255 câu trắc nghiệm Dòng điện xoay chiều có lời giải (nâng cao - phần 5)
Với 255 câu trắc nghiệm Dòng điện xoay chiều có lời giải chi tiết sẽ giúp học sinh ôn tập, biết cách làm câu trắc nghiệm Dòng điện xoay chiều có lời giải (nâng cao - phần 5).
255 câu trắc nghiệm Dòng điện xoay chiều có lời giải (nâng cao - phần 5)
(199k) Học Vật Lí 12 KNTTHọc Vật Lí 12 CDHọc Vật Lí 12 CTST
Bài 1: Cho một đoạn mạch RLC nối tiếp. Biết L = 1/π H, C = (2.10-4)/π F, R thay đổi được. Đặt vào hai đầu đoạn mạch một điện áp có biểu thức: u = Uo.cos(100πt) (V) . Để uc chậm pha 3π/4 so với uAB thì R phải có giá trị
A. R = 100 Ω B. R = 100√2 Ω C. R = 50 Ω D. R = 150√3 Ω
Lời giải:
Đáp án: C
Bài 2: Trong giờ thực hành một học sinh dùng vôn kế lí tưởng đo lần lượt điện áp hai đầu điện trở thuần R và tụ điện có điện dung C của một đoạn mạch RC nối tếp. Kết quả đo được là UR = 14 ± 1,0 (V); UC = 48 ± 1,0 (V). Điện áp hiệu dụng hai đầu đoạn mạch RC là
A. U = 50 ± 1,5 V
B. U = 50 ± 2,0 V
C. U = 50 ± 1,4 V
D. U = 50 ± 1,2 V
Lời giải:
Đáp án D
Thay ký hiệu d bằng ký hiệu Δ và các dấu trừ (nếu có) được thay thế bằng dấu cộng:
Bài 3: Đoạn mạch xoay chiều gồm điện trở mắc nối tiếp với một hộp kín X. Khi đặt vào hai đầu mạch một điện áp xoay chiều có giá trị hiệu dụng U thì điện áp hiệu dụng hai đầu Ro và hộp X lần lượt là U√2/3 và U√5/3 . Biết X chứa một trong các phần tử: cuộn dây hoặc điện trở thuần hoặc tụ điện. Hệ số công suất của mạch bằng bao nhiêu?
A. √2/2 B. √3/2 C. 1/2 D. 3/4
Lời giải:
Ta có mạch gồm R0 nối tiếp với X
⇒ u = uRo + ux ⇔ U→ = URo→ + UX→
Vẽ trên giản đồ véc tơ ta có hình vẽ
Vận dụng định lý hàm số cosin ta có :
UX2 = U2 + URo2 - 2.URo.U.cosφ thay số → cosφ = √2/2.
Bài 4: Đặt điện áp u = U√2.cos(ωt) (trong đó U không đổi, ω thay đổi được) vào hai đầu đoạn mạch gồm điện trở thuần R, cuộn cảm thuần có độ tự cảm L = 2,5/π H và tụ điện có điện dung C mắc nối tiếp. Thay đổi tần số góc ω thì thấy khi ω = ω1 = 60π (rad/s), cường độ hiệu dụng của dòng điện trong mạch là I1. Khi ω = ω2 = 40π (rad/s), cường độ hiệu dụng của dòng điện trong mạch là I2. Khi tần số góc ω = ω0 thì cường độ hiệu dụng của dòng điện đạt giá trị cực đại Imax và I1 = I2 = Imax/√5. Giá trị của R bằng
A. 50 Ω B. 25 Ω C. 75Ω D. 100 Ω
Lời giải:
Đáp án B
Kết hợp với ω1 > ω2 → khi ω = ω1 mạch có tính cảm kháng, khi ω = ω2 mạch có tính dung kháng.
Bài 5: Đặt điện áp u = U√2.cosωt vào hai đầu một tụ điện thì cường độ dòng điện qua nó có giá trị hiệu dụng là I. Tại thời điểm t, điện áp tức ở hai đầu tụ điện là u và cường độ dòng điện tức thời qua tụ điện là i. Hệ thức liên hệ giữa các đại lượng là:
Lời giải:
Đáp án: D
Mạch chỉ chứa tụ điện thì điện áp tức thời giữa hai đầu đoạn mạch và cường độ dòng điện trong mạch biến đổi điều hòa cùng tần số và vuông pha với nhau:
Bài 6: Một điện áp xoay chiều vào hai đầu đoạn mạch gồm điện trở thuần R, cuộn cảm thuần L và tụ điện C mắc nối tiếp. Gọi uR, uL, uC, u lần lượt là điện áp tức thời ở hai đầu điện trở, cuộn cảm, tụ điện và đoạn mạch R, L, C. Gọi i là cường độ dòng điện tức thời trong mạch. Hệ thức nào sau đây là đúng
Lời giải:
Đáp án: B
Giả sử
Bài 7: Trên đoạn mạch xoay chiều không phân nhánh có bốn điểm theo đúng thứ tự A, M, N và B. Giữa hai điểm A và M chỉ có điện trở thuần, giữa hai điểm M và N chỉ có cuộn dây, giữa 2 điểm N và B chỉ có tụ điện. Đặt vào hai đầu đoạn mạch AB một điện áp xoay chiều 175 V – 50 Hz thì điện áp hiệu dụng trên đoạn AM là 25 V, trên đoạn MN là 25 V và trên đoạn NB là 175 V. Hệ số công suất của đoạn mạch AB là:
A. 1/25 B. 1/7 C. 17/25 D. 7/25
Lời giải:
Đáp án: C
Giản đồ véc tơ:
Ta có tam giác ABN và AMN cân tại B và M.
Ta có: NB = HB + NH
Vậy hệ số công suất của đoạn mạch bằng 7/25.
Bài 8: Trên đoạn mạch xoay chiều không phân nhánh có bốn điểm theo đúng thứ tự A, M, N và B, Giữa hai điểm A và M chỉ có điện trở thuần, giữa hai điểm M và N chỉ có tụ điện, giữa hai điểm N và B chỉ có cuộn cảm. Đặt vào hai đầu đoạn mạch một điện áp xoay chiều 240 V – 50 Hz thì uMB và uAM lệch pha nhau π/3, uAB và uMB lệch pha nhau π/6. Điện áp hiệu dụng trên R là
A. 60 (V) B. 60√3 (V) C. 80 (V) D. 80√3 (V)
Lời giải:
Đáp án: D
Sử dụng giãn đồ vec tơ ta được:
ΔANB cân tại M: (vì góc ABM = 60° - 30° = 30°)
Bài 9: Điện năng được truyền từ nơi phát đến một xưởng sản xuất bằng đường dây một pha với hiệu suất truyền tải là 90%. Ban đầu xưởng sản xuất này có 90 máy hoạt động, vì muốn mở rộng quy mô sản xuất nên xưởng đã nhập thêm một số máy. Hiệu suất truyền tải lúc sau (khi có thêm các máy mới cùng hoạt động) đã giảm đi 10% so với ban đầu. Coi hao phí điện năng chỉ do tỏa nhiệt trên đường dây, công suất tiêu thụ điện của các máy hoạt động (kể các máy mới nhập về) đều như nhau và hệ số công suất trong các trường hợp đều bằng nhau 1. Nếu giữ nguyên điện áp nơi phát thì số máy hoạt động đã được nhập về thêm là:
A. 100 B. 70 C. 50 D. 160.
Lời giải:
Đáp án: B
+ Hiệu suất truyền tải điện năng
Trong đó P1, P2 lần lượt là công suất truyền đi trước và sau khi nhập thêm n máy và P0 là công suất tiêu thụ mỗi máy.
+ Mặt khác: ΔP = (P2.R)/U
→ Thay vào (1), ta tìm được n = 70.
Bài 10: Một khung dây quay trong từ trường đều B. Khi suất điện động là e1 thì từ thông là Φ1; khi suất điện động là e2 thì từ thông là Φ2. Khi đó tần số góc của khung dây được tính bằng biểu thức
Lời giải:
Đáp án: B
Bài 11: Đặt một điện áp xoay chiều có giá trị hiệu dụng U và tần số f không đổi vào hai đầu đoạn mạch gồm biến trở R mắc nối tiếp với tụ điện có điện dung C. Gọi điện áp hiệu dụng giữa hai đầu biến trở, giữa hai đầu tụ điện và hệ số công suất của đoạn mạch khi biến trở có giá trị R1 lần lượt là UR1, UC1, cosφ1. Khi biến trở có giá trị R2 thì các giá trị tương ứng nói trên lần lượt là UR2, UC2, cosφ2 biết rằng sự liên hệ: . Giá trị của cosφ1 là:
A. 1 B. 1/√2 C. 0,49 D. √3/2
Lời giải:
Đáp án: C
Bài 12: Điện năng được truyền từ nguồn điện U = 50 kV được truyền đến nơi tiêu thụ với công suất 100 kW bằng dây điện có hai lõi riêng biệt đường kính tiết diện d, độ dài 10 km. Biết điện trở suất dây dẫn là 1,5.10-8 Ωm. Để độ điện năng hao phí trên dây không vượt quá 2% điện năng nguồn thì d nhỏ nhất bằng bao nhiêu?
A. 1,0 mm B. 0,45 mm C. 0,87 mm D. 0,25 mm
Lời giải:
Đáp án: C
Chú ý: Công suất điện hao phí trên dây do tỏa nhiệt là ΔP = Pnguồn - P(Nơi tiêu thụ) = I2.R
Bài 13: Xét 4 mạch điện xoay chiều sau: mạch (1) gồm R nối tiếp cuộn dây thuần cảm (L); mạch (2) gồm R nối tiếp tụ C; mạch (3) gồm dây thuần cảm (L) nối tiếp tụ C; mạch (4) gồm R, L, C nối tiếp. Người ta làm thí nghiệm với một trong bốn mạch điện.
* Thí nghiệm 1: Nối hai đầu mạch vào nguồn điện không đổi thì không có dòng điện trong mạch.
* Thí nghiệm 2: Nối hai đầu mạch vào nguồn điện xoay chiều có u = 100cos(ωt - π/3) V thì có dòng điện chạy qua mạch là i = 5.cos(ωt - π/2) A.
Người ta đã làm thí nghiệm với mạch điện (có thể) nào?
A. mạch (1) và (4) B. mạch (2) và (4) C. mạch (2) và (3) D. mạch (4)
Lời giải:
Đáp án: D
+ Khi tiến hành thí nghiệm 1 thì đoạn mạch chắc chắn có chứa tụ, vì tụ không cho dòng không đổi đi qua.
+ Khi tiến hành thí nghiệm 2 ta nhận thấy pha của u sớm hơn pha của i nên mạch có tính cảm kháng
Tương tự như vậy ta thấy rằng chỉ có đáp án D thỏa mãn.
Bài 14: Mạch điện xoay chiều mắc nối tiếp gồm biến trở R, cuộn dây thuần cảm L và tụ điện Đặt vào hai đầu đoạn mạch điện áp xoay chiều có giá trị hiệu dụng U = 100 V và tần số f không đổi. Điều chỉnh để R = R1 = 50 Ω thì công suất tiêu thụ của mạch là P1 = 60 W và góc lệch pha của điện áp và dòng điện là φ1. Điều chỉnh để R = R2 = 25 Ω thì công suất tiêu thụ của mạch là P2 và góc lệch pha của điện áp và dòng điện là φ2 với cos2φ1 + cos2φ2 = 3/4. Tỉ số P2/P1 bằng:
A. 3 B. 4 C. 1 D. 2
Lời giải:
Đáp án: A
Ta có:
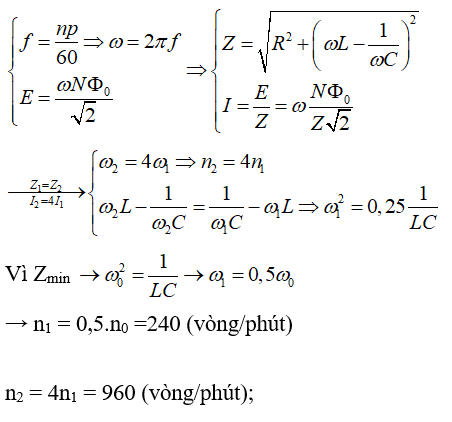
Bài 15: Nối hai cực của máy phát điện xoay chiều một pha với một đoạn mạch AB gồm R, cuộn cảm thuần L và C mắc nối tiếp. Khi rôto của máy quay đề với tốc độ lần lượt n1 vòng/phút và n2 vòng/phút thì cường độ dòng diện hiệu dụng và tổng trở của mạch trong đoạn mạch AB lần lượt là I1, Z1 và I2, Z2. Biết I2 = 4I1 và Z2 = Z1. Để tổng trở của đoạn mạch AB có giá trị nhỏ nhất thì rôto của máy phải quay đều với tốc độ bằng 480 vòng/phút. Giá trị của n1 và n2 lần lượt là
A. 120 vòng/phút và 1920 vòng/phút
B. 300 vòng/phút và 768 vòng/phút.
C. 240 vòng/phút và 960 vòng/phút
D. 360 vòng/phút và 640 vòng/phút.
Lời giải:
Đáp án: C
Bài 16: Đoạn mạch nối tiếp AB gồm điện trở R = 100 Ω, cuộn dây thuần cảm có L = 2/π H nối tiếp và tụ điện có điện dung C = 0,1/π mF. Nối AB với máy phát điện xoay chiều một pha gồm 10 cặp cực (điện trở trong không đáng kể). Khi roto của máy phát điện quay với tốc độ 2,5 vòng/s thì cường độ dòng điện hiệu dụng trong mạch là √2 A. Thay đổi tốc độ quay của roto cho đến khi cường độ dòng điện hiệu dụng trong mạch đạt cực đại. Tốc độ quay của roto và cường độ dòng điện hiệu dụng khi đó là
A. 2,5√2 vòng/s và 2 A
C. 25√2 vòng/s và √2 A
C. 10/√6 vòng/s và 8/√7 A
D. 2,5√2 vòng/s và 2√2 A.
Lời giải:
Đáp án: C
Đặt n = xn1
Bài 17: Nối hai đầu dây một máy phát điện xoay chiều một pha (bỏ qua điện trở thuần của các cuộn dây máy phát) vào hai đầu đoạn mạch mắc nối tiếp gồm điện trở R và cuộn cảm thuần. Khi roto quay với tốc độ n vòng/phút thì công suất tiêu thụ của đoạn mạch là 16 W. Khi roto quay với tốc độ 2n vòng/phút thì công suất tiêu thụ của đoạn mạch là 20 W. Khi roto quay với tốc độ 3n vòng/phút thì công suất tiêu thụ của đoạn mạch xấp xỉ
A. 21,76 W B. 23,42 W C. 17,33 W D. 20,97 W
Lời giải:
Đáp án: D
Điện áp từ máy phát cấp cho mạch là: u = Uo.cos(ωt) (giả sử chọn điều kiện ban đầu sao cho φ = 0); với Uo = Eo = N.Φo.ω = U√2
⇒ U = kω ; với k = N.φo.√2
Công suất tiêu thụ là
Bài 18: Cho mạch điện xoay chiều R, L, C mắc nối tiếp, trong đó R và L không đổi, còn C có thể thay đổi được. Đặt vào hai đầu mạch một điện áp xoay chiều có giá trị hiệu dụng 150 V và tần số không đổi. Điều chỉnh giá trị C thì dung kháng ZC của tụ điện và tổng trở Z của mạch biến đổi theo C như hình vẽ bên. Khi dung kháng của tụ điện ZC = ZC1 (xem hình vẽ) thì điện áp hiệu dụng giữa hai bảng tụ điện bằng
A. 224,5 V B. 300,0 V C. 112,5 V D. 200,0 V
Lời giải:
Đáp án: D
Trên đồ thị ta có:
Tại C1 thì Zmin = R = 120 Ω, Khi đó ZC1 = ZL
Gọi C2 theo đồ thị thì Z = ZC2 = 125 Ω
Điện áp hiệu dụng giữa hai bản tụ điện: UC = I.ZC1 = 1,25 . 160 = 200 V
Bài 19: Một mạch điện xoay chiều AB gồm một điện trở thuần R, một cuộn cảm thuần có độ tự cảm L, một tụ điện có điện dung C thay đổi được, mắc nối tiếp theo đúng thứ tự. Điểm M nằm giữa cuộn cảm và tụ điện. Đặt vào hai đầu mạch một điện áp xoay chiều = U√2.cosωt. Các đại lượng R, L, U, ω không đổi. Điều chỉnh C sao cho điện áp hiệu dụng giữa 2 đầu đoạn mạch MB đạt giá trị cực đại, lúc này: điện áp hiệu dụng giữa hai đầu điện trở R là 150 V ; điện áp tức thời giữa hai đầu đoạn mạch AB là 150√6 (V); điện áp tức thời giữa hai đầu đoạn mạch AM là 50√6 (V). Điện áp hiệu dụng giữa hai đầu đoạn mạch AB là:
A. 150 V B. 300 V C. 100√3 V D. 150√2 V
Lời giải:
Đáp án: B
Sử dụng các công thức của bài toán điện dung của tụ điện thay đổi.
Điều chỉnh C để điện áp hiệu dụng hai đầu tụ đạt giá trị cực đại thì uRL vuông pha với u.
Ta có giản đồ véc tơ như hình bên
Khi đó
Mặt khác, từ hệ thức lượng trong tam giác vuông ta có:
Giải (1) và (2) ta thu được Uo2 = 180000 ⇒ Uo = 300√2 ⇒ U = 300 (V)
Bài 20: Trên đoạn mạch xoay chiều không phân nhánh có bốn điểm theo đúng thứ tự A, N, M và B. Giữa hai điểm A và N chỉ có điện trở thuần R, giữa hai điểm N và M chỉ có cuộn dây (có điện trở thuần r = R, giữa 2 điểm M và B chỉ có tụ điện. Đặt vào hai đầu đoạn mạch một điện áp U – 50 Hz thì điện áp hiệu dụng trên đoạn AM bằng trên đoạn NB và bằng 30√5 (V). Điện áp tức thời trên đoạn AM vuông pha với điện áp trên đoạn NB. Giá trị U bằng
A. 30 V B. 90 V C. 60√2 V D. 120 V.
Lời giải:
Đáp án: C
Bài 21: Điện năng được truyền từ nơi phát đến một khu dân cư bằng đường dây một pha với hiệu suất truyền tải là 90%. Coi hao phí điện năng chỉ do tỏa nhiệt trên đường dây và không vượt quá 20%. Nếu công suất sử dụng điện của khu dân cư này tăng 10% và giữ nguyên điện áp ở nơi phát thì hiệu suất truyền tải điện năng trên chính đường dây đó là
A. 88,86% B. 92,84% C. 85,26% D. 87,74%.
Lời giải:
Đáp án: A
- Giải phương trình (3) ta có hai nghiệm:
- Hiệu suất truyền tải
- Vì hao phí không vượt quá 20% nên ta chọn nghiệm I2/I1 = 1,114.
Thay vào (4) ta có H = 88,86%
Bài 22: Mạch RLC có R thay đổi để công suất như nhau P1 = P2 biết hệ số cống suất ứng với R1 là x, hệ số công suất ứng với R2 là y. Ta có phát biểu sau đây là đúng ?
A. x3 + y3 là hằng số
B. x2; y2 là hằng số
C. x + y là hằng số
D. x2 + y2 là hằng số
Lời giải:
Đáp án: D
Ta có
Bài 23: Lần lượt đặt điện áp xoay chiều u = 200√2.cos(100πt - π/2) (V) vào hai đầu đoạn mạch X và đoạn mạch Y thì cường độ dòng điện chạy trong hai mạch đều có giá trị hiệu dụng là 1A, nhưng đối với đoạn mạch X thì dòng điện sớm pha so với điện áp là π/3 và đối với đoạn mạch Y thì dòng điện cùng pha với điện áp. Biết rằng trong X và Y có thể chứa các phần tử: điện trở thuần, tụ điện, cuộn cảm. Khi đặt điện áp trên vào hai đầu đoạn mạch gồm X nối tiếp với Y thì cường độ dòng điện trong mạch có biểu thức là
Lời giải:
Đáp án: B
+ Với đoạn mạch X, dòng điện sớm pha hơn điện áp một góc π/3 → mạch có tính dung kháng và
+ Với đoạn mạch Y, dòng điện lại cùng pha với điện áp hai đầu mạch
Bài 24: Một đoạn mạch AB gồm đoạn mạch AM nồi tiếp đoạn mạch MB. Biết đoạn mạch AM gồm điện trở thuần R1, tụ điện C1, cuộn dây thuần cảm L1 mắc nối tiếp. Đoạn mạch MB có hộp X, biết trong hộp X cũng có các phần tử là điện trở thuần, cuộn cảm, tụ điện mắc nối tiếp nhau. Đặt điện áp xoay chiều vào hai đầu đoạn mạch AB có tần số 50 Hz và giá trị hiệu dụng là 200 V thì thấy dòng điện trong mạch có giá trị hiệu dụng 2 A. Biết R1 = 40 Ω và nếu ở thời điểm t (s), uAB = 200 V thì ở thời điểm (t + 1/600)s dòng điện iAB = 0 (A) và đang giảm. Công suất của đoạn mạch MB là
A. 90 W B. 60 W C. 120 W D. 40 W.
Lời giải:
Đáp án: D
Giả sử điện áp đặt vào hai đầu mạch có biểu thức u = U cosωt = 200 cos100ωt (V).
Khi đó cường độ dòng điện qua mạch có biểu thức i = 2√2.cos(100πt - φ) với φ gọc lệch pha giữa u và i
Tại thời điểm t(s) u = 200 (V) ⇒ cosωt = 1.
Do đó cường độ dòng điện tại thời điểm (t + 1/600)s
=> Công suất của đoạn mạch MB là:
PMB = UIcosφ - I2R1 = 200.2.0,5 – 4.40 = 40 W.
Bài 25: Đặt điện áp xoay chiều có giá trị hiệu dụng không đổi 200 V vào đoạn mạch AMB gồm đoạn AM chỉ chứa điện trở R, đoạn mạch MB chứa tụ điện có điện dung C mắc nối tiếp với một cuộn cảm thuần có độ tự cảm L thay đổi được. Biết sau khi thay đổi độ tự cảm L thì điện áp hiệu dụng hai đầu mạch MB tăng √3 lần và dòng điện trong mạch trước và sau khi thay đổi lệch pha nhau một góc 0,5π. Điện áp hiệu dụng hai đầu mạch AM khi ta chưa thay đổi L có giá trị bằng
A. 100√3 B. 120 V C. 100√2 V D. 100 V.
Lời giải:
Đáp án: A
+ Biểu diễn vectơ các điện áp U→ = UAM→ + UMB→
Vì uAM luôn vuông pha với uMB nên quỹ tích của M là đường tròn nhận U là đường kính
+ Từ hình vẽ, ta có
Bài 26: Đặt điện áp xoay chiều u = U√2cos(ωt) (V) (trong đó U không đổi, ω thay đổi được) vào hai đầu mạch điện gồm các linh kiện R, L, C mắc nối tiếp. Đồ thị biểu diễn sự phụ thuộc của điện áp hiệu dụng hai đầu tụ điện và hệ số công suất toàn mạch khi ω thay đổi được cho như hình vẽ. Giá trị của k là?
A. √6/3 B. √6/4 C. √3/2 D. √3/3
Lời giải:
Đáp án: A
+ Khi ω = ω2 ta thấy UC = U và cosφ = 1 ⇒ mạch đang xảy ra cộng hưởng:
UC = U → ZC2 = ZL2 = Z = R → ZC2.ZL2 = R2 → L/C = R2
Áp dụng công thức khi UCmax ta có:
Bài 27: Cho mạch điện như hình vẽ: Cuộn cảm thuần có L nối tiếp với R = 50√3 Ω và tụ C. Điện áp xoay chiều ổn định giữa hai đầu A và B. Đồ thị biểu diễn sự phụ thuộc theo thời gian của điện áp giữa hai đầu đoạn mạch AN và điện áp giữa hai đầu NB được biểu diễn như hình vẽ. Điện trở các dây nối rất nhỏ. Xác định L và C:
A. 3/π H; 10-3/5π F
B. 3/2π H; 10-4/5π F
C. 3/2π H; 10-3/5π F
D. 3/2π H; 10-3/2π F
Lời giải:
Đáp án: C
Nhìn vào đồ thị dễ thấy uAN vuông pha với uMB
và U0AN = 100√3 V ; U0MB = 100 V
Vẽ giản đồ vecto như hình vẽ
Dễ thấy
Bài 28: Một trạm phát điện xoay chiều có công suất không đổi là (P), truyền điện đi xa với điện áp hai đầu dây tại nơi truyền đi là 200 kV, tổn hao điện năng khi truyền đi là 30%. Nếu tăng điện áp truyền tải lên 500 kV thì tổn hao điện năng khi truyền đi là
A. 6%
B. 7,5%
C. 12%
D. 4,8%.
Lời giải:
Đáp án: D
Bài 29: Đặt một điện áp xoay chiều ổn định vào hai đầu mạch RLC mắc nối tiếp. Dùng một đồng hồ đo điện đa năng lí tưởng để đo điện trở thuần R trong mạch. Khi đo điện áp giữa hai đầu điện trở với thang đo 100 V, thì kim chỉ thị của đồng hồ ở vị trí như hình vẽ. Khi đo cường độ dòng điện qua mạch với thang đo 1 A, thì kim chỉ thị của đồng hồ vẫn ở vị trí như cũ. Lấy sai số dụng cụ đo là nửa độ chia nhỏ nhất. Kết quả đo điện trở được viết là
A. R = (100 ± 2) Ω
B. R = (100 ± 7) Ω
C. R = (100 ± 4) Ω
D. R = (100 ± 0.1) Ω
Lời giải:
Đáp án: B
Khi đo hiệu điện thế hai đầu điện trở ta có U = 26 V, ΔU = 1 V
Khi đo cường độ dòng điện ta có I = 0,26 A và ΔI = 0,01 A
R = U/I = 100 Ω, δR = δU + δI
Bài 30: Đặt điện áp u = U√2.cos(100πt) vào 2 đầu đoạn mạch gồm: biến trở R, cuộn cảm thuần L và tụ điện C mắc nối tiếp người ta thu được đồ thị biểu diễn quan hệ giữa công suất mạch điện với điện trở R như hình dưới. Xác định y:
A. 100 B. 50 C. 80 D. 20
Lời giải:
Đáp án: C
Bài 31: Đặt điện áp xoay chiều có U không đổi, f thay đổi được vào hai đầu đoạn mạch AB gồm RLC nối tiếp, cuộn đây thuần cảm, 2L > CR2. Khi f = f1 = 60 Hz thì UC đạt UCmax, hệ số công suất của đoạn mạch AB lúc này là cosφ1. Khi f = f2 = 100 Hz thì UL đạt ULmax, hệ số công suất của đoạn mạch AB lúc này là cosφ2. Giá trị của tổng (cosφ1 + cosφ2) là:
A. 2/3 B. 1/2 C. √3 D. √3/2
Lời giải:
Đáp án: C
Dùng sơ đồ trục tần số:
Sơ đồ trục tần số: Công thức ωC = ωR/√n và ωL = √n.ωR ta có trục tần số như sau:
Các công thức hệ quả : Dựa vào sơ đồ trục ω ta có: n = ωL/ωC = fL/fC
a. Chuẩn hóa ta có các công thức sử dụng cho UCmax:
b. Chuẩn hóa ta có các công thức cho ULmax
Cách giải: Theo đề bài: n = ωL/ωC = fL/fC = 100/60 = 10/6
Bài 32: Đặt điện áp xoay chiều u = U√2.cos2πft (V) vào hai đầu đoạn mạch gồm điện trở R, cuộn cảm thuần L và tụ điện C mắc nối tiếp nhau. Hệ số công suất của đoạn mạch khi đó là k. Khi nối hai đầu cuộn cảm bằng một dây dẫn có điện trở không đáng kể thì điện áp hiệu dụng trên điện trở R tăng 2√2 lần và cường độ dòng điện qua đoạn mạch trong hai trường hợp lệch pha nhau một góc π/2. Giá trị của k bằng.
A. √3 B. 2/√5 C. 1/3 D. 1/2
Lời giải:
Đáp án: C
Sử dụng giản đồ vectơ
Ban đầu mạch gồm RLC mắc nối tiếp, ta gọi các giá trị điện áp trên các phần tử là UR; UL; UC.
Lúc sau, mạch nối tắt L, nên chỉ còn R, C nối tiếp, ta gọi các điện áp trên các phần tử là U’R và U’C.
Biết rằng lúc sau dòng điện tức thời lệch pha π/2 so với cường độ dòng điện lúc đầu, ta có:
Ta vẽ trên cùng 1 giản đồ vectơ.
Ta có:
Mặt khác:
Bài 33: Điện năng được truyền từ đường dây hạ áp 220 V vào một nhà dân bằng đường dây tải điện chất lượng kém. Trong nhà này có sử dụng một máy biến áp chỉ hoạt động khi điện áp đầu vào lớn hơn 140 V và duy trì điện áp đầu ra là 220 V (gọi là máy ổn áp). Tính toán cho thấy, nếu công suất sử dụng trong nhà là 1,1 kW thì tỉ số tăng áp là 22/21. Coi điện áp và cường độ dòng điện luôn cùng pha. Nếu công suất sử dụng điện trong nhà là 2,2 kW thì hệ số tăng áp máy lúc này
A. 2,2 B. 1,1 C. 10,4 D. 1,8
Lời giải:
Đáp án: B
- Bài cho: Uvào = 220 V, U2 = 220 V.
- Khi công suất là 1,1 kW:
- Khi công suất là 2,2 kW:
Theo bài cho, máy biến áp chỉ hoạt động khi điện áp đầu vào lớn hơn 140 V
⇒ nghiệm đúng là k’ = 1,1.
Bài 34: Một khung dây phẳng có diện tích 10 cm2 đặt trong từ trường đều, mặt phẳng khung dây hợp với đường cảm ứng từ một góc 30°. Độ lớn từ thông qua khung là 3.10-5 Wb. Cảm ứng từ có giá trị là:
A. 6.10-2 T. B. 3.10-2 T. C. 4.10-2 T. D. 5.10-2 T.
Lời giải:
Đáp án: A
Sử dụng công thức tính từ thông
Chú ý là góc α là góc hợp bởi pháp tuyến và vecto cảm ứng từ, trong đề bài, góc tạo bởi vecto cảm ứng từ với mặt phẳng khung dây là 30°. Nên ta chọn pháp tuyến sao cho α = 60°
Bài 35: Điện năng từ một trạm phát được truyền đi với điện áp hiệu dụng là 10 KV và công suất truyền đi là P có giá trị không đổi, hệ số công suất bằng 1. Hiệu suất truyền tải điện năng bằng 91%. Để giảm công suất hao phí trên dây chỉ còn 4% công suất truyền đi thì điện áp hiệu dụng nơi truyền đi phải tăng thêm:
A. 15 kV B. 5 kV C. 12 kV D. 18 kV.
Lời giải:
Đáp án: B
Sử dụng công thức tính hiệu suất
Ta có:
Điện áp hiệu dụng tăng thêm là U2 - U1 = 10 - 5 = 5 KV
Bài 36: Đoạn mạch điện gồm RLC mắc nối tiếp, cuộn dây thuần cảm với CR2 < 2L; điện áp hai đầu đoạn mạch là u = U√2cos(ωt), U ổn định và ω thay đổi. Khi ω = ωL thì điện áp 2 cuộn cảm L cực đại và ULmax = (4/√15).U. Hệ số công suất tiêu thụ là
A. 15/16 B. √15/4 C. √10/5 D. √5/4
Lời giải:
Đáp án: C
Sử dụng chuẩn hóa khi tần số thay đổi.
Từ (1) và (2) Suy ra: n = 4. Khi ULmax thì dùng công thức: cosφ = √(2/(1 + n))
Hệ số công suất của đoạn mạch khi
Bài 37: Đặt điện áp xoay chiều u = U√2.cos(100πt), (V) (U không đổi) vào hai đầu đoạn mạch nối tiếp gồm điện trở R, tụ điện có điện dung C và cuộn cảm có điện trở r = 10√2 Ω, hệ số tự cảm L biến thiên. Đồ thị biểu diễn sự biến thiên của công suất tiêu thụ trên trên toàn mạch theo cảm kháng được cho như hình vẽ. Biết P3/P1 = 3, giá trị của điện trở R là:
A. 40√2 Ω B. 50√2 Ω C. 100 Ω D. 100√2 Ω
Lời giải:
Đáp án: A
Áp dụng định luật Ôm, điều kiện cộng hưởng và công suất.
Từ đồ thị ta thấy có hai giá trị của ZL là 60 Ω và 140 Ω cùng cho một giá trị P.
Vị trí P3 đạt cực đại ứng với trường hợp cộng hưởng điện ZL3 = ZC; lưu ý ZC không đổi.
Và ta có mối liên hệ giữa ZL3 với ZL1 và ZL2 là: ZL3 = (ZL1 + ZL2)/2 = (60 + 140)/2 = 100 Ω = Zc
Khi ZL = 0 thì mạch có công suất P1 thỏa mãn P3/P1 = 3, Ta có:
Bài 38: Đặt điện áp xoay chiều ổn định vào hai đầu đoạn mạch mắc nối tiếp theo thứ tự gồm cuộn cảm thuần L có cảm kháng ZL thay đổi được, điện trở R và tụ điện C. Hình vẽ bên là đồ thị biểu diễn sự phụ thuộc của điện áp hiệu dụng trên L, trên C, trên đoạn chứa RL và trên đoạn chứa RC theo ZL. Đường biểu diễn sự phụ thuộc điện áp hiệu dụng trên đoạn chứa RC theo ZL là
A. 1 B. 2 C. 4 D. 3
Lời giải:
Đáp án: B
Ta có biểu thức các đại lượng:
Bài 39: Cho dòng điện xoay chiều i = π.cos(100πt - π/2) (A) chạy qua bình điện phân đựng dung dịch H2SO4 với các điện cực bằng bạch kim. Tính điện lượng qua bình điện phân theo 1 chiều trong thời gian 16 phút 5 giây
A. 662 C B. 1250 C C. 965 C D. 3210 C
Lời giải:
Đáp án: C
Chu kỳ dòng điện T = 2π/ω = 0,02s
Thời gian t = 965 s = 48250 T
Xét trong chu kỳ đầu tiên khi t = 0 thì i = π.cos(-π/2) = 0, sau đó i tăng rồi giảm về 0 lúc t = T/2 = 0,01 s. Sau đó dòng điện đổi chiều chuyển động.
Vậy điện lượng qua bình theo một chiều trong 1 chu kỳ là
Vậy điện lượng qua bình theo một chiều trong thời gian 16 phút 5 giây là:
Bài 40: Người ta truyền tải điện năng đến một nới tiêu thụ bằng đường dây 1 pha có điện trở R. Nếu điện áp hiệu dụng đưa lên 2 đầu đường dây là U thì hiệu suất truyền tải điện năng là 80%. Khi tăng điện áp lên 4U mà công suất tiêu thụ vẫn không thay đổi thì hiệu suất truyền tải bằng bao nhiêu, coi hệ số công suất toàn mạch điện là không đổi trong suốt quá trình thay đổi điện áp và hao tổn trên đường dây không vượt quá 10%
A. 90% B. 95% C. 99% D. 94%
Lời giải:
Đáp án: C
+ H2/H1 = Pt2/P2 . P1Pt1 = U1I1/U2I2 = I1/4I2 (1)
Bài 41: Đặt điện áp xoay chiều AB gồm: đoạn mạch AM chứa điện trở thuần R = 90 Ω và tụ điện C = 35,4 μF, đoạn mạch MB gồm hộp X chứa 2 trong 3 phần tử mắc nối tiếp (điện trở thuần R0; cuộn cảm thuần có độ tự cảm L0, tụ điện có điện dung C0). Khi đặt vào hai đầu AB một điện thế xoay chiều có tần số 50 Hz thì ta được đồ thị sự phụ thuộc của uAM và uMB thời gian như hình vẽ (chú ý 90√3 ≈ 156). Giá trị của các phần tử chứa trong hộp X là:
A. R0 = 60 Ω, L0 = 165 mH
B. R0 = 30 Ω, L0 = 95,5 mH
C. R0 = 30 Ω, C0 = 106 μF
D. R0 = 60 Ω, C0 = 61,3 μF
Lời giải:
Đáp án: B.
Từ đồ thị ta thấy U0AM = 180 V; U0MB = 60 V.
Tại t = 0, uAM = 90√3 V và đang tăng
→ 90√3 = 180.cosφ1, φ1 < 0 → φ1 = -π/6
Tại t = 0 uMB = 30 V và đang giảm 30 = 60.cosφ2, φ2 > 0 → φ2 = π/3
Suy ra uAM và uMB vuông pha với nhau ⇒ hộp X chứa R0 và L0
ZC = 90 Ω.
Ta có
⇒ chỉ có đáp án B phù hợp.
Bài 42: Nối hai cực của máy phát điện xoay chiều một pha vào hai đầu một cuộn dây không thuần cảm có điện trở r = 10 Ω và độ tự cảm L. Biết rôto của máy phát có một cặp cực, stato của mát phát có 20 vòng dây và điện trở thuần của cuộn dây là không đáng kể. Cường độ dòng điện trong mạch được đo bằng đồng hồ đo điện đa năng hiện số. Kết quả thực nghiệm thu được như đồ thị trên hình vẽ. Giá trị của L là
A. 0,25 H B. 0,30 H C. 0,20 H D. 0,35 H
Lời giải:
Đáp án: A
Bài 43: Cho mạch điện như hình vẽ, cuộn dây thuần cảm. Điện áp xoay chiều ổn định giữa hai đầu A và B là u = 100√6.cos(ωt + φ). Khi K mở hoặc đóng, thì đồ thị cường độ dòng điện qua mạch theo thời gian tương ứng là im và iđ được biểu diễn như hình bên. Điện trở các dây nối rất nhỏ. Giá trị của R bằng:
A. 100 Ω B. 50 Ω C. 100 Ω D. 50 Ω
Lời giải:
Đáp án: D
Dùng giản đồ véc tơ tổng trở: Ta có: Id = √3Im ⇒ Zm = √3.Zd.
Dùng hệ thức lượng trong tam giác vuông ABC:
Bài 44: Cho đoạn mạch điện xoay chiều ANB, đoạn AN chứa R và C thay đổi, đoạn NB Chứa L = 1,5/π H. Biết f = 50 Hz, người ta thay đổi C sao cho UAN cực đại bằng 2UAB. Tìm R và C:
A. ZC = 200 Ω; R = 200 Ω B. ZC = 100 Ω; R = 100
C. ZC = 200 Ω; R = 100 Ω D. ZC = 100 Ω; R = 200
Lời giải:
Khithì
Lưu ý: R và C mắc liên tiếp nhau
Đề cho UAN cực đại bằng 2UAB suy ra:
Bài 45: Đặt vào hai đầu đoạn mạch như hình bên. Một điện áp xoay chiều thì các điện áp uAM = 60√2.cos(100πt - π/6) và uX = 60√6.cos(100πt + π/3). Biết R = 30√3 Ω, C = 10-3/3π (F). Công suất tiêu thụ của mạch hộp X bằng:
A. 60√3 W B. 60 W C. 30 W D. 30√3 W
Lời giải:
Đáp án: D
Bài 46: Đặt một điện áp xoay chiều vào hai đầu A, B của đoạn mạch như hình vẽ, trong đó L là cuộn dây thuần cảm. Khi khóa K mở, dùng vôn kế có điện rất lớn đo được các điện áp hiệu dụng UAM = UNB/2 = 50 V; UAN = 0. Khi K đóng thì hiệu điện thế hiệu dụng hai đầu cuộn tự cảm bằng:
A. 25 V B. 20√2 V C. 20 V D. 20√5 V
Lời giải:
Đáp án: D
UAN = 0 chứng tỏ xảy ra cộng hưởng, do đó:
ZL = ZC = R/2 và U = UNB = 100 V
Khi K đóng thì: √(UL2 + UR2) = UL.√5 = U = 100 V. Vậy UL = 20√5 V
Bài 47: Nối hai cực của một máy phát điện xoay chiều một pha vào hai đầu đoạn mạch AB gồm điện trở thuần R mắc nối tiếp với cuộn cảm thuần. Bỏ qua điện trở các cuộn dây của máy phát. Khi rôto của máy quay đều với tốc độ n1 vòng/phút thì cường độ dòng điện hiệu dụng trong đoạn mạch là I (A); hệ số công suất của đoạn mạch AB là √2/2. Khi rôto của máy quay đều với tốc độ n2 vòng/phút thì cường độ dòng điện hiệu dụng trong đoạn mạch là 2I/√5 . Mối liên hệ của n2 so với n1 là:
Lời giải:
Đáp án: B
Bài 48: Đặt điện áp u = 100√3.cos(100πt + φo) (V) vào đầu A, B của mạch điện cho như hình H1. Khi K mở hoặc đóng thì đồ thị cường độ dòng điện theo thời gian tương ứng là im và iđ như hình H2. Hệ số công suất của mạch khi K đóng là
A. 1/2 B. √3/2 C. √2/2 D. 1/√3 .
Lời giải:
Đáp án: B
Biểu thức cường độ dòng điện khi K đóng và K mở
iđ = 3.cos(ωt + π/2) (A); im = √3.cosωt (A)
Như vậy dòng điện khi K đóng sớm pha π/2 so với dòng điện khi K mở.
Vẽ giản đồ vectơ kép như hình bên.
Lưu ý: hiệu điện thế hai đầu đoạn mạch trong cả hai trường hợp khi K đóng và K mở là như nhau, nên hình chiếu của U→ xuống phương Iđ→ và Im→ tương ứng cho biết URđ và URm
Bài 49: Đoạn mạch AB gồm hai hộp kín X và Y mắc nối tiếp (xem hình vẽ). Biết X, Y chỉ chứa một linh kiện hoặc là điện trở, hoặc là cuộn dây, hoặc là tụ điện. Đặt vào hai đầu đoạn mạch AB một điện áp u = 10√30.cos(100πt) (V) thì ampe kế (a) chỉ 1A; UAM = 2UMB = 10√2 V và công suất tiêu thụ toàn mạch là P = 5.√6 W. Biết điện áp tức thời giữa hai điểm AM sớm pha hơn điện áp hai đầu đoạn mạch. Điện trở thuần của hộp X gần bằng
A. 12,2 Ω B. 9,7 Ω C. 7,1 Ω D. 2,6 Ω
Lời giải:
Đáp án: A
Công suất tiêu thụ của mạch:
→ mạch cộng hưởng, vậy Y chỉ có thể là tụ điện C.
Công suất tiêu thụ trên toàn mạch đúng bằng công suất tiêu thụ trên X:
Bài 50: Đặt vào hai đầu một cuộn dây có độ tự cảm L và điện trở thuần r khác 0 lần lượt các điện áp xoay chiều có phương trình: u1 = Uocos50πt (V), u2 = 3Uo.cos75πt (V); u3 = 6.Uocos112,5πt (V) thì công suất tiêu thụ của cuộn dây lần lượt là 120 (W), 600 (W) và P. Giá trị của P bằng bao nhiêu ?
A. 250 (W) B. 1000 (W) C. 1200 (W) D. 2800 (W).
Lời giải:
Đáp án: D
Công suất tiêu thụ được tính theo công thức
Khi mắc các nguồn điện xoay chiều lần lượt vào cuộn dây thì công suất tương ứng là:
Từ (1) và (3) ta có:
(199k) Học Vật Lí 12 KNTTHọc Vật Lí 12 CDHọc Vật Lí 12 CTST
Xem thêm các dạng bài tập Vật Lí lớp 12 có trong đề thi Tốt nghiệp THPT khác:
- 215 câu trắc nghiệm Dòng điện xoay chiều cơ bản (P1 - có đáp án)
- 215 câu trắc nghiệm Dòng điện xoay chiều cơ bản (P2 - có đáp án)
- 215 câu trắc nghiệm Dòng điện xoay chiều cơ bản (P3 - có đáp án)
- 215 câu trắc nghiệm Dòng điện xoay chiều cơ bản (P4 - có đáp án)
- 215 câu trắc nghiệm Dòng điện xoay chiều cơ bản (P5 - có đáp án)
- 255 câu trắc nghiệm Dòng điện xoay chiều nâng cao (P1 - có đáp án)
- 255 câu trắc nghiệm Dòng điện xoay chiều nâng cao (P2 - có đáp án)
- 255 câu trắc nghiệm Dòng điện xoay chiều nâng cao (P3 - có đáp án)
- 255 câu trắc nghiệm Dòng điện xoay chiều nâng cao (P4 - có đáp án)
Đã có app VietJack trên điện thoại, giải bài tập SGK, SBT Soạn văn, Văn mẫu, Thi online, Bài giảng....miễn phí. Tải ngay ứng dụng trên Android và iOS.
Theo dõi chúng tôi miễn phí trên mạng xã hội facebook và youtube:Nếu thấy hay, hãy động viên và chia sẻ nhé! Các bình luận không phù hợp với nội quy bình luận trang web sẽ bị cấm bình luận vĩnh viễn.
- Giải Tiếng Anh 12 Global Success
- Giải sgk Tiếng Anh 12 Smart World
- Giải sgk Tiếng Anh 12 Friends Global
- Lớp 12 Kết nối tri thức
- Soạn văn 12 (hay nhất) - KNTT
- Soạn văn 12 (ngắn nhất) - KNTT
- Giải sgk Toán 12 - KNTT
- Giải sgk Vật Lí 12 - KNTT
- Giải sgk Hóa học 12 - KNTT
- Giải sgk Sinh học 12 - KNTT
- Giải sgk Lịch Sử 12 - KNTT
- Giải sgk Địa Lí 12 - KNTT
- Giải sgk Giáo dục KTPL 12 - KNTT
- Giải sgk Tin học 12 - KNTT
- Giải sgk Công nghệ 12 - KNTT
- Giải sgk Hoạt động trải nghiệm 12 - KNTT
- Giải sgk Giáo dục quốc phòng 12 - KNTT
- Giải sgk Âm nhạc 12 - KNTT
- Giải sgk Mĩ thuật 12 - KNTT
- Lớp 12 Chân trời sáng tạo
- Soạn văn 12 (hay nhất) - CTST
- Soạn văn 12 (ngắn nhất) - CTST
- Giải sgk Toán 12 - CTST
- Giải sgk Vật Lí 12 - CTST
- Giải sgk Hóa học 12 - CTST
- Giải sgk Sinh học 12 - CTST
- Giải sgk Lịch Sử 12 - CTST
- Giải sgk Địa Lí 12 - CTST
- Giải sgk Giáo dục KTPL 12 - CTST
- Giải sgk Tin học 12 - CTST
- Giải sgk Hoạt động trải nghiệm 12 - CTST
- Giải sgk Âm nhạc 12 - CTST
- Lớp 12 Cánh diều
- Soạn văn 12 Cánh diều (hay nhất)
- Soạn văn 12 Cánh diều (ngắn nhất)
- Giải sgk Toán 12 Cánh diều
- Giải sgk Vật Lí 12 - Cánh diều
- Giải sgk Hóa học 12 - Cánh diều
- Giải sgk Sinh học 12 - Cánh diều
- Giải sgk Lịch Sử 12 - Cánh diều
- Giải sgk Địa Lí 12 - Cánh diều
- Giải sgk Giáo dục KTPL 12 - Cánh diều
- Giải sgk Tin học 12 - Cánh diều
- Giải sgk Công nghệ 12 - Cánh diều
- Giải sgk Hoạt động trải nghiệm 12 - Cánh diều
- Giải sgk Giáo dục quốc phòng 12 - Cánh diều
- Giải sgk Âm nhạc 12 - Cánh diều


Giải bài tập SGK & SBT
Tài liệu giáo viên
Sách
Khóa học
Thi online
Hỏi đáp

