15 V.
A. 4.106 m/s. B. 2.106 m/s.
C. 3.106 m/s. D. 106 m/s.
Hướng dẫn:
Chọn C.
Áp dụng định lý biến thiên động năng biến thiên động năng:
Câu 11: Một quả cầu nhỏ khối lượng 3,06.10-15 (kg), mang điện tích 4,8.10-18 (C), nằm lơ lửng giữa hai tấm kim loại song song nằm ngang nhiễm điện trái dấu, cách nhau một khoảng 2 (cm). Lấy g = 10 (m/s2). Hiệu điện thế đặt vào hai tấm kim loại đó là:
A. U = 255,0 (V). B. U = 127,5 (V).
C. U = 63,75 (V). D. U = 734,4 (V).
Hướng dẫn:
Quả cầu chịu tác dụng của 2 lực:
+ Trọng lực P = mg hướng xuống dưới,
+ lực điện F = qE hướng lên trên.
Quả cầu cân bằng ⇒ P = F
Câu 12: Một electron chuyển động dọc theo đường sức của một điện trường đều. Cường độ điện trường có độ lớn bằng 100V/m. Vận tốc ban đầu của electron là 3.105 m/s, khối lượng của electron là 9,1.10-31kg. Từ lúc bắt đầu chuyển động đến khi có vận tốc bằng 0 thì electron đã đi được quãng đường
A. 5,12 mm. B. 0,256 m.
C. 5,12 m. D. 2,56 mm.
Hướng dẫn:
Chọn D.
Áp dụng định lý biến thiên động năng biến thiên động năng:
(199k) Xem Khóa học Vật Lí 11 KNTTXem Khóa học Vật Lí 11 CDXem Khóa học Vật Lí 11 CTST
Xem thêm tóm tắt lý thuyết Vật Lí lớp 11 hay, chi tiết khác:
- Lý thuyết Điện trường và cường độ điện trường. Đường sức điện
- Lý thuyết Công của lực điện
- Lý thuyết Tụ điện
Tủ sách VIETJACK shopee lớp 10-11 (cả 3 bộ sách):
Đã có app VietJack trên điện thoại, giải bài tập SGK, SBT Soạn văn, Văn mẫu, Thi online, Bài giảng....miễn phí. Tải ngay ứng dụng trên Android và iOS.
Theo dõi chúng tôi miễn phí trên mạng xã hội facebook và youtube:Nếu thấy hay, hãy động viên và chia sẻ nhé! Các bình luận không phù hợp với nội quy bình luận trang web sẽ bị cấm bình luận vĩnh viễn.
- Giải Tiếng Anh 11 Global Success
- Giải sgk Tiếng Anh 11 Smart World
- Giải sgk Tiếng Anh 11 Friends Global
- Lớp 11 - Kết nối tri thức
- Soạn văn 11 (hay nhất) - KNTT
- Soạn văn 11 (ngắn nhất) - KNTT
- Giải sgk Toán 11 - KNTT
- Giải sgk Vật Lí 11 - KNTT
- Giải sgk Hóa học 11 - KNTT
- Giải sgk Sinh học 11 - KNTT
- Giải sgk Lịch Sử 11 - KNTT
- Giải sgk Địa Lí 11 - KNTT
- Giải sgk Giáo dục KTPL 11 - KNTT
- Giải sgk Tin học 11 - KNTT
- Giải sgk Công nghệ 11 - KNTT
- Giải sgk Hoạt động trải nghiệm 11 - KNTT
- Giải sgk Giáo dục quốc phòng 11 - KNTT
- Giải sgk Âm nhạc 11 - KNTT
- Lớp 11 - Chân trời sáng tạo
- Soạn văn 11 (hay nhất) - CTST
- Soạn văn 11 (ngắn nhất) - CTST
- Giải sgk Toán 11 - CTST
- Giải sgk Vật Lí 11 - CTST
- Giải sgk Hóa học 11 - CTST
- Giải sgk Sinh học 11 - CTST
- Giải sgk Lịch Sử 11 - CTST
- Giải sgk Địa Lí 11 - CTST
- Giải sgk Giáo dục KTPL 11 - CTST
- Giải sgk Hoạt động trải nghiệm 11 - CTST
- Giải sgk Âm nhạc 11 - CTST
- Lớp 11 - Cánh diều
- Soạn văn 11 Cánh diều (hay nhất)
- Soạn văn 11 Cánh diều (ngắn nhất)
- Giải sgk Toán 11 - Cánh diều
- Giải sgk Vật Lí 11 - Cánh diều
- Giải sgk Hóa học 11 - Cánh diều
- Giải sgk Sinh học 11 - Cánh diều
- Giải sgk Lịch Sử 11 - Cánh diều
- Giải sgk Địa Lí 11 - Cánh diều
- Giải sgk Giáo dục KTPL 11 - Cánh diều
- Giải sgk Tin học 11 - Cánh diều
- Giải sgk Công nghệ 11 - Cánh diều
- Giải sgk Hoạt động trải nghiệm 11 - Cánh diều
- Giải sgk Giáo dục quốc phòng 11 - Cánh diều
- Giải sgk Âm nhạc 11 - Cánh diều


Giải bài tập SGK & SBT
Tài liệu giáo viên
Sách
Khóa học
Thi online
Hỏi đáp

