100 câu trắc nghiệm Sóng ánh sáng có lời giải (nâng cao - phần 2)
Với 100 câu trắc nghiệm Sóng ánh sáng có lời giải chi tiết sẽ giúp học sinh ôn tập, biết cách làm câu trắc nghiệm Sóng ánh sáng.
100 câu trắc nghiệm Sóng ánh sáng có lời giải (nâng cao - phần 2)
(199k) Học Vật Lí 12 KNTTHọc Vật Lí 12 CDHọc Vật Lí 12 CTST
Bài 1: Giao thoa ánh sáng đơn sắc của I-âng có λ = 0,5 μm; a = 0,5 mm; D = 2 m. Tại M cách vân trung tâm 7 mm và tại điểm N cách vân trung tâm 10 mm thì:
A. M, N đều là vân sáng.
B. M là vân tối, N là vân.
C. M, N đều là vân tối.
D. M là vân sáng, N là vân tối.
Lời giải:
Chọn B.
Ta có:i = λD/a = 2mm.
Tại M ta có: xM = 7mm = 3,5i ⇒ M là vân tối.
Tại N ta có: xN = 10mm = 5i ⇒ N là vân sáng.
Bài 2: Thí nghiệm giao thoa I-âng với ánh sáng đơn sắc có bước sóng λ, khoảng cách giữa hai khe a = 0,5 mm. Ban đầu, tại M cách vân trung tâm 1 mm người ta quan sát được vân sáng bậc 2. Giữ cố định màn chứa hai khe, di chuyển từ từ màn quan sát ra xa và dọc theo đường thẳng vuông góc với mặt phẳng chứa hai khe một đoạn 50/3 cm thì thấy tại M chuyển thành vân tối thứ 2. Bước sóng λ có giá trị là:
A. 0,60 μm. B. 0,50 μm.
C. 0,40 μm. D. 0,64 μm.
Lời giải:
Chọn B.
Tại M cách vân trung tâm 1mm người ta quan sát được vân sáng bậc 2 tức là: 2i = 1mm ⇒ i = 0,5mm.
Dọc theo đường thẳng vuông góc với mặt phẳng chứa hai khe một đoạn 50/3 cm thì khoảng vân mới là:
M chuyển thành vân tối bậc 2 tức là: 2i = 1,5i' ⇒ i' = 2/3mm.
Khi dời màn ra xa thêm 1/6m thì khoảng vân tăng thêm 1/6mm tức là:
⇒ λ = 0,5μm.
⇒ Đáp án B.
Bài 3: Trong thí nghiệm giao thoa ánh sáng bằng khe I-âng. Cho biết S1S2 = a = 1 mm, khoảng cách giữa hai khe S1S2 đến màn (E) là 2 m, bước sóng ánh sáng dùng trong thí nghiệm là λ = 0,5 μm. Để M trên màn (E) là một vân sáng thì xM có thể nhận giá trị nào trong các giá trị sau đây?
A. xM = 2,25 mm. B. xM = 4 mm.
C. xM = 3,5 mm. D. xM = 4,5 mm.
Lời giải:
Chọn B.
Ta có:
Với xM = 2,25 = 2,25i ⇒ Không phải vân sáng ⇒ A sai.
Với xM = 4 = i ⇒ M là vân sáng bậc 4 ⇒ B đúng.
Với xM = 3,5 = 3,5i ⇒ M là vân tối bậc 4 ⇒ C sai.
Với xM = 4,5 = 4,5i ⇒ M là vân tối bậc 5 ⇒ D sai.
Bài 4: Trong thí nghiệm về giao thoa với ánh đơn sắc bằng phương pháp I-âng. Trên bề rộng 7,2 mm của vùng giao thoa người ta đếm được 9 vân sáng (ở hai rìa là hai vân sáng). Tại vị trí cách vân trung tâm 14,4 mm là vân:
A. vân tối thứ 18.
B. vân tối thứ 16.
C. vân sáng bậc 18.
D. vân sáng bậc 16.
Lời giải:
Chọn D.
Trên bề rộng 7,2 mm của vùng giao thoa người ta đếm được 9 vân sáng (ở hai rìa là hai vân sáng) ⇒ 8i = 7,2mm ⇒ i = 0,9mm.
Tại vị trí cách vân trung tâm 14,4 mm, ta được:
14,4mm = 16i.
⇒ Vân sáng thứ 16.
Bài 5: Trong thí nghiệm I-âng về giao thoa ánh sáng, hai khe được chiếu bằng ánh sáng đơn sắc có bước sóng 0,6μm. Khoảng cách giữa hai khe sáng là 1mm, khoảng cách từ mặt phẳng chứa hai khe đến màn quan sát là 1,5m. Trên màn quan sát, hai vân sáng bậc 4 nằm ở hai điểm M và N. Dịch màn quan sát một đoạn 50 cm theo hướng ra 2 khe Y-âng thì số vân sáng trên đoạn MN giảm so với lúc đầu là:
A. 7 vân. B. 4 vân.
C. 6 vân. D. 2 vân.
Lời giải:
Chọn D.
Ta có:
Dịch màn quan sát một đoạn 50 cm theo hướng ra 2 khe Y-âng thì khoảng vân mới là:
Tại vân sáng bậc 4 của khoảng vân cũ ta có: 4i = ki' ⇒ k = 3.
⇒ Trên đoạn MN có 7 vân sáng.
Vậy so với ban đầu trên đoạn MN giảm 2 vân sáng.
Bài 6: Trong thí nghiệm I-âng về giao thoa ánh sáng khoảng cách giữa hai khe là 1,5 mm, khoảng cách từ hai khe đến màn là 3 m, người ta đo được khoảng cách giữa vân sáng bậc 2 đến vân sáng bậc 5 ở cùng phía với nhau so với vân sáng trung tâm là 3 mm. Tìm số vân sáng quan sát được trên vùng giao thoa đối xứng có bề rộng 11 mm.
A. 9. B. 10. C. 11. D. 12.
Lời giải:
Chọn C.
Khoảng cách giữa vân sáng bậc 2 đến vân sáng bậc 5 ở cùng phía với nhau so với vân sáng trung tâm là 3mm: x = x5 - x2 = x2+3 - x2 = 3i.
⇒ i = 1mm.
Số vân sáng quan sát được trên vùng giao thoa đối xứng là:
⇒ Có 11 giá trị của k thỏa mãn.
Vậy trên màn có 11 vân sáng.
⇒ Đáp án C.
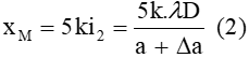
Bài 7: Trong thí nghiệm I-âng về giao thoa ánh sáng, hai khe được chiếu bằng ánh sáng đơn sắc λ, màn quan sát cách mặt phẳng hai khe một khoảng không đổi D, khoảng cách giữa hai khe có thể thay đổi (nhưng S1 và S2 luôn cách đều S). Xét điểm M trên màn, lúc đầu là vân sáng bậc 4, nếu lần lượt giảm hoặc tăng khoảng cách S1S2 một lượng Δa thì tại đó là vân sáng bậc k và bậc 3k. Nếu tăng khoảng cách S1S2 thêm 2Δa thì tại M là:
A. vân sáng bậc 7.
B. vân sáng bậc 9.
C. vân sáng bậc 8.
D. vân tối thứ 9.
Lời giải:
Chọn C.
Khi giảm đi 1 lượng Δa thì tại M là vân bậc k tức là:
Khi tăng thêm 1 lượng Δa thì tại M là vân bậc k tức là:
Từ (1) và (2) ⇒ a = 2Δa.
⇒ Nếu tăng thêm khoảng cách S1S2 thêm 2Δa thì khoảng vân mới là:
Lại có ban đầu M là vân sáng bậc 4 ⇒ xM = 4i.
⇒ xM = 8i'.
⇒ Sau khi tăng khoảng cách S1S2 thêm 2Δa thì tại M là vân sáng bậc 8.
⇒ Đáp án C.
Bài 8: Trong thí nghiệm giao thoa của I-âng a = 2mm; D = 2 m; λ = 0,64 μm. Miền giao thoa đối xứng có bề rộng 12 mm. Số vân tối quan sát được trên màn là:
A. 7. B. 18. C. 16. D. 19.
Lời giải:
Chọn B.
Ta có:
Số vân sáng quan sát được trên vùng giao thoa đối xứng là:
⇔ -9,875 ≤ k ≤ 8,875
⇒ Có 18 giá trị của k thỏa mãn.
Vậy trên màn có 18 vân tối.
Bài 9: Người ta thực hiện giao thoa ánh sáng đơn sắc với hai khe I-âng cách nhau 2 mm, khoảng cách giữa hai khe đến màn là 3 m, ánh sáng dùng có bước sóng λ = 0,5 μm. Bề rộng của trường giao thoa đối xứng là 1,5 cm. Số vân sáng, vân tối có được là:
A. N1 = 19, N2 = 18.
B. N1 = 21, N2 = 20.
C. N1 = 25, N2 = 24.
D. N1 = 23, N2 = 22.
Lời giải:
Chọn B.
Ta có:
Số vân sáng quan sát được trên vùng giao thoa đối xứng là:
⇔ -10 ≤ k ≤ 10
⇒ Có 21 giá trị của k thỏa mãn.
Vậy trên màn có 21 vân sáng.
Số vân tối quan sát được trên vùng giao thoa đối xứng là:
⇔ -10,5 ≤ k ≤ 9,5
⇒ Có 20 giá trị của k thỏa mãn.
Vậy trên màn có 20 vân tối.
⇒ Đáp án B.
Bài 10: Trong thí nghiệm I-âng về giao thoa ánh sáng, hai khe được chiếu bằng ánh sáng đơn sắc λ, màn quan sát cách mặt phẳng hai khe một khoảng không đổi D, khoảng cách giữa hai khe có thể thay đổi (nhưng S1 và S2 luôn cách đều S). Xét điểm M trên màn, lúc đầu là vân sáng bậc 3, nếu lần lượt giảm hoặc tăng khoảng cách S1S2 một lượng Δa thì tại đó là vân sáng bậc k và bậc 5k. Nếu tăng khoảng cách S1S2 thêm 3Δa thì tại M là:
A. vân sáng bậc 9.
B. vân sáng bậc 7.
C. vân sáng bậc 8.
D. vân tối thứ 9.
Lời giải:
Chọn A.
Khi giảm đi 1 lượng Δa thì tại M là vân bậc k tức là:
Khi tăng thêm 1 lượng Δa thì tại M là vân bậc k tức là:
Từ (1) và (2) ⇒ a = 3Δa/2
⇒ Nếu tăng thêm khoảng cách S1S2 thêm 3Δa thì khoảng vân mới là:
Lại có ban đầu M là vân sáng bậc 3 ⇒ xM = 3i
⇒ xM = 79i
⇒ Sau khi tăng khoảng cách S1S2 thêm 3Δa thì tại M là vân sáng bậc 9.
⇒ Đáp án A.
Bài 11: Trong thí nghiệm Iâng về giao thoa ánh sáng với ánh sáng đơn sắc có bước sóng 0,55 μm , khoảng cách giữa hai khe là 1 mm, khoảng cách từ hai khe tới màn là 2 m. Bề rộng vùng giao thoa trên màn là 1,7 cm. Số vân sáng và vân tối trong vùng giao thoa là:
A. 15 vân sáng và 14 vân tối.
B. 17 vân sáng và 18 vân tối.
C. 15 vân sáng và 16 vân tối.
D. 16 vân sáng và 15 vân tối.
Lời giải:
Chọn C.
Ta có i = 1,1 mm.
⇒ Trên màn có 15 vân sáng và 16 vân tối.
Bài 12: Trong thí nghiệm Iâng về giao thoa ánh sáng, các khe S1, S2 được chiếu bởi ánh sáng đơn sắc. Khoảng cách giữa hai khe là a = 3 mm. Khoảng cách giữa mặt phẳng chứa hai khe và màn quan sát là D = 2 m. Dùng bức xạ đơn sắc có bước sóng λ = 0,6 μm. Tại M cách vân trung tâm 1,8 mm thu được vân có tính chất gì?
A. Vân tối thứ 4.
B. Vân sáng thứ 9.
C. Vân sáng thứ 4.
D. Vân tối thứ 5.
Lời giải:
Chọn D.
Bước sóng ánh sáng thu được là:
Tại M cách O 1,8mm:
xM = ki = 1,8mm → k = 4,5.
Nên tại M sẽ có vân tối thứ 5.
Bài 13: Trong thí nghiệm Iâng về giao thoa ánh sáng, hai khe Iâng cách nhau 2 mm, hình ảnh giao thoa được hứng trên màn ảnh cách hai khe 1 m. Sử dụng ánh sáng đơn sắc có bước sóng λ, khoảng vân đo được là 0,2 mm. Thay bức xạ trên bằng bức xạ có bước sóng λ' > λ thì tại vị trí của vân sáng thứ 3 của bức xạ λ có một vân sáng của bức xạ λ'. Bức xạ λ' có giá trị nào dưới đây:
A. λ' = 0,52 μm.
B. λ' = 0,58 μm.
C. λ' = 0,48 μm.
D. λ' = 0,60 μm.
Lời giải:
Chọn D.
3i = ki' ⇔ 3λ = k.λ'
⇒ k = 2, λ' = 0,6
Bài 14: Thực hiện thí nghiệm giao thoa ánh sáng bằng khe Iâng với ánh sáng đơn sắc có bước sóng λ. Người ta đo được khoảng cách giữa một vân tối đến vân sáng nằm ngay cạnh nó là 1 mm. Trong khoảng giữa hai điểm M, N trên màn và ở hai bên so với vân trung tâm, cách vân trung tâm lần lượt là 5,9 mm và 7,1 mm có số vân sáng là:
A. 7 vân. B. 9 vân.
C. 5 vân. D. 6 vân.
Lời giải:
Chọn D.
Ta có khoảng cách giữa một vân tối và một vân sáng liền kề là:
M và N ở hai phía so với vân trung tâm.
Ta xét xM = -5,9 ⇒ kM = -2,95
xN = 7,1 ⇒ kN = -3,55
Vậy giữa M và N có 6 vân sáng.
Bài 15: Trong thí nghiệm Iâng về giao thoa ánh sáng, bước sóng của ánh sáng đơn sắc là 0,5 μm, khoảng cách giữa hai khe là 1,2 mm, khoảng cách từ hai khe tới màn 3 m. Hai điểm MN trên màn nằm cùng phía với vân trung tâm, cách vân trung tâm lần lượt là 0,4 cm và 1,8 cm. Số vân sáng giữa MN là:
A. 11. B. 15. C. 10. D. 9.
Lời giải:
Chọn A.
Khoảng vân:
xM = kM.i = 4mm → kM = 3,2.
xN = kN.i = 18mm → kN = 14,4.
Số vân sáng giữa MN là 14 - 3 = 11.
Bài 16: Trong thí nghiệm giao thoa ánh sáng với khe Young, Khoảng cách giữa hai khe là 1 mm, khoảng cách từ hai khe đến màn là 2,5 m. Trên màn, người ta đo khoảng cách từ vân sáng bậc 3 bên trái đến vân sáng bậc 3 bên phải so với vân trung tâm là 9 mm. Bước sóng dùng trong thí nghiệm là:
A. 0,6 μm. B. 0,7 μm. C. 0,8 μm. D. 0,9 μm.
Lời giải:
Chọn A.
Khoảng cách từ vân sáng bậc 3 bên trái và vân sáng bậc 3 bên phải so với vân trung tâm là 9mm.
→ 3i + 3i = 9mm → i = 1,5mm.
Bước sóng cần tìm:
Bài 17: Trong thí nghiệm Y-âng về giao thoa ánh sáng, tại điểm trên màn cách vân chính giữa 5,4 mm có vân tối thứ 5 tính từ vân chính giữa. Ánh sáng đơn sắc dùng trong thí nghiệm có tần số 5.1014 Hz. Cho c = 3.108 m/s. Khoảng cách từ màn quan sát đến hai khe là D = 2,4 m. Khoảng cách giữa hai khe là:
A. 1,20 mm. B. 1,00 mm.
C. 1,30 mm. D. 1,10 mm.
Lời giải:
Chọn A.
(4 + 0,5).i = 5,4mm → i = 1,2mm.
Khoảng cách giữa hai khe là:
Bài 18: Trong một thí nghiệm giao thoa ánh sáng Y-âng với ánh sáng đơn sắc có bước sóng λ1 = 0,48 μm, trên màn quan sát, người ta đếm được trên bề rộng MN có 13 vân sáng mà tại M và N là hai vân sáng. Giữ nguyên điều kiện thí nghiệm, ta thay nguồn sáng đơn sắc có bước sóng λ1 bằng ánh sáng đơn sắc với bước sóng λ2 = 0,64 μm thì tại M và N bây giờ là 2 vân tối. Số vân sáng trong miền đó là:
A. 8. B. 11. C. 9. D. 10.
Lời giải:
Chọn C.
Khi λ = λ1 → k1 = 13 - 1 = 12.
Vậy có 9 vân tối trong miền quan sát.
Bài 19: Thực hiện giao thoa khe Iâng với nguồn ánh sáng có bước sóng λ, khoảng cách giữa hai khe tới màn là D trong môi trường không khí thì khoảng vân là i. Khi chuyển toàn bộ thí nghiệm vào trong nước có chiết suất là 4/3 thì để khoảng vân không đổi phải dời màn quan sát ra xa hay lại gần một khoảng bao nhiêu?
A. Ra xa thêm D/3.
B. Lại gần thêm D/3.
C. Ra xa thêm 3D/4.
D. Lại gần thêm 3D/4.
Lời giải:
Chọn A.
Khoảng vân lúc đầu quan sát được là:
Để lúc sau khoảng vân không đổi thì:
Vì x > 0 nên phải rời màn quan sát ra xa.
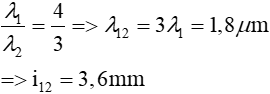
Bài 20: Trong thí nghiệm về giao thoa ánh sáng I-âng. Nếu làm thí nghiệm với ánh sáng đơn sắc có bước sóng λ1 = 0,6 μm thì trên màn quan sát, ta thấy có 6 vân sáng liên tiếp trải dài trên bề rộng 9 mm. Nếu làm thí nghiệm với ánh sáng hỗn tạp gồm hai bức xạ có bước sóng λ1 và λ2 thì người ta thấy: Từ một điểm M trên màn đến vân sáng trung tâm có 3 vân sáng cùng màu với vân sáng trung tâm và tại M là một trong 3 vân đó. Biết M cách vân trung tâm 10,8 mm, bước sóng của bức xạ λ2 là:
A. 0,38 μm. B. 0,4 μm.
C. 0,76 μm. D. 0,65 μm.
Lời giải:
Chọn B.
Ta có i1 = 9/5 = 1,8 mm và i12 = 10,8/4 = 3,6mm.
Mặt khác ta có i12 = k1i1 = k2i2 (k1 và k2 phải tối giản).
→ λ1/λ2 = k2/k1 và k1 = i12/i1 = 2.
→ λ2 = 0,4μm khi thử với k2 = 3.
Bài 21: Trong thí nghiệm giao thoa ánh sáng của I-âng. Hai khe hẹp cách nhau 1 mm, khoảng cách từ màn quan sát đến màn chứa hai khe hẹp là 1,25 m. Ánh sáng dùng trong thí nghiệm gồm hai ánh sáng đơn sắc có bước sóng λ1 = 0,64 μm và λ2 = 0,48 μm. Khoảng cách từ vân sáng trung tâm đến vân sáng cùng màu với nó và gần nó nhất là:
A. 3,6 mm. B. 4,8 mm.
C. 1,2 mm. D. 2,4 mm.
Lời giải:
Chọn D.
Bài 22: Chiếu đồng thời hai bức xạ đơn sắc có bước sóng 0,4 μm; 0,48 μm vào hai khe của thí nghiệm Iâng. Biết khoảng cách giữa hai khe là 1,2 mm, khoảng cách từ hai khe tới màn là 3 m. Khoảng cách ngắn nhất giữa hai vị trí có màu cùng màu với vân sáng trung tâm là:
A. 6 mm. B. 12 mm.
C. 24 mm. D. 8 mm.
Lời giải:
Chọn A.
Bài 23: Trong thí nghiệm giao thoa ánh sáng của Iâng, khoảng cách giữa hai khe S1, S2 là a = 2 mm, khoảng cách từ hai khe tới màn quan sát D = 1,2 m. Chiếu đồng thời hai bức xạ đơn sắc có bước sóng λ1 = 640 nm và λ2 = 0,480 μm vào hai khe thì thấy trên màn có những vị trí tại đó vân sáng của hai bức xạ trùng nhau, gọi là vân trùng. Khoảng cách nhỏ nhất giữa hai vân trùng là:
A. 1,152 (mm). B. 1,050 (mm).
C. 1,060 (mm). D. 1,250 (mm).
Lời giải:
Chọn A.
Bài 24: Trong thí nghiệm Y- âng, khoảng cách giữa hai khe là 1mm, khoảng cách từ hai khe đến màn là 2 m. Chiếu vào hai khe ánh sáng hỗn tạp gồm hai bức xạ có λ1 = 0,76 μm và λ2, người ta thấy vân sáng bậc 3 của bức xạ λ2 trùng với vân sáng bậc 2 của bức xạ λ1. Tìm λ2.
A. λ2 = 0,43 μm. B. λ2 = 0,51 μm.
C. λ2 = 0,61 μm. D. λ2 = 0,47 μm.
Lời giải:
Chọn B.
Vân sáng bậc 3 của λ2 trùng với vân sáng bậc 2 của λ1.
⇒ 2λ1 = 3λ2
⇒ λ2 = 0,51μm.
Bài 25: Thí nghiệm Iâng giao thoa ánh sáng với hai khe Iâng, nguồn sáng là hai bức xạ có bước sóng lần lượt là λ1 = 0,4 μm và λ2 = 0,6 μm. Xét tại M là vân sáng bậc 6 của vân sáng ứng với bước sóng λ1. Trên MO (O là toạ độ vân trung tâm) ta đếm được:
A. 8 vân sáng. B. 9 vân sáng.
C. 10 vân sáng. D. 12 vân sáng.
Lời giải:
Chọn B.
Ta có: OM = 6i1 = 4i2 = 2i12 (do i12 = 3i1).
Do đó có 6 + 4 - 1 = 9 vân sáng.
Bài 26: Một nguồn sáng phát ra đồng thời hai ánh sáng đơn sắc màu đỏ có bước sóng λ1 = 0,76 μm và bức xạ màu cam có bước sóng λ2 chiếu vào khe Iâng. Trên màn người ta quan sát thấy giữa vân sáng cùng màu và gần nhất so với vân trung tâm có 8 vân màu cam. Bước sóng của bức xạ λ2 là:
A. 0,64 μm. B. 0,62 μm.
C. 0,59 μm. D. 0,72 μm.
Lời giải:
Chọn C.
Vì có 8 vân màu cam trong khoảng giữa hai vị trí liên tiếp có màu giống màu vân trung tâm nên 9 khoảng vân i2 → 9i2 = k1i1 → 9λ2 = k1λ1 → λ2 = k1λ1/9
Bức xạ màu cam có bước sóng λ2 thỏa mãn điều kiện ánh sáng nhìn thấy khi:
0,76 ≥ k1λ1/9 ≥ 0,38 → 9 ≥ k ≥ 4,5, k = 5, 6, 7, 8, 9.
Thay vào ta thấy k = 7 là có đáp án C.
Bài 27: Trong thí nghiệm I - âng về giao thoa ánh sáng, hai khe S1, S2 cách nhau 1 mm, khoảng cách từ mặt phẳng chứa hai khe tới màn quan sát bằng 2 m. Chiếu sáng hai khe S1, S2 bằng hai bức xạ đơn sắc có bước sóng λ1 = 0,72 μm và λ2, thì thấy vân sáng bậc 3 của bức xạ λ2 trùng với vân sáng bậc 2 của bức xạ λ1. Khoảng vân i2 ứng với bức xạ có giá trị:
A. 1,54 mm. B. 1,44 mm.
C. 0,288 mm. D. 0,96 mm.
Lời giải:
Chọn D.
Ta có: 2λ1 = 3λ2 ⇒ λ2 = 0,48μm.
⇒ i2 = 0,96mm.
Bài 28: Trong thí nghiệm Iâng, hai khe cách nhau 0,9 mm và cách màn là 1,8 m. Chiếu đồng thời hai bức xạ đơn sắc λ1 = 0,6 μm và λ2 = 0,45 μm vào hai khe Iâng. Trên bề rộng vùng giao thoa là 10 mm (vân trung tâm nằm giữa bề rộng) thì hai vân sáng khác có màu giống màu của vân sáng trung tâm xa nhất cách nhau bao nhiêu?
A. 9,6 mm. B. 3,6 mm.
C. 7,2 mm. D. 8,8 mm.
Lời giải:
Chọn C.
(i12 là khoảng cách hai vị trí gần nhau nhất mà tại đó 2 bức xạ cho vân sáng trùng nhau, hay còn gọi là khoảng vân tương đương).
⇒ Cách nhau xa nhất là 7,2 mm (vì khoảng đang xét là từ -5 mm đến 5 mm, nên 1 vân sáng ở -3,6 mm vân còn lại ở 3,6 mm).
Bài 29: Trong thí nghiệm Y-âng về giao thoa ánh sáng, khoảng cách giữa hai khe là 0,5 mm, khoảng cách từ hai khe đến màn quan sát là 2 m. Nguồn sáng dùng trong thí nghiệm gồm hai bức xạ có bước sóng λ1 = 450 nm và λ2 = 600 nm. Trên màn quan sát, gọi M, N là hai điểm ở cùng một phía so với vân trung tâm và cách vân trung tâm lần lượt là 5,5 mm và 22 mm. Trên đoạn MN, số vị trí vân sáng trùng nhau của hai bức xạ là:
A. 4. B. 5. C. 3. D. 2.
Lời giải:
Chọn C.
Vậy trên đoạn MN có 3 vị trí vân sáng trùng nhau (7.2, 14.4, 21.6).
Bài 30: Trong thí nghiệm của Young có khoảng cách giữa 2 khe S1S2 là 1,5 mm, khoảng cách từ 1 khe đến màn quan sát E là 3 m. Chiếu đồng thời hai ánh sáng đơn sắc có bước sóng λ1 = 0,4 μm (màu tím) và λ2 = 0,6 μm (màu vàng) thì thấy trên màn E xuất hiện một số vân sáng màu lục. Khoảng cách gần nhất giữa 2 vân màu lục là:
A. Δx = 0,6 mm. B. Δx = 1,2 mm.
C. Δx = 1,8 mm. D. Δx = 2,4 mm.
Lời giải:
Chọn D.
(λ12 ký hiệu tượng trưng cho bước sóng hợp bởi 2 bước sóng kia, có màu lục, hay còn gọi là bước sóng tương đương).
⇒ Δx = i12 = 2,4mm.
(i12 là khoảng cách hai vị trí gần nhau nhất mà tại đó 2 bức xạ cho vân sáng trùng nhau).
Bài 31: Trong thí nghiệm giao thoa dùng khe Iâng có khoảng cách từ màn ảnh đến hai khe D = 2,5 m, khoảng cách giữa hai khe là a = 2,5 mm. Chiếu đồng thời hai ánh sáng đơn sắc có bước sóng λ1 = 0,48 μm và λ2 = 0,64 μm thì vân sáng cùng màu với vân trung tâm và gần nhất cách vân trung tâm:
A. 1,92 mm. B. 1,64 mm.
C. 1,72 mm. D. 0,64 mm.
Lời giải:
Chọn A.
Điều kiện trùng nhau của 2 vân sáng là: k1i1 = k2i2.
⇒ i12 = 1,92mm.
(i12 là khoảng cách hai vị trí gần nhau nhất mà tại đó 2 bức xạ cho vân sáng trùng nhau).
Bài 32: Trong giao thoa ánh sáng bằng khe Y-âng biết hai khe cách nhau 0,7 mm và có cùng khoảng cách đến màn quan sát là 2,1 m. Chiếu sáng hai khe bởi ánh sáng gồm hai thành phần đơn sắc có bước sóng λ1 = 0,42 μm và λ2. Người ta thấy khoảng cách từ vân trung tâm đến vân sáng cùng màu với nó và gần nhất là 5,04 mm. Bước sóng λ2 bằng:
A. 0,73 μm. B. 0,42 μm.
C. 0,64 μm. D. 0,56 μm.
Lời giải:
Chọn D.
Ta có:
Ở đây chỉ có 0,56μm thỏa mãn λ12 = k2λ2 với:
Bài 33: Trong thí nghiệm giao thoa ánh sáng với khe Iâng, khoảng cách giữa hai khe là 2 mm, khoảng cách từ mặt phẳng chứa hai khe đến màn quan sát là 1,6 m. Chiếu sáng hai khe bằng ánh sáng hỗn hợp gồm hai ánh sáng đơn sắc có bước sóng 450 nm và 600 nm thì thu được hệ vân giao thoa trên màn. Biết vân sáng chính giữa (trung tâm) ứng với hai bức xạ trên trùng nhau. Khoảng cách từ vân chính giữa đến vân gần nhất cùng màu với vân chính giữa là bao nhiêu? Trong khoảng đó, tổng số có bao nhiêu vân sáng quan sát được (kể cả vân trung tâm và vân ở mép)?
A. 14,4 mm; 5 vân.
B. 7,2 mm; 6 vân.
C. 1,44 mm; 9 vân.
D. 1,44 mm; 7 vân.
Lời giải:
Chọn D.
⇒ i12 = 1,44mm.
Trong khoảng đó (kể cả 2 đầu) có 5 vân của λ1, 4 vân của λ2, trừ đi 2 vân 2 đầu tính 2 lần ⇒ Có 7 vân.
Bài 34: Trong thí nghiệm giao thoa Y-âng, thực hiện đồng thời với hai bức xạ có bước sóng 640 nm (màu đỏ) và 560 nm (màu lục). Giữa hai vân sáng gần nhau nhất và cùng màu với vân trung tâm có bao nhiêu vị trí cực đại giao thoa của bức xạ màu đỏ, màu lục:
A. 6 đỏ và 7 lục.
B. 7 đỏ và 6 lục.
C. 7 đỏ và 8 lục.
D. 8 đỏ và 7 lục.
Lời giải:
Chọn A.
Chỉ tính ở giữa 2 vân cùng màu này nên có 6 vân đỏ và 7 vân lục.
Bài 35: Trong thí nghiệm giao thoa Y-âng thực hiện đồng thời hai bức xạ đơn sắc với khoảng vân trên màn ảnh thu được lần lượt là i1 = 0,3 mm và i2 = 0,4 mm.trên màn quan sát, gọi M và N là hai điểm ở cùng một phía so với vân trung tâm và cách vận trung tâm lần lượt là 2,25 mm và 6,75 mm. Trên đoạn MN, số vị trí mà vân sáng hệ 1 trùng với vân tối hệ 2 là:
A. 2. B. 4. C. 3. D. 5.
Lời giải:
Chọn B.
Điều kiện cho vị trí có vân sáng hệ 1 trùng với vân tối hệ 2 là: k1i1 = (k2 + 0,5)i2 → 3k1 = 4k2 + 2 (1)
Ta thấy vế trái của (1) chia hết cho 3, do vậy k2 phải có dạng chia 3 dư 1.
→ k2 = 3n + 1 (n ∈ Z)
→ Tọa độ vị trí mà có vân sáng hệ 1 trùng với vân tối hệ 2 là:
x = (3.n + 1,5).i2 = 1,2n + 0,6 mm
Số vị trí mà vân sáng hệ 1 trùng với vân tối hệ 2 trên đoạn MN thỏa mãn:
2,25 ≤ 1,2n + 0,6 ≤ 6,75 ⇔ 1,375 ≤ n ≤ 5,125
Có 4 giá trị của n thỏa mãn → Số vị trí cần tìm là 4.
(199k) Học Vật Lí 12 KNTTHọc Vật Lí 12 CDHọc Vật Lí 12 CTST
Xem thêm các dạng bài tập Vật Lí lớp 12 có trong đề thi Tốt nghiệp THPT khác:
Đã có app VietJack trên điện thoại, giải bài tập SGK, SBT Soạn văn, Văn mẫu, Thi online, Bài giảng....miễn phí. Tải ngay ứng dụng trên Android và iOS.
Theo dõi chúng tôi miễn phí trên mạng xã hội facebook và youtube:Nếu thấy hay, hãy động viên và chia sẻ nhé! Các bình luận không phù hợp với nội quy bình luận trang web sẽ bị cấm bình luận vĩnh viễn.
- Giải Tiếng Anh 12 Global Success
- Giải sgk Tiếng Anh 12 Smart World
- Giải sgk Tiếng Anh 12 Friends Global
- Lớp 12 Kết nối tri thức
- Soạn văn 12 (hay nhất) - KNTT
- Soạn văn 12 (ngắn nhất) - KNTT
- Giải sgk Toán 12 - KNTT
- Giải sgk Vật Lí 12 - KNTT
- Giải sgk Hóa học 12 - KNTT
- Giải sgk Sinh học 12 - KNTT
- Giải sgk Lịch Sử 12 - KNTT
- Giải sgk Địa Lí 12 - KNTT
- Giải sgk Giáo dục KTPL 12 - KNTT
- Giải sgk Tin học 12 - KNTT
- Giải sgk Công nghệ 12 - KNTT
- Giải sgk Hoạt động trải nghiệm 12 - KNTT
- Giải sgk Giáo dục quốc phòng 12 - KNTT
- Giải sgk Âm nhạc 12 - KNTT
- Giải sgk Mĩ thuật 12 - KNTT
- Lớp 12 Chân trời sáng tạo
- Soạn văn 12 (hay nhất) - CTST
- Soạn văn 12 (ngắn nhất) - CTST
- Giải sgk Toán 12 - CTST
- Giải sgk Vật Lí 12 - CTST
- Giải sgk Hóa học 12 - CTST
- Giải sgk Sinh học 12 - CTST
- Giải sgk Lịch Sử 12 - CTST
- Giải sgk Địa Lí 12 - CTST
- Giải sgk Giáo dục KTPL 12 - CTST
- Giải sgk Tin học 12 - CTST
- Giải sgk Hoạt động trải nghiệm 12 - CTST
- Giải sgk Âm nhạc 12 - CTST
- Lớp 12 Cánh diều
- Soạn văn 12 Cánh diều (hay nhất)
- Soạn văn 12 Cánh diều (ngắn nhất)
- Giải sgk Toán 12 Cánh diều
- Giải sgk Vật Lí 12 - Cánh diều
- Giải sgk Hóa học 12 - Cánh diều
- Giải sgk Sinh học 12 - Cánh diều
- Giải sgk Lịch Sử 12 - Cánh diều
- Giải sgk Địa Lí 12 - Cánh diều
- Giải sgk Giáo dục KTPL 12 - Cánh diều
- Giải sgk Tin học 12 - Cánh diều
- Giải sgk Công nghệ 12 - Cánh diều
- Giải sgk Hoạt động trải nghiệm 12 - Cánh diều
- Giải sgk Giáo dục quốc phòng 12 - Cánh diều
- Giải sgk Âm nhạc 12 - Cánh diều


Giải bài tập SGK & SBT
Tài liệu giáo viên
Sách
Khóa học
Thi online
Hỏi đáp

