60 câu trắc nghiệm Dao động và sóng điện từ có lời giải (nâng cao - phần 2)
Với 60 câu trắc nghiệm Dao động và sóng điện từ có lời giải chi tiết sẽ giúp học sinh ôn tập, biết cách làm câu trắc nghiệm Dao động và sóng điện từ.
60 câu trắc nghiệm Dao động và sóng điện từ có lời giải (nâng cao - phần 2)
(199k) Học Vật Lí 12 KNTTHọc Vật Lí 12 CDHọc Vật Lí 12 CTST
Bài 1: Khi mắc tụ điện có điện dung C1 với cuộn cảm L thì tần số dao động của mạch là f1 = 6kHz. Khi mắc tụ điện có điện dung C2 với cuộn L thì tần số dao động của mạch là f2 = 8kHz. Khi mắc C1 song song C2 với cuộn L thì tần số dao động của mạch là:
A. 4,8kHz. B. 7kHz. C. 10kHz. D. 14kHz.
Lời giải:
Chọn A.
Tần số dao động của mạch là:
Mắc C1 song song C2 → C = C1 + C2
Bài 2: Khi mắc tụ điện có điện dung C1 với cuộn cảm L thì tần số dao động của mạch là f1 = 6kHz. Khi mắc tụ điện có điện dung C2 với cuộn L thì tần số dao động của mạch là f2 = 8kHz. Khi mắc nối tiếp C1 và C2 với cuộn L thì tần số dao động của mạch là:
A. 4,8kHz. B. 7kHz. C. 10kHz. D. 14kHz.
Lời giải:
Chọn C.
Tần số dao động của mạch là:
Mắc C1 nối tiếp C2
→ f2 = f12 + f22 → f = 10Hz.
Bài 3: Một mạch dao động gồm tụ điện C = 0,5μF và cuộn dây L = 5mH, điện trở thuần của cuộn dây là R = 0,1Ω. Để duy trì dao động trong mạch với hiệu điện thế cực đại trên tụ là 5V ta phải cung cấp cho mạch một công suất là:
A. 0,125μW. B. 0,125mW. C. 0,125W. D. 125W.
Lời giải:
Chọn B.
Khi hiệu điện thế cực đại trên tụ là 5V thì cường độ dòng điện hiệu dụng trong mạch là:
Công suất tiêu thụ trong mạch là P = RI2 = 1,25.10-4W = 0,125mW.
Muốn duy trì dao động trong mạch thì cứ sau mỗi chu kì dao động ta phải cung cấp một phần năng lượng bằng phần năng lượng đã bị mất tức là ta phải cung cấp một công suất đúng bằng 0,125mW.
Bài 4: Ăng ten sử dụng một mạch dao động LC lý tưởng để thu sóng điện từ, trong đó cuộn dây có L không đổi, tụ điện có điện dung C thay đổi được. Mỗi sóng điện từ đều tạo ra trong mạch dao động một suất điện động cảm ứng, xem rằng các sóng điện từ có biên độ cảm ứng từ đều bằng nhau. Khi điện dung của tụ điện C1 = 1μF thì suất điện động cảm ứng hiệu dụng trong mạch do sóng điện từ tạo ra là E1 = 4,5μV, khi điện dung của tụ điện C2 = 9μF thì suất điện động cảm ứng hiệu dụng do sóng điện từ tạo ra là:
A. E2 = 1,5 μV. B. E2 = 2,25 μV.
C. E2 = 13,5 μV. D. E2 = 9 μV.
Lời giải:
Chọn A.
Từ thông xuất hiện trong mạch Φ = NBScosωt. Suất điện động cảm ứng xuất hiện:
với là tần số góc của mạch dao động,
là suất điện động hiệu dụng xuất hiện trong mạch.
Bài 5: Mạch dao động điện từ lí tưởng gồm cuộn thuần cảm và hai tụ điện giống nhau mắc nt hai bản của một tụ được nối với nhau bằng một khóa K. Ban đầu khóa K mở, cung cấp năng lượng cho mạch dao động thì điện áp cực đại giữa 2 đầu cuộn dây là 8√6 V. Sau đó đúng vào lúc thời điểm dòng điện qua cuộn dây có cường độ bằng giá trị hiệu dụng thì đóng khóa K. Điện áp cực đại giữa 2 đầu cuộn dây sau khi K đóng:
A. 12V. B. 14V. C. 16V. D. 18V.
Lời giải:
Chọn A.
Gọi C là điện dung của mỗi tụ, U0 là điện áp cực đại giữa 2 đầu cuộn dây trước khi đóng K (= điện áp cực đại của bộ tụ)
→ Điện dung của bộ 2 tụ ghép nối tiếp là: Cb = C/2.
Năng lượng ban đầu của mạch:
Ngay tại thời điểm: , ta có:
Năng lượng của cuộn cảm:
Năng lượng của tụ điện:
Ngay sau khi đóng khóa K, một trong hai tụ bị đoản mạch (giả sử tụ C2), phóng năng lượng ra ngoài.
Năng lượng của mạch dao động sau khi đóng khoá K là:
Bài 6: Mạch dao động điện từ gồm cuộn dây có độ tự cảm L và hai tụ điện giống hệt nhau ghép nối tiếp. Mạch dao động với hiệu điện thế cực đại ở hai đầu cuộn dây là U0, vào lúc năng lượng điện trường trên bộ tụ bằng năng lượng từ trường trong cuộn dây thì người ta nối tắt một tụ. Hiệu điện thế cực đại trong mạch là bao nhiêu?
Lời giải:
Chọn A.
Tương tự câu 37. Ta có:
Năng lượng ban đầu của mạch:
(Ở đây WC1 = WC2, do 2 tụ giống nhau).
Vào lúc , nối tắt một tụ (giả sử tụ C = 2), năng lượng của mạch sau đó là:
Do đó:
Bài 7: Hai tụ điện C1 = C2 mắc song song. Nối hai đầu bộ tụ với ắcqui có suất điện động E = 6V để nạp điện cho các tụ rồi ngắt ra và nối với cuộn dây thuần cảm L để tạo thành mạch dao động. Sau khi dao động trong mạch đã ổn định, tại thời điểm dòng điện qua cuộn dây có độ lớn bằng một nữa giá trị dòng điện cực đại, người ta ngắt khóa K để cho mạch nhánh chứa tụ C2 hở. Kể từ đó, hiệu điện thế cực đại trên tụ còn lại C1 là:
A. 3√3. B. 3. C. 3√5. D. √2.
Lời giải:
Chọn C
Gọi C0 là điện dung của mỗi tụ điện.
Năng lượng của mạch dao động khi chưa ngắt tụ C2 là:
Khi , năng lượng từ trường
, khi đó năng lượng điện trường
→ Năng lượng điện trường của mỗi tụ là: WC1 = WC2 = 13,5C0.
Sau khi ngắt một tụ năng lượng còn lại của mạch là:
W = WL +WC1 = 22,5C0 mà
Bài 8: Mạch chọn sóng của một máy thu vô tuyến gồm một cuộn dây và một tụ xoay. Điện trở thuần của mạch là R (R có giá trị rất nhỏ). Điều chỉnh điện dung của tụ điện đến giá trị C0 để bắt được sóng điện từ có tần số góc ω. Sau đó xoay tụ một góc nhỏ để suất điện động cảm ứng có giá trị hiệu dụng không đổi nhưng cường độ hiệu dụng của dòng điện trong mạch thì giảm xuống n lần. Hỏi điện dung của tụ thay đổi một lượng bao nhiêu?
A. 2nRωC0. B. nRωC02. C. 2nRωC02. D. nRωC0.
Lời giải:
Chọn B.
Để bắt được sóng điện từ tần số góc ω, cần phải điều chỉnh tụ điện C đến giá trị C0 thì trong mạch dao động điện từ có hiện tượng cộng hưởng:
Suất điện động xuất hiện trong mạch có giá trị hiệu dụng E.
→ Khi C = C0 + ΔC
→ Tổng trở tăng lên (với ΔC là độ biến dung của tụ điện).
Cường độ hiệu dụng trong mạch
Vì R rất nhỏ nên R2 ≈ 0 và tụ xoay một góc nhỏ nên C0 + ΔC ≈ C0.
→ ΔC = nRωC02.
Bài 9: Mạch chọn sóng của một máy thu thanh gồm cuộn dây thuần cảm có độ tự cảm L = 2,9μH và tụ điện có điện dung C = 490pF. Để máy thu được dải sóng từ λm = 10m đến λM = 50m, người ta ghép thêm một tụ xoay CV biến thiên từ Cm = 10pF đến CM = 490pF. Coi tụ xoay có điện dung tụ xoay phụ thuộc theo hàm bậc nhất với góc xoay. Muốn mạch thu được sóng có bước sóng λ = 20m, thì phải xoay các bản di động của tụ CV từ vị trí ứng với điện dung cực đại CM một góc α là:
A. 170o. B. 172o. C. 168o. D. 165o.
Lời giải:
Chọn C.
Khi chưa mắc tụ xoay sóng mà máy có thể thu được
Để thu được dải sóng từ λm = 10m đến λM = 50m cần phải giảm điện dung của tụ, cần phải mắc nối tiếp thêm tụ xoay Cv.
Điện dung của bộ tụ:
Để thu được sóng có bước sóng λ = 20m,
→ α = 31,55/2,67 = 12o tính từ vị trí ứng với Cm.
Nếu tính từ vị trí ứng với điện dung cực đại CM thì góc xoay là β = 168o.
Bài 10: Một mạch dao động gồm cuộn thuần cảm L và hai tụ C1 = 2C2 mắc nối tiếp, (hình vẽ). Mạch đang hoạt động thì ta đóng khóa K ngay tại thời điểm năng lượng trong cuộn cảm triệt tiêu. Năng lượng toàn phần của mạch sau đó sẽ:
A. không đổi. B. giảm còn 1/3.
C. giảm còn 2/3. D. giảm còn 4/9.
Lời giải:
Chọn B.
Gọi Q0 là điện tích cực đại trong mạch.
Năng lượng ban đầu của mạch:
Khi năng lượng cuộn cảm triệt tiêu q = Q0 = q1 = q2 (2 tụ ghép nối tiếp).
Ta có W0 = WC1 + WC2 và:
Khi đóng khóa K thì năng lượng toàn phần của mạch:
Bài 11: Mạch dao động LC đang thực hiện dao động điện từ tự do với chu kỳ T. Tại thời điểm nào đó dòng điện trong mạch có cường độ 8π (mA) và đang tăng, sau đó khoảng thời gian 3T/4 thì điện tích trên bản tụ có độ lớn 2.10-9 C. Chu kỳ dao động điện từ của mạch bằng:
A. 0,5 ms. B. 0,25ms. C. 0,5μs. D. 0,25s.
Lời giải:
Chọn C.
Tại thời điểm t1 bất kỳ, ta luôn có q1 và i1 vuông pha nhau.
Tại thời điểm t1 + 3T/4, q1 và q2 vuông pha nhau
Từ (1) và (2)
→ ω = 4π.106 (rad/s).
→ T = 2π/ω = 0,5.10-6 (s) = 0,5μs.
Bài 12: Một mạch dao động LC lí tưởng gồm cuộn thuần cảm L và hai tụ điện C giống nhau mắc nối tiếp. Mạch đang hoạt động thì ngay tại thời điểm năng lượng điện trường trong tụ gấp đôi năng lượng từ trường trong cuộn cảm, một tụ bị đánh thủng hoàn toàn. Điện áp cực đại hai đầu cuộn cảm đó sẽ bằng bao nhiêu lần so với lúc đầu?
A. 2/3. B. 1/3. C. 1/√3. D. 2/√3.
Lời giải:
Chọn C.
Gọi U0 là điện áp cực đại lúc đầu giữa hai đầu cuộn cảm cũng chính là điện áp cực đại giữa hai đầu bộ tụ; C là điện dung của mỗi tụ. Hai tụ ghép nối tiếp → Cb = C/2
Năng lượng ban đầu của mạch dao động:
Khi năng lượng điện trường trong tụ gấp đôi năng lượng từ trường trong cuộn cảm, thì WC1 + WC2 = 2WL.
Khi một tụ (giả sử tụ C1) bị đánh thủng hoàn toàn thì năng lượng của mạch:
Mặt khác:
Bài 13: Trong mạch dao động LC lí tưởng đang có dao động điện từ tự do. Thời gian ngắn nhất giữa hai lần liên tiếp năng lượng từ trường bằng ba lần năng lượng điện trường là 10-4s. Thời gian giữa ba lần liên tiếp dòng điện trên mạch có giá trị lớn nhất là:
A. 3.10-4s. B. 9.10-4s. C. 6.10-4s. D. 2.10-4s.
Lời giải:
Chọn C.
Sử dụng vòng tròn biểu thị dao động điều hòa cho điện tích q, ta thấy thời gian ngắn nhất giữa hai lần liên tiếp năng lượng từ trường bằng ba lần năng lượng điện trường là Δt = T/6.
→ T = 6.10-4 s.
Thời gian giữa ba lần liên tiếp dòng điện trên mạch có giá trị cực đại chính là chu kì T dao động của mạch.
Bài 14: Một tụ xoay có điện dung tỉ lệ theo hàm bậc nhất với góc quay các bản tụ. Tụ có giá trị điện dung C biến đổi giá trị C1 = 120pF đến C2 = 600pF ứng với góc quay của các bản tụ là α các bản tăng dần từ 20o đến 180o. Tụ điện được mắc với một cuộn dây thuần cảm có hệ số tự cảm L = 2μH để làm thành mạch dao động ở lối vào của một máy thu vô tuyến điện. Để bắt được sóng 58,4m phải quay các bản tụ thêm một góc α là bao nhiêu tính từ vị trí điện dung C bé nhất.
A. 40o. B. 60o. C. 120o. D. 140o.
Lời giải:
Chọn C.
Tụ xoay có điện dung tỉ lệ theo hàm bậc nhất với góc quay các bản tụ nên điện dung của tụ điện:
Bài 15: Mạch chọn sóng của một máy thu vô tuyến gồm cuộn cảm thuần có độ tự cảm L và một bộ tụ gồm tụ C0 cố định ghép song song với tụ xoay Cx. Tụ xoay Cx có điện dung biến thiên từ C1 = 20pF đến C2 = 320pF khi góc xoay biến thiên từ được từ 0o đến 150o. Nhờ vậy mạch thu được sóng điện từ có bước sóng từ λ1 = 10m đến λ2 = 40m. Biết điện dung của tụ xoay là hàm bậc nhất của góc xoay. Để mạch thu được sóng điện từ có bước sóng λ = 20m thì góc xoay của bản tụ là:
A. 30o. B. 45o. C. 75o. D. 60o.
Lời giải:
Chọn A.
Áp dụng công thức:
Điện dung của tụ xoay là hàm bậc nhất của góc xoay nên ta có:
Điện dung của bộ tụ: CB = C0 + Cx.
Vì điện dung C tỷ lệ với λ2, nên ta có dãy tỷ số:
→ C0 = 0,2.102 – 20 = 0.
→ CB = Cx = 0,2. 400 = 80 pF.
Mà Cx = 20 + 2α = 80 → α = 30o.
Bài 16: Một tụ xoay gồm 10 tấm, diện tích đối diện giữa 2 bản là S = 3,14cm2, khoảng cách giữa 2 tấm liên tiếp là d = 0,5mm, giữa các bản là không khí. Tụ này được mắc vào 2 đầu của 1 cuộn dây thuần cảm có L = 5mH. Bước sóng điện từ mà khung này thu được là:
A. 933,5m. B. 471m. C.1885m. D. 942,5m.
Lời giải:
Chọn D.
Điện dung của một tụ:
Điện dung của bộ tụ xoay:
(gồm 9 tụ mắc song song).
Bước sóng điện từ mà khung này thu được:
Bài 17: Hai tụ điện C1 = 3C0 và C2 = 6C0 mắc nối tiếp. Nối hai đầu bộ tụ với pin có suất điện động E = 3V để nạp điện cho các tụ rồi ngắt ra và nối với cuộn dây thuần cảm L tạo thành mạch dao động điện từ tự do. Tại thời điểm dòng điện qua cuộn dây có độ lớn bằng một nửa giá trị dòng điện đạt cực đại, thì người ta nối tắt hai cực của tụ C1. Điện áp cực đại trên tụ C2 của mạch dao động sau đó:
Lời giải:
Chọn A.
Điện dung của bộ tụ C = 2C0. Điện tích của bộ tụ Q0 = E.C = 6C0.
Năng lượng ban đầu của mạch:
Năng lượng của hai tụ khi đó:
Mặt khác khi hai tụ mắc nối tiếp:
Sau khi nối tắt tụ C1 năng lượng của mạch LC2 là: W = WL + WC2 = 4,5C0.
Mặt khác:
Bài 18: Một tụ điện xoay có điện dung tỉ lệ thuận với góc quay các bản tụ. Tụ có giá trị điện dung C biến đổi giá trị C1 = 10pF đến C2 = 490pF ứng với góc quay của các bản tụ là α các bản tăng dần từ 0o đến 180o. Tụ điện được mắc với một cuộn dây có hệ số tự cảm L = 2μH để làm thành mạch dao động ở lối vào của 1 một máy thu vô tuyến điện. Để bắt được sóng 19,2m phải quay các bản tụ một góc α là bao nhiêu tính từ vị trí điện dung C bé nhất.
A. 51,9o. B. 19,1o. C. 15,7o. D. 17,5o.
Lời giải:
Chọn C.
Điện dung của tụ điện:
(α là góc quay kể từ C1 = 10 pF)
→ α = 15,7o.
Bài 19: Ba mạch dao động điện từ LC lí tưởng đang có dao động điện từ tự do với các cường độ dòng điện tức thời trong ba mạch lần lượt là i1 = 4√2cos4000πt (mA), i2 = 4cos(4000πt + 0,75π) (mA) và i3 = 3cos(4000πt + 0,25π) (mA). Tổng điện tích trên ba bản tụ trong ba mạch ở cùng một thời điểm có giá trị lớn nhất bằng:
Lời giải:
Chọn D.
Sử dụng số phức dạng lượng giác, dùng máy tính Casio fx 570VN Plus ta được:
Bài 20: Hai mạch dao động điện từ LC lí tưởng đang có dao động điện từ tự do với các cường độ dòng điện tức thời trong hai mạch là i1 và i2 được biểu diễn như hình vẽ. Tổng điện tích của hai tụ điện trong hai mạch ở cùng một thời điểm có giá trị lớn nhất bằng:
Lời giải:
Chọn A.
Từ đồ thị ta được:
Sử dụng số phức dạng lượng giác, dùng máy tính Casio fx 570VN Plus ta được:
Bài 21: Khi mắc tụ điện có điện dung C với cuộn cảm thuần có độ tự cảm L1 để làm mạch dao động thì tần số dao động riêng của mạch là 20 MHz. Khi mắc tụ C với cuộn cảm thuần L2 thì tần số dao động riêng của mạch là 30 MHz. Nếu mắc tụ C với cuộn cảm thuần có độ tự cảm L3 = 4L1 + 7L2 thì tần số dao động riêng của mạch là:
A. 7,5 MHz. B. 6 MHz. C. 4,5 MHz. D. 8 MHz.
Lời giải:
Chọn A.
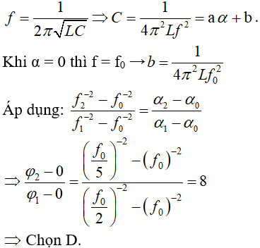
Bài 22: Một mạch dao động gồm một cuộn cảm thuần có độ tự cảm xác định và một tụ điện là tụ xoay, có điện dung thay đổi được theo quy luật hàm số bậc nhất của góc xoay α của bản linh động. Khi α = 0o, tần số dao động riêng của mạch là f0. Khi α = φ1, tần số dao động riêng của mạch là f0/2. Khi α = φ2, tần số dao động riêng của mạch là f0/5. Chọn phương án đúng.
A. 8φ2 = 3φ1. B. 3φ2 = φ1.
C. 3φ2 = 8φ1. D. φ2 = 8φ1.
Lời giải:
Chọn D.
Bài 23: Một mạch dao động LC lí tưởng gồm tụ điện có điện dung C và cuộn cảm thuần có độ tự cảm L. Nối hai cực của nguồn điện một chiều có suất điện động E và điện trở trong r vào hai đầu cuộn cảm. Sau khi dòng điện trong mạch ổn định, cắt nguồn thì mạch LC dao động hiệu điện thế cực đại giữa hai bản tụ là U0. Biết L = 25r2C. Tính tỉ số U0 và E.
A. 10. B. 100. C. 5. D. 25.
Lời giải:
Chọn C.
Nối hai cực của nguồn điện một chiều có suất điện động E và điện trở trong r vào hai đầu cuộn cảm. Sau khi dòng điện trong mạch ổn định ta được I0 = E/r.
Áp dụng công thức:
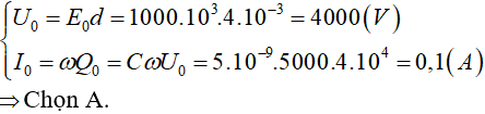
Bài 24: Trong mạch dao động LC lý tưởng, tụ điện phẳng có điện dung 5 nF, khoảng cách giữa hai bản tụ điện là 4 mm. Điện trường giữa hai bản tụ điện biến thiên theo thời gian với phương trình: E = 1000cos5000t (kV/m) (với t đo bằng giây). Cường độ dòng điện cực đại là:
A. 0,1 A. B. 1,5/√3 mA. C. 15/√3 mA. D. 0,1 mA.
Lời giải:
Chọn A.
Ta có:
Bài 25: Cho mạch điện như hình vẽ: C = 500 pF; L = 0,2 mH; E = 1,5 V, lấy π2 ≈ 10. Tại thời điểm t = 0, khóa K chuyển từ (1) sang (2). Thiết lập công thức biểu diễn sự phụ thuộc của điện tích trên tụ điện C vào thời gian.
Lời giải:
Chọn D.
Điện tích cực đại trên tụ Q0 = CU0 = C.E = 0,75.10-9 C.
Vì lúc đầu q = +Q0 nên q = 7,5cos(1000000πt) = 7,5sin(1000000πt + π/2) (nC)
⇒ Chọn D.
Bài 26: Một mạch dao động gồm một tụ điện có điện dung C và cuộn cảm có độ tự cảm L = 0,1 mH, điện trở thuần của mạch bằng không. Biết biểu thức dòng điện trong mạch là i = 0,04cos(2.107t) (A). Biểu thức hiệu điện thế giữa hai bản tụ là:
Lời giải:
Chọn B.
Ta có:
Bài 27: Cho một mạch dao động LC lí tưởng điện tích trên một bản 1 của tụ điện biến thiên theo thời gian với phương trình: q = Q0cos(ωt + φ). Lúc t = 0 năng lượng điện trường đang bằng 3 lần lần năng lượng từ trường, điện tích trên bản 1 đang giảm (về độ lớn |q|) và đang có giá trị âm. Giá trị φ có thể bằng:
A. π/6. B. -π/6. C. -5π/6. D. 5π/6.
Lời giải:
Chọn C.
Ta có:
Vì lúc t = 0, điện tích trên bản 1 đang giảm (về độ lớn |q|) và đang có giá trị âm nên:
Bài 28: Trong một mạch dao động LC lí tưởng, tụ điện có điện dung C và cuộn cảm thuần có độ tự cảm L. Dòng điện trong mạch có giá trị cực đại I0. Trong khoảng thời gian từ cường độ dòng điện qua cuộn cảm bằng không đến lúc đạt giá trị cực đại, điện lượng đã phóng qua cuộn dây là:
A. 2I0(LC)0,5. B. I0(LC)0,5. C. 2I0(LC). D. I0(LC).
Lời giải:
Chọn B.
Điện lượng đã phóng qua cuộn dây là:
Bài 29: Mạch dao động LC có tụ phẳng không khí hình tròn bán kính 48 cm cách nhau 4 cm phát ra sóng điện từ có bước sóng 100 m. Nếu đưa vào giữa hai bản tụ một tấm điện môi phẳng song song và cùng kích thước với hai bản có hằng số điện môi ε = 7, bề dày 2 cm ghét sát vào một bản thì phát ra sóng có bước sóng là:
A. 100 m. B. 100√2 m. C. 50√7 m. D. 175 m.
Lời giải:
Chọn C.
Nếu ghép sát vào một bản tụ một tấm điện môi có hằng số điện môi ε có bề dày bằng x phần trăm bề dày của lớp không khí và các yếu tố khác không đổi thì bộ tụ C gồm hai tụ C1, C2 ghép nối tiếp:
Bước sóng mạch thu được:
Bài 30: Tại bưu điện huyện Hoằng Hóa, Thanh Hóa có một máy đang phát sóng điện từ coi biên độ sóng không đổi khi truyền đi với cảm ứng từ cực đại là B0 = 0,15T và cường độ điện trường cực đại là 10 V/m. Xét một phương truyền có phương thẳng đứng hướng lên. Vào thời điểm t, tại điểm M trên phương truyền, vectơ cảm ứng từ có:
A. độ lớn 0,06T và hướng về phía Tây.
B. độ lớn 0,06T và hướng về phía Đông.
C. độ lớn 0,09T và hướng về phía Đông.
D. độ lớn 0,09T và hướng về phía Bắc.
Lời giải:
Chọn C.
Trong sóng điện từ thì dao động của điện trường và của từ trường tại một điểm luôn luôn đồng pha với nhau nên luôn có:
Sóng điện từ là sóng ngang: E→⊥ B→⊥ C→ (theo đúng thứ tự hợp thành tam diện thuận). Khi quay từ E→ sang B→ thì chiều tiến của đinh ốc là c→.
Ngửa bàn tay phải theo hướng truyền sóng (hướng thẳng đứng dưới lên), ngón cái hướng theo E→ thì bốn ngón hướng theo B→.
(199k) Học Vật Lí 12 KNTTHọc Vật Lí 12 CDHọc Vật Lí 12 CTST
Xem thêm các dạng bài tập Vật Lí lớp 12 có trong đề thi Tốt nghiệp THPT khác:
Đã có app VietJack trên điện thoại, giải bài tập SGK, SBT Soạn văn, Văn mẫu, Thi online, Bài giảng....miễn phí. Tải ngay ứng dụng trên Android và iOS.
Theo dõi chúng tôi miễn phí trên mạng xã hội facebook và youtube:Nếu thấy hay, hãy động viên và chia sẻ nhé! Các bình luận không phù hợp với nội quy bình luận trang web sẽ bị cấm bình luận vĩnh viễn.
- Giải Tiếng Anh 12 Global Success
- Giải sgk Tiếng Anh 12 Smart World
- Giải sgk Tiếng Anh 12 Friends Global
- Lớp 12 Kết nối tri thức
- Soạn văn 12 (hay nhất) - KNTT
- Soạn văn 12 (ngắn nhất) - KNTT
- Giải sgk Toán 12 - KNTT
- Giải sgk Vật Lí 12 - KNTT
- Giải sgk Hóa học 12 - KNTT
- Giải sgk Sinh học 12 - KNTT
- Giải sgk Lịch Sử 12 - KNTT
- Giải sgk Địa Lí 12 - KNTT
- Giải sgk Giáo dục KTPL 12 - KNTT
- Giải sgk Tin học 12 - KNTT
- Giải sgk Công nghệ 12 - KNTT
- Giải sgk Hoạt động trải nghiệm 12 - KNTT
- Giải sgk Giáo dục quốc phòng 12 - KNTT
- Giải sgk Âm nhạc 12 - KNTT
- Giải sgk Mĩ thuật 12 - KNTT
- Lớp 12 Chân trời sáng tạo
- Soạn văn 12 (hay nhất) - CTST
- Soạn văn 12 (ngắn nhất) - CTST
- Giải sgk Toán 12 - CTST
- Giải sgk Vật Lí 12 - CTST
- Giải sgk Hóa học 12 - CTST
- Giải sgk Sinh học 12 - CTST
- Giải sgk Lịch Sử 12 - CTST
- Giải sgk Địa Lí 12 - CTST
- Giải sgk Giáo dục KTPL 12 - CTST
- Giải sgk Tin học 12 - CTST
- Giải sgk Hoạt động trải nghiệm 12 - CTST
- Giải sgk Âm nhạc 12 - CTST
- Lớp 12 Cánh diều
- Soạn văn 12 Cánh diều (hay nhất)
- Soạn văn 12 Cánh diều (ngắn nhất)
- Giải sgk Toán 12 Cánh diều
- Giải sgk Vật Lí 12 - Cánh diều
- Giải sgk Hóa học 12 - Cánh diều
- Giải sgk Sinh học 12 - Cánh diều
- Giải sgk Lịch Sử 12 - Cánh diều
- Giải sgk Địa Lí 12 - Cánh diều
- Giải sgk Giáo dục KTPL 12 - Cánh diều
- Giải sgk Tin học 12 - Cánh diều
- Giải sgk Công nghệ 12 - Cánh diều
- Giải sgk Hoạt động trải nghiệm 12 - Cánh diều
- Giải sgk Giáo dục quốc phòng 12 - Cánh diều
- Giải sgk Âm nhạc 12 - Cánh diều


Giải bài tập SGK & SBT
Tài liệu giáo viên
Sách
Khóa học
Thi online
Hỏi đáp

