100 câu trắc nghiệm Hạt nhân nguyên tử có lời giải (nâng cao - phần 1)
Với 100 câu trắc nghiệm Hạt nhân nguyên tử có lời giải chi tiết sẽ giúp học sinh ôn tập, biết cách làm câu trắc nghiệm Hạt nhân nguyên tử.
100 câu trắc nghiệm Hạt nhân nguyên tử có lời giải (nâng cao - phần 1)
(199k) Học Vật Lí 12 KNTTHọc Vật Lí 12 CDHọc Vật Lí 12 CTST
Bài 1: Cho biết bán kính hạt nhân
Hãy xác định mật độ khối lượng, mật độ điện tích của hạt nhân. Chọn đáp án đúng.
A. ρ = 2,29.1017 (Kg/m3), ρq = 1,1.1025 (C/m3)
B. ρ = 2,59.1017 (Kg/m3), ρq = 1,8.1025 (C/m3)
C. ρ = 3,59.1017 (Kg/m3), ρq = 1,6.1025 (C/m3)
D. ρ = 2,59.1017 (Kg/m3), ρq = 2,1.1025 (C/m3)
Lời giải:
Đáp án: A
HD Giải: Thể tích của hạt nhân
là:
Mật độ khối lượng:
Mật độ điện tích:
Bài 2: Tìm tỉ số bán kính và tỉ số các điện tích riêng (q/m) của đồng vị O16 so với đồng vị O18.
A.
B.
C.
D.
Lời giải:
Đáp án: A
HD Giải: Bán kính và điện tích riêng (q/m) của đồng vị O16 tương ứng là
của đồng vị O18 là
Các tỉ số cần tìm là:
Bài 3: Tìm số nuclôn có trong 100g khí CO2.
A. 6,09.1023 B. 6,02.1025 C. 6,02.1029 D. 6,09.1025
Lời giải:
Đáp án: B
HD Giải: Trong mỗi phân tử CO2 có: 12 + 2.16 = 44 nuclôn nên tổng số nuclôn là N=(100/44).6,02.1023.44=6,02.1025
Bài 4: Khí clo trong tự nhiên có thể coi là hỗn hợp của hai đồng vị chính là C35 có khối lượng nguyên tử là 34,969 u và C37 có khối lượng nguyên tử là 36,996 u. Cho khối lượng nguyên tử của clo trong tự nhiên là 35,453. Xác định tí lệ % số hạt C35 trong tự nhiên.
A. 78,5% B. 79,5% C. 68,5% D. 70,5%
Lời giải:
Đáp án: A
HD Giải: Gọi tỉ lệ số hạt của C35 trong tự nhiên là x thì:
Bài 5: Thôri
sau một số phóng xạ α và β- sẽ biến thành đồng vị bền của chì
. Số phóng xạ α và số phóng xạ β- trong quá trình biến đổi này tương ứng là bao nhiêu?
A. 6 và 4 B. 6 và 6 C. 4 và 4 D. 4 và 6
Lời giải:
Đáp án: A
HD Giải: Gọi x là số lần phóng xạ α và y là số lần phóng xạ β-. Phương trình biểu diễn quá trình biến đổi là:
Áp dụng định luật bảo toàn số khối và bảo toàn điện tích ta có:
232 = 208 + 4x
90 = 82 + 2x - y
Giải hệ ta tìm được: x = 6; y = 4.
Bài 6: Chất phóng xạ
có chu kỳ bán rã 140 ngày, sau khi phóng xạ α biến thành hạt nhân chì (Pb). Ban đầu có 42mg, số prôton và nơtron của hạt nhân Pb nhận giá trị nào sau đây
A. 130notron và 80 proton
B. 126 notron và 84 proton
C. 124notron và 84 proton
D. 124 notron và 82 proton
Lời giải:
Đáp án: D
HD Giải: Số prôton và nơtron của Pb nhận giá trị: 124 notron và 82 proton
Bài 7: Trong dãy phân rã phóng xạ
có bao nhiêu hạt α và β- được phát ra
A. 3α và 4 β- B. 7α và 4 β- C. 4α và 7 β- D. 7α và 2β-
Lời giải:
Đáp án: B
HD Giải: Phương trình phản ứng:
Định luật bảo toàn:
Sô khối: 235 = 207 + 4x
Điện tích: 92 = 82 + 2x +yz
. Vậy có 7 hạt α và 4 hạt β-
Bài 8: Cho 1u = 1,66055.10-27 kg; c = 3.108 m/s; 1 eV = 1,6.10-19 J. Hạt prôtôn có khối lượng mp = 1,007276 u, thì có năng lượng nghỉ là
A. 940,86 MeV. B. 980,48 MeV. C. 9,804 MeV. D. 94,08 MeV.
Lời giải:
Đáp án: A
HD Giải: E0 = m0c2 = 15,05369.10-11 J = 940,86 MeV.
Bài 9: Một gia đình sử dụng hết 1000 kWh điện trong một tháng. Cho tốc độ ánh sáng là 3.108 m/s. nếu có cách chuyển một chiếc móng tay nặng 0,1g thành điện năng thì sẽ đủ cho gia đình sử dụng trong bao lâu
A. 625 năm
B. 208 năm 4 tháng
C. 150 năm 2 tháng
D. 300 năm tròn
Lời giải:
Đáp án: B
HD Giải: Điện năng gia đình sử dụng trong 1 tháng W = 1000kWh = 3,6.109J
Năng lượng nghỉ của 0,1g móng tay: E = mc2 = 9.1012J
Thời gian gia đình sử dụng
= 2500 tháng = 208 năm 4 tháng.
Bài 10: Biết số Avôgađrô NA = 6,02.1023 hạt/mol và khối lượng của hạt nhân bằng số khối của nó. Số prôtôn (prôton) có trong 0,27 gam
là
A. 6,826.1022. B. 8,826.1022 C. 9,826.1022 D. 7,826.1022.
Lời giải:
Đáp án: D
HD Giải:
Bài 11: Số prôtôn (prôton) là:
hạt.
Biết NA = 6,02.1023 mol-1. Trong 59,5 g
có số nơtron xấp xỉ là
A. 2,20.1025 B. 2,38.1023. C. 1,19.1025. D. 9,21.1024.
Lời giải:
Đáp án: A
HD Giải:
Bài 12: Cho khối lượng của hạt nhân
là 106,8783u; của nơtron là 1,0087u; của prôtôn là 1,0073u. Độ hụt khối của hạt nhân
là:
A. 0,9868u. B. 0,6986u. C. 0,6868u. D. 0,9686u.
Lời giải:
Đáp án: A
HD Giải: Δm = [Z.mp + (A - Z).mn] - m = [47. 1,0087 + (107 – 47). 1,0073] – 106,8783 = 0,9868u
Bài 13: Cho khối lượng của hạt prôton; nơtron và hạt nhân đơteri
lần lượt là 1,0073u; 1,0087u và 2,0136u. Biết 1u = 931,5MeV/c2. Năng lượng liên kết riêng của hạt nhân đơteri
là:
A. 3,06 MeV/nuclôn.
B. 2,24 MeV/nuclôn.
C. 1,12 MeV/nuclôn.
D. 4,48 MeV/nuclôn.
Lời giải:
Đáp án: C
HD Giải:
Bài 14: Biết khối lượng của prôtôn; của nơtron; của hạt nhân
lần lượt là: 1,0073 u; 1,0087 u; 15,9904 u và 1u = 931,5 MeV/c2. Năng lượng liên kết của hạt nhân
xấp xĩ bằng
A. 14,25 MeV. B. 18,76 MeV. C. 128,17 MeV. D. 190,81 MeV.
Lời giải:
Đáp án: C
HD Giải: Elk = (8.1,0073 + 8.1,0087 – 15,9904).931,5 = 128,17 (MeV).
Bài 15: Biết khối lượng của hạt nhân
là 234,99 u, của prôtôn là 1,0073 u và của nơtron là 1,0087 u và 1u = 931,5 MeV/c2. Năng lượng liên kết riêng của hạt nhân
là
A. 8,71 MeV/nuclôn.
B. 7,63 MeV/nuclôn.
C. 6,73 MeV/nuclôn.
D. 7,95 MeV/nuclôn.
Lời giải:
Đáp án: B
HD Giải:
Bài 16: Cho ba hạt nhân X, Y và Z có số nuclôn tương ứng là Ax, By, Cz với Ax = 2Ay = 0,5Az. Biết năng lượng liên kết của từng hạt nhân tương ứng là ΔEx, ΔEy, ΔEz với ΔEz < ΔEx < ΔEy. Sắp xếp các hạt nhân này theo thứ tự tính bền vững giảm dần là:
A. X, Y, Z. B. Z, X, Y. C. Y, X, Z. D. Y, Z, X.
Lời giải:
Đáp án: C
HD Giải: Từ giả thiết Ax = 2AY, 0,5Az = 2Ay ⟺ AZ = 2AX = 4Ay (1)
Ta lại có: ΔEZ<ΔEX<ΔEY (2)
Năng lượng liên kết riêng của X, Y, Z là
. Từ đó ta dễ thấy εY>εX>εZ
Vì năng lượng liên kết càng lớn thì càng bền vững nên sắp xếp tính bền vững giảm dần, ta có Y, X, Z.
Bài 17: Cho khối lượng của prôtôn; nơtron;
; của
lần lượt là: 1,0073 u; 1,0087 u; 39,9525 u; 6,0145 u; 1 u = 931,5 MeV/c2. So với năng lượng liên kết riêng của hạt nhân
thì năng lượng liên kết riêng của hạt nhân
A. lớn hơn một lượng là 5,20 MeV.
B. lớn hơn một lượng là 3,42 MeV.
C. nhỏ hơn một lượng là 3,42 MeV.
D. nhỏ hơn một lượng là 5,20 MeV.
Lời giải:
Đáp án: B
HD Giải:
εAr - εLi = 3,42 MeV
Bài 18: Năng lượng liên kết của hạt nhân đơteri là 2,2MeV và của
là 28,3MeV.Nếu hai hạt nhân đơteri tổng hợp thành
thì năng lượng tỏa ra là:
A. 30,2MeV. B. 25,8MeV. C. 23,9MeV. D. 19,2MeV.
Lời giải:
Đáp án: C
HD Giải: ΔE = 28,3 - 2.2,2 = 23,9MeV
Bài 19: Các hạt nhân
; triti
; heli
có năng lượng liên kết lần lượt là 2,22 MeV; 8,49 MeV và 28,16 MeV. Các hạt nhân trên được sắp xếp theo thứ tự giảm dần về độ bền vững của hạt nhân là
A.
;
;
B.
;
;
C.
;
;
D.
;
;
Lời giải:
Đáp án: B
HD Giải: Để xác định được độ bền vũng của hạt nhân ta cần so sánh năng lượng liên kết riêng của hạt nhân εlkr=(ΔElk)/A → Các hạt nhân
; triti
; heli
có năng lượng liên kết riêng lần lượt là 1,11MeV; 2,83 MeV và 7,04 MeV.
Bài 20: Cho phản ứng hạt nhân : T + D → α + n. Cho biết mT =3,016u; mD = 2,0136u; mα = 4,0015u; mn = 1,0087u; u = 931 MeV/c2. Khẳng định nào sau đây liên quan đến phản ứng hạt nhân trên là đúng ?
A. tỏa 18,06MeV B. thu 18,06MeV C. tỏa 11,02 MeV D. thu 11,02 MeV
Lời giải:
Đáp án: A
HD Giải: Ta có: T + D → α + n ta có M0= mT + mD ; M = m + mn . Vì M0> M
Phản ứng tỏa năng lượng, năng lượng là :
Bài 21: Xét phản ứng:
.
Cho năng lượng liên kết riêng 235U là 7,7 MeV, của 140Ce là 8,43 MeV, của 93Nb là 8,7 MeV. Năng lượng tỏa ra ở phản ứng trên bằng
A. 179,8 MeV. B. 173,4 MeV. C. 82,75 MeV. D. 128,5 MeV.
Lời giải:
Đáp án: A
HD Giải: Năng lượng tỏa ra ở phản ứng
ΔE = (mn + mU – mCe – mNb – 7mn – 7me)c2
=
=
= 140. 8,43 + 93.8,7 + 3.1.0 + 7.0.0 - 235. 7,7 – 1.0 = 179,8 MeV
Bài 22: Cho phản ứng hạt nhân
. Biết độ hụt khối của
là (ΔmD = 0,0024u, ΔmHe = 0,0505u và 1u = 931,5Mev/c2, NA = 6,022.1023 mol-1. Nước trong tự nhiên có chứa 0,015% D2O, nếu toàn bộ
được tách ra từ 1kg nước làm nhiên liệu dùng cho phản ứng trên thì toả ra năng lượng là:
A. 3,46.108KJ B. 1,73.1010KJ C. 3,46.1010KJ D. 30,762.106 kJ
Lời giải:
Đáp án: D
HD Giải: Độ hụt khối: Δm = Zmp + (A-Z)mn – m -----> m = Zmp + (A-Z)mn – Δm
Năng lượng một phản ứng toả ra:
ΔE=(ΔmHe+Δmn-2ΔmD ).c2=(0,0505+0-2.0,0024).931,5=42,57 MeV = 68,11.10-13J
Khối lượng D2O có trong 1000g H2O = 0,015x 1000/100 = 0,15 g.
Số phân tử D2 chứa trong 0,15 g D2O : N=(NA/20).0,15=(6,022.1023.0,15)/20=4,5165.1021
Năng lượng có thể thu được từ 1 kg nước thường nếu toàn bộ đơtêri thu được đều dùng làm nhiên liệu cho phản ứng nhiệt hạch là :
E = N.ΔE = 4,5165.1021. 68,11.10-13 = 307,62.108 J = 30,762.106 kJ .
Bài 23: Khi một hạt nhân
bị phân hạch thì tỏa ra năng lượng 200 MeV. Cho số A-vô-ga-đrô NA = 6,02.1023 mol-1. Nếu 1 g
bị phân hạch hoàn toàn thì năng lượng tỏa ra xấp xỉ bằng
A. 5,1.1016 J. B. 8,2.1010 J. C. 5,1.1010 J. D. 8,2.1016 J.
Lời giải:
Đáp án: B
HD Giải: E=(m/A).NA.ΔE=(1/235).6,02.1023.200 = 5,1234.1023 MeV = 8,2.1010 J.
Bài 24: Tàu ngầm HQ – 182 Hà Nội có công suất của động cơ là 4400 kW chạy bằng điêzen – điện. Nếu động cơ trên dùng năng lượng phân hạch của hạt nhân U235 với hiệu suất 20% và trung bình mỗi hạt 235U phân hạch tỏa ra năng lượng 200 MeV. Lấy Na = 6,023.1023. Coi trị số khối lượng nguyên tử tính theo u bằng số khối của nó. Thời gian tiêu thụ hết 0,5 kg U235 là
A. 18,6 ngày. B. 31,5 ngày C. 20,1 ngày D. 21,6 ngày.
Lời giải:
Đáp án: D
HD Giải: Số hạt U trong 0,5 kg là: n=(m/A)NA
+ Năng lượng tỏa ra với n hạt là: En = n.200 MeV
+ Năng lượng là động cơ sử dụng là: E=(20/100)En
+ Thời gian tiêu thụ hết 0,5 kg U là:
Bài 25: Biết U235 có thể bị phân hạch theo phản ứng sau:
Khối lượng của các hạt tham gia phản ứng: mU = 234,99332u; mn = 1,0087u; mI = 138,8970u; mY = 93,89014u; 1uc2 = 931,5MeV. Nếu có một lượng hạt nhân U235 đủ nhiều, giả sử ban đầu ta kích thích cho 1010 hạt U235 phân hạch theo phương trình trên và sau đó phản ứng dây chuyền xảy ra trong khối hạt nhân đó với hệ số nhân nơtrôn là k = 2. Coi phản ứng không phóng xạ gamma. Năng lượng toả ra sau 5 phân hạch dây chuyền đầu tiên (kể cả phân hạch kích thích ban đầu):
A. 175,85MeV
B. 11,08.1012MeV
C. 5,45.1013MeV
D. 8,79.1012MeV
Lời giải:
Đáp án: C
HD Giải: Năng lượng tỏa ra sau mỗi phân hạch:
ΔE = (mU + mn - mI - mY - 3mn)c2 = 0,18878 uc2 = 175,84857 MeV = 175,85 MeV
Khi 1 phân hạch kích thích ban đầu sau 5 phân hạch dây chuyền số phân hạch xảy ra là
1 + k1 + k2 + k3 + k4 = 1 + 2 + 4 + 8 + 16 = 31
Do đó số phân hạch sau 5 phân hạch dây chuyền từ 1010 phân hạch ban đầu N = 31.1010
Năng lượng tỏa ra: E = N.ΔE = 31.1010 x175,85 = 5,45.1013 MeV
Bài 26: Một hạt nhân của chất phóng xạ A đang đứng yên thì phân rã tạo ra hai hạt B và C. Gọi mA , mB, mC lần lượt là khối lượng nghỉ của các hạt A,B, C và c là tốc độ ánh sáng trong chân không. Quá trình phóng xạ này tỏa ra năng lượng Q. Biểu thức nào sau đây đúng?
A. mA = mB + mC + Q/c2
B. mA = mB + mC.
C. mA = mB + mC - Q/c2.
D. mA = Q/c2 - mB - mC.
Lời giải:
Đáp án: A
HD Giải: Ta có A → B + C, ở đây A có động năng KA = 0
Áp dụng định luật bảo toàn năng lượng ta được:
ΔE = (mA - mB - mC).c2 = Q → mA = mB + mC + Q/c2
Bài 27: Năng lượng tỏa ra của 10g nhiên liệu trong phản ứng:
là E1.
Và năng lượng 10g nhiên liệu trong phản ứng:
là E2
Chọn đáp án đúng.
A. E1>E2 B. E1 = 12E2 C. E1 = 4E2 D. E1 = E2
Lời giải:
Đáp án: C
HD Giải: Trong NA phản ứng thứ nhất cần 2g
và 3g
. Tức là trong trong 5 g nhiên liệu có NA phản ứng. Do đó số phản ứng trong 10 g nhiên liệu là 2NA → E1 = 2NA. 17,6 MeV (*)
Trong NA phản ứng thứ hai có 235 g nhiên liệu có NA hạt nhân
(có thể bỏ qua khối lượng của hạt n). Suy ra số phản ứng xảy ra trong 10 g nhiên liệu là 10NA/235.
Do đó E2 = (10.NA.210 MeV)/235 → (E1/E2) = 3,939 ≈ 4 → E1 = 4E2.
Bài 28: Bắn hạt α vào hạt nhân nitơ N14 đứng yên, xảy ra phản ứng tạo thành một hạt nhân Oxi và một hạt proton. Biết rằng hai hạt sinh ra có véctơ vận tốc như nhau, phản ứng thu năng lượng 1,21 (MeV). Cho khối lượng của các hạt nhân thỏa mãn: mOmα = 0,21(mO + mP)2 và mpmα = 0,012(mO + mP)2. Động năng hạt α là:
A. 1,555 MeV. B. 1,656 MeV. C. 1,958 MeV. D. 2,559 MeV
Lời giải:
Đáp án: A
HD Giải: Ta có:
+ Thay vào phương trình mO.mα = 0,21(mO + mp)2 → mα = 4,107mp
+ Vì 2 hạt sinh ra có cùng vận tốc nên: Kα.mα = (mO + mp).(Kα - 1,21)
→ Kα = 1,555 MeV
Bài 29: Trong phản ứng dây chuyền của hạt nhân U235, phản ứng thứ nhất có 100 hạt nhân U235 bị phân rã và hệ số nhân notron là k = 1,6. Tính tổng số hạt nhân bị phân rã đến phản ứng thứ 101.
A. 5,45.1023 B. 3,24.1022 C. 6,88.1022 D. 6,22.1023
Lời giải:
Đáp án: C
HD Giải: Phản ứng thứ nhất có 100 hạt nhân U235 bị phân rã, phản ứng thứ hai có 100x1,6 =160 hạt nhân U235; phản ứng thứ ba có 100 x (1,6)2 hạt nhân U235 ;..... phản ứng thứ 100 có 100x (1,6)99
Tổng số hạt nhân bị phân rã đến phản ứng thứ 101
Bài 30: Hạt nhân
đứng yên phóng xạ ra một hạt α, biến đổi thành hạt nhân
có kèm theo một photon. Bằng thực nghiệm, người ta đo đuợc năng lượng toả ra từ phản ứng là 6,42735 MeV, động năng của hạt α là 6,18 MeV, tần số của bức xạ phát ra là 3,07417.1019 Hz, khối lượng các hạt nhân mPo = 209,9828u; mα = 4,0015u; Khối lượng hạt nhân
lúc vừa sinh ra là bao nhiêu?
A. 206,87421u B. 206,00342u C. 205,96763u D. 204,98567u
Lời giải:
Đáp án: C
HD Giải: Ta có: (mPo - mPb - mα )c2 = ΔE + Kα + hf
hf = 6,625.10-34.3,07417.1019 = 20,3664.10-15 J = 0,12729MeV
(mPo - mPb - mα )c2 = ΔE + Kα + hf = 12,73464MeV = 0,01367uc2
→ mPb = mPo - mα - 0,01367u = 209,9828u - 4,0015u - 0,01367u = 205, 96763u
Bài 31: Hạt nhân mẹ A có khối lượng mA đang đứng yên phân rã thành hạt nhân con B và hạt α có khối lượng mB và mα, có vận tốc
Tìm mối liên hệ giữa tỉ số động năng, tỉ số khối lượng và tỉ số tốc độ của hai hạt sau phản ứng.
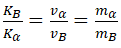
A.
B.
C.
D.
Lời giải:
Đáp án: A
HD Giải: Theo định luật bảo toàn động lượng:
(1)
Suy ra:
Bình phương 2 vế (1):
Bài 32: Một hạt nhân có số khối A, đang đứng yên, phát ra hạt α với tốc độ v. Lấy khối lượng các hạt theo đơn vị u gần bằng số khối của chúng. Tốc độ giật lùi của hạt nhân con là:
A. 2v/(A-4) B. 4v/(A+4) C. v/(A-4) D. 4v/(A-4)
Lời giải:
Đáp án: D
HD Giải: Ta có:
Theo định luật bảo toàn động lượng:
Bài 33: Bắn hạt nhân α có động năng 18 MeV vào hạt nhân (_7^14)N đứng yên ta có phản ứng α+(_7^14)N→ (_0^17)O+p. Biết các hạt nhân sinh ra cùng véctơ vận tốc. Cho mα = 4,0015u; mp= 1,0072u; mN= 13,9992u; mO=16,9947u; cho u = 931 MeV/c2. Động năng của hạt prôtôn sinh ra có giá trị là bao nhiêu?
A. 0,111 MeV
B. 0,555MeV
C. 0,333 MeV
D. Đáp số khác
Lời giải:
Đáp án: D
HD Giải: Năng lượng phản ứng thu: ΔE = (mα + mN - mO - mp).c2 = - 0,0012uc2 = - 1,1172 MeV
ΔE = KO + Kp - Kα → KO + Kp = 16,8828 MeV
mà
Bài 34: Dùng hạt Prôtôn có động năng Kp = 5,45 MeV bắn vào hạt nhân Beri đứng yên tạo nên phản ứng:
. Heli sinh ra bay theo phương vuông góc với phương chuyển động của Prôtôn. Biết động năng của Heli là Kα = 4MeV và khối lượng các hạt tính theo đơn vị u bằng số khối của chúng. Động năng hạt nhân Liti có giá trị:
A. 46,565 MeV ; B. 3,575 MeV; C. 46,565 eV ; D. 3,575 eV.
Lời giải:
Đáp án: B
HD Giải:
Theo ĐL bảo toàn động lượng
Do hạt hêli bay ra theo phương vuông góc với hạt Proton
PLi2 = Pα2 + Pp2 (1)
Động lượng của một vật: p = mv
Động năng của vật K = mv2/2 = P2/2m → P2 = 2mK
Từ (1) → 2mLiKLi = 2mαKα + 2mpKp ⇔ 6KLi = 4Kα + Kp → KLi = (4Kα + Kp )/6 = 21,45/6 = 3,575(MeV)
Bài 35: Bắn một hạt prôtôn vào hạt nhân
đứng yên. Phản ứng tạo ra hai hạt nhân X giống nhau bay ra có cùng độ lớn vận tốc và cùng hợp với phương ban đầu của prôtôn một góc φ. Tỉ số độ lớn vận tốc hạt nhân X và hạt prôtôn là
A.
B.
C.
D.
Lời giải:
Đáp án: A
HD Giải:
Phương trình phản ứng là:
Ta có: 2Z = 1 + 3; 2A = 1 + 7.
Do đó Z = 2; A = 4. X chính là hạt α. Coi khối lượng hạt nhân xấp xỉ bằng Au.
Theo phương chuyển động ban đầu của prôtôn, phương trình bảo toàn động lượng là:
mpvp = 2mxvxcosφ. Suy ra:
Bài 36: Hạt α bay với vận tốc v0 tới va chạm đàn hồi với hạt nhân chưa biết X đang đứng yên. Kết quả là sau khi va chạm, phương chuyển động của hạt bị lệch đi một góc 30°. Hỏi X là hạt gì?
A.
B.
C.
D.
Lời giải:
Đáp án: C
HD Giải:
Giải hệ:
Đó là hạt đơton:
Bài 37: Một nơtron chuyển động đến va chạm xuyên tâm với một hạt nhân khối lượng M đang đứng yên. Kết quả nơtron bi bật ngược trở tại. Coi va chạm là đàn hồi. Hỏi phần động năng mà nơtron bị mất do va chạm là bao nhiêu?
A.
B.
C.
D.
Lời giải:
Đáp án: D
HD Giải: Gọi khối lượng, vận tốc của hạt nhân và của nơtron sau va chạm là M, V, m, v.Vì va chạm là đàn hồi nên động năng của hệ trường hợp này được bảo toàn.
Ta có: MV + mv = mv0(1);
(2)
Giải hệ (1) và (2) ta tìm được:
Bài 38: Hạt nhân
đang đứng yên thì phóng xạ α. Có bao nhiêu phần trâm năng lượng toả ra chuyển thành động năng của hạt α?
A. 98 %. B. 2 %. C. 1,94 %. D. 98,6%.
Lời giải:
Đáp án: D
HD Giải:Hạt nhân con X tạo thành có số khối là 210 - 4 = 206.
Theo định luật bảo toàn động lượng MXvX + Mαvα = 0 và sử dụng mối liên hệ động lượng và động năng P2 = 2mK ta được:
Bài 39: Một hạt nhân khối lượng M đang đứng yên thì phát ra phôtôn có bước sóng λ. Vận tốc chuyển động giật lùi của hạt nhân có độ lớn là
A. hc/λM B. h/λM C. hM/λc D. hλ/M
Lời giải:
Đáp án: B
HD Giải: Áp dụng định luật bảo toàn động lượng (chú ý ở đây động lượng của hạt photon là h/λ): Mv + h/λ=0 ⇒ |v|=h/ λM
Bài 40: Cho prôtôn có động năng KP = 2,25MeV bắn phá hạt nhân (_3^7)Li đứng yên. Sau phản ứng xuất hiện hai hạt X giống nhau, có cùng động năng và có phương chuyển động hợp với phương chuyển động của prôtôn góc φ như nhau. Cho biết mp = 1,0073u; mLi = 7,0142u; mX = 4,0015u; 1u = 931,5 MeV/c2. Coi phản ứng không kèm theo phóng xạ gamma giá trị của góc φ là
A. 39,450 B. 41,350 C. 78,90. D. 82,70.
Lời giải:
Đáp án: D
HD Giải:
Công thức liên hệ giữa động lượng và động năng của vật: P2 = 2mK
Phương trình phản ứng:
mP + mLi = 8,0215u ; 2mX = 8,0030u.
Năng lượng phản ứng toả ra :
ΔE = (8,0215 - 8,0030).uc2 = 0,0185uc2= 17,23MeV
ΔE = 2KX - KP → KX =9,74 MeV.
Từ giản đồ vec tơ, ta có:
Suy ra φ = 83,070
Đã có app VietJack trên điện thoại, giải bài tập SGK, SBT Soạn văn, Văn mẫu, Thi online, Bài giảng....miễn phí. Tải ngay ứng dụng trên Android và iOS.
Theo dõi chúng tôi miễn phí trên mạng xã hội facebook và youtube:Nếu thấy hay, hãy động viên và chia sẻ nhé! Các bình luận không phù hợp với nội quy bình luận trang web sẽ bị cấm bình luận vĩnh viễn.
- Giải Tiếng Anh 12 Global Success
- Giải sgk Tiếng Anh 12 Smart World
- Giải sgk Tiếng Anh 12 Friends Global
- Lớp 12 Kết nối tri thức
- Soạn văn 12 (hay nhất) - KNTT
- Soạn văn 12 (ngắn nhất) - KNTT
- Giải sgk Toán 12 - KNTT
- Giải sgk Vật Lí 12 - KNTT
- Giải sgk Hóa học 12 - KNTT
- Giải sgk Sinh học 12 - KNTT
- Giải sgk Lịch Sử 12 - KNTT
- Giải sgk Địa Lí 12 - KNTT
- Giải sgk Giáo dục KTPL 12 - KNTT
- Giải sgk Tin học 12 - KNTT
- Giải sgk Công nghệ 12 - KNTT
- Giải sgk Hoạt động trải nghiệm 12 - KNTT
- Giải sgk Giáo dục quốc phòng 12 - KNTT
- Giải sgk Âm nhạc 12 - KNTT
- Giải sgk Mĩ thuật 12 - KNTT
- Lớp 12 Chân trời sáng tạo
- Soạn văn 12 (hay nhất) - CTST
- Soạn văn 12 (ngắn nhất) - CTST
- Giải sgk Toán 12 - CTST
- Giải sgk Vật Lí 12 - CTST
- Giải sgk Hóa học 12 - CTST
- Giải sgk Sinh học 12 - CTST
- Giải sgk Lịch Sử 12 - CTST
- Giải sgk Địa Lí 12 - CTST
- Giải sgk Giáo dục KTPL 12 - CTST
- Giải sgk Tin học 12 - CTST
- Giải sgk Hoạt động trải nghiệm 12 - CTST
- Giải sgk Âm nhạc 12 - CTST
- Lớp 12 Cánh diều
- Soạn văn 12 Cánh diều (hay nhất)
- Soạn văn 12 Cánh diều (ngắn nhất)
- Giải sgk Toán 12 Cánh diều
- Giải sgk Vật Lí 12 - Cánh diều
- Giải sgk Hóa học 12 - Cánh diều
- Giải sgk Sinh học 12 - Cánh diều
- Giải sgk Lịch Sử 12 - Cánh diều
- Giải sgk Địa Lí 12 - Cánh diều
- Giải sgk Giáo dục KTPL 12 - Cánh diều
- Giải sgk Tin học 12 - Cánh diều
- Giải sgk Công nghệ 12 - Cánh diều
- Giải sgk Hoạt động trải nghiệm 12 - Cánh diều
- Giải sgk Giáo dục quốc phòng 12 - Cánh diều
- Giải sgk Âm nhạc 12 - Cánh diều


Giải bài tập SGK & SBT
Tài liệu giáo viên
Sách
Khóa học
Thi online
Hỏi đáp

