Các dạng bài tập Tổng hợp giao động điều hòa có lời giải
Các dạng bài tập Tổng hợp giao động điều hòa có lời giải
(199k) Xem Khóa học Vật Lí 12 KNTTXem Khóa học Vật Lí 12 CDXem Khóa học Vật Lí 12 CTST
Phần Tổng hợp giao động điều hòa Vật Lí lớp 12 với 2 dạng bài tập chọn lọc giúp ôn thi Tốt nghiệp môn Vật Lí và trên 100 bài tập trắc nghiệm có lời giải. Vào Xem chi tiết để theo dõi các dạng bài Tổng hợp giao động điều hòa hay nhất tương ứng.
- Lý thuyết Tổng hợp hai dao động điều hòa cùng phương cùng tần số - Phương pháp giản đồ Fre-nen Xem chi tiết
- Bài tập Tổng hợp dao động điều hòa ôn thi Tốt nghiệp (có lời giải) Xem chi tiết
Dạng 2: Tìm điều kiện để biên độ A, A1, A2 đạt cực đại, cực tiểu
50 bài tập trắc nghiệm Tổng hợp dao động điều hòa có lời giải (phần 1)
50 bài tập trắc nghiệm Tổng hợp dao động điều hòa có lời giải (phần 2)
Công thức, cách giải bài tập Tổng hợp dao động điều hòa
A. Phương pháp & Ví dụ
1. Biểu diễn dao động điều hòa bằng véc-tơ quay
Xét một véc tơ quay ngược chiều kim đồng hồ quanh gốc O, có đặc điểm:
• Độ dài vec tơ bằng A.
• Tốc độ quay ω.
• Ban đầu hợp với trục Ox góc φ.
Khi đó, hình chiếu P của ngọn véc tơ xuống trục Ox biểu diễn một dao động điều hòa x = Acos(ωt + φ).
2. Tổng hợp 2 dao động điều hòa cùng phương, cùng tần số
Khi vật tham gia đồng thời nhiều dao động cùng tần số thì dao động của vật là dao động tổng hợp. Giả sử một vật tham gia đồng thời hai dao động :
x1 = A1cos(ωt + φ1)
x2 = A2cos(ωt + φ2)
Khi đó dao động tổng hợp có dạng x = Acos(ωt + φ). Hai cách tính :
• Nếu cùng biên độ thì cộng lượng giác x = x1 + x2 (ít gặp).
• Nếu biên độ khác nhau thì nên sử dụng biểu diễn véc tơ quay để tổng hợp các dao động điều hòa cùng phương cùng tần số:
Phương pháp véc tơ quay:
A2 = A12 + A22 + 2A1A2cos(φ2 – φ1)
Nếu véc tơ :
• Cùng pha ⇒Amax = A1 + A2, φ = φ1 = φ2.
• Ngược pha ⇒Amin = |A1 – A2|. Nếu A1 > A2 ⇒φ = φ1; nếu A1 < A2 ⇒ φ = φ2.
• Vuông pha ⇒ A2 = A12 + A22.
• Khi A1 và A2 xác định, φ1 và φ2 chưa biết, ta luôn có |A1 – A2| ≤ A ≤ |A1 + A2|
3. Sử dụng máy tính giải bài toán tổng hợp phương trình dao động
4. Ví dụ
Ví dụ 1: Một vật thực hiện đồng thời 2 dao động điều hòa x1 = 3cos(4πt + π/6) cm và x2 = 3cos(4πt + π/2) cm. Hãy xác định dao động tổng hợp của hai dao động trên?
A. x = 3√3cos(4πt + π/6) cm B. x = 3√3cos(4πt + π/3) cm
C. x = 3√3cos(4πt + π/3) cm D. x = 3cos(4πt + π/3) cm
Lời giải:
Ta có: dao động tổng hợp có dạng: x = Acos(ωt + φ) cm
Trong đó:
Phương trình dao động cần tìm là x = 3√3cos(4πt + π/3) cm
Ví dụ 2: Một vật thực hiện đồng thời 2 dao động điều hòa với biên độ lần lượt là 3 cm và 5 cm. Trong các giá trị sau giá trị nào không thể là biên độ của dao động tổng hợp.
A. 4 cm B. 5 cm C. 3cm D. 10 cm
Lời giải:
Ta có: |A1 - A2 | ≤ A ≤ A1 + A2
⇒ 2 cm ≤ A ≤ 8 cm
Ví dụ 3: Một vật thực hiện hai dao động điều hòa với phương trình lần lượt là x1 = 4cos(6πt + π/3); x2 = cos(6πt + π) cm. Hãy xác định vận tốc cực đại mà dao động có thể đạt được.
A. 54π cm/s B. 6π cm/s C. 45cm/s D. 9π cm/s
Lời giải:
Ta có: Vmax = A.ω ⇒ Vmax khi Amax Với Amax = 9 cm khi hai dao động cùng pha
⇒ Vmax = 9.6π = 54π cm/s.
Ví dụ 4: Một chất điểm dao động điều hoà có phương trình dao động tổng hợp x = 5√2 cos(πt + 5π/12) với các dao động thành phần cùng phương, cùng tần số là x1 = A1 cos(πt + π1) và x2 = 5cos(πt + π/6 ), pha ban đầu của dao động 1 là:
A. φ1 = 2π/3 B. φ1= π/2 C.φ1 = π/4 D. φ1= π/3
Lời giải:
B. Bài tập trắc nghiệm
Câu 1. Cho hai dao động điều hoà cùng phương có phương trình dao động lần lượt là x1 = 3√3sin(5πt + π/2)(cm) và x2 = 3√3sin(5πt - π/2)(cm). Biên độ dao động tổng hợp của hai dao động trên bằng
A. 0 cm B. 3 cm C. 63 cm D. 33 cm
Lời giải:
Hai dao động trên ngược pha nhau vì Δφ = φ2-φ1 = -π nên biên độ dao động tổng hợp sẽ là: A = |A2 - A1| = 0.
Câu 2. Chuyển động của một vật là tổng hợp của hai dao động điều hòa cùng phương. Hai dao động này có phương trình lần lượt là x1 = 3cos10t (cm) và x2 = 4sin(10t + π/2)(cm). Gia tốc của vật có độ lớn cực đại bằng
A. 7 m/s2 B. 3 m/s2 C. 6 m/s2 D. 13 m/s2
Lời giải:
Đưa phương trình li độ của dao động thứ 2 về dạng chuẩn theo cos: x2 = 4sin(10t + π/2) = 4cos(10t)
Từ đây ta thấy rằng: hai dao động trên cùng pha vì thế biên độ dao động tổng hợp: A = A1 + A2 = 3 + 4 = 7 (cm)
Gia tốc có độ lớn cực đại: amax = ω2A = 100.7 = 700 cm/s2 = 7 m/s2
Câu 3. Dao động của một chất điểm có khối lượng 100 g là tổng hợp của hai dao động điều hòa cùng phương, có phương trình li độ lần lượt là x1 = 5cos(10t) và x2 = 10cos(10t) (x1 và x2 tính bằng cm, t tính bằng s). Mốc thế năng ở vị trí cân bằng. Cơ năng của chất điểm bằng
A. 0,1125 J B. 225 J C. 112,5 J D. 0,225 J
Lời giải:
Hai dao động trên cùng pha vì thế biên độ dao động tổng hợp: A = A1 + A2 = 5 + 10 = 15 cm
Cơ năng của chất điểm: E = (1/2).m.ω2A2 = (1/2). 0,1. 102.0,152 = 0,1125 J
Câu 4. Chuyển động của một vật là tổng hợp của hai dao động điều hòa cùng phương. Hai dao động này có phương trình lần lượt là x1 = 4cos(10t + π/4)(cm) và x2 = 3cos(10t - 3π/4)(cm). Độ lớn vận tốc của vật ở vị trí cân bằng là
A. 100 cm/s B. 50 cm/s
C. 80 cm/s D. 10 cm/s
Lời giải:
Ta có: Δφ = φ2-φ1 = (-3π/4)-π/4 = -π ⇒ hai dao động trên ngược pha
Biên độ dao động tổng hợp: A = |A1 - A2| = 1 cm
Vận tốc của ở VTCB là: vVTCB = vmax = ωA = 10.1 = 10 cm/s . Chọn D
Câu 5. Dao động của một vật là tổng hợp của hai dao động cùng phương có phương trình lần lượt là x1 = Acosωt và x2 = Asinωt. Biên độ dao động của vật là
A. √3A B. A C. √2A D. 2A
Lời giải:
Chuyển phương trình của thành phần thứ 2 về dạng chuẩn theo cos: x2 = Asinωt = Acos(ωt - π/2)
Câu 6. Một vật tham gia đồng thời hai dao động điều hòa cùng phương, cùng tần số có biên độ bằng nhau và bằng A nhưng pha ban đầu lệch nhau π/3 rad. Dao động tổng hợp có biên độ là
A. 1 A B. √2A C. 2A D. √3A
Lời giải:
Biên độ dao động tổng hợp:
Theo bài ra thì hai dao động lệch pha nhau π/3 nên cos(φ1 - φ2) = cos(π/3) = 1/2
Vì thế biên độ dao động sẽ là:
Câu 7. Một vật thực hiện đồng thời 2 dao động điều hoà cùng phương, cùng tần số có phương trình: x1 = √3cos(ωt - π/2) cm, x2 = cos(ωt) cm. Phương trình dao động tổng hợp:
A. x = 2√2cos(4πt - π/4) cm
B. x = 2√2cos(4πt + 3π/4) cm
C. x = 2cos(4πt - π/3) cm
D. x = 2cos(4πt + π/3) cm
Lời giải:
Câu 8. Một vật tham gia đồng thời ba dao động điều hòa cùng phương với các phương trình: x1 = 5cos5πt (cm); x2 = 3cos(5πt + π/2) (cm) và x3 = 8cos(5πt - π/2) (cm). Xác định phương trình dao động tổng hợp của vật.
A. x = 5√2cos(5πt - π/4) cm
B. x = 5√2cos(5πt + 3π/4) cm
C. x = 5cos(5πt - π/3) cm
D. x = 5cos(5πt + 2π/3) cm
Lời giải:
Cách 1: Ta có: x1 = 3sin(5πt + π/2) (cm) = 3cos5πt (cm)
x2 và x3 ngược pha nên: A23 = 8 - 3 = 5 ⇒ x23 = 5cos(5πt - π/2) (cm)
x1 và x23 vuông pha. Vậy: x = x1 + x2 + x3 = 5√2cos(5πt - π/4) (cm)
Cách 2: Với máy FX570ES:
Câu 9. Dao động tổng hợp của hai dao động điều hòa cùng phương có biểu thức x = 5√3cos(6πt + π/2) (cm). Dao động thứ nhất có biểu thức là x1 = 5cos(6πt + π/3)(cm). Tìm biểu thức của dao động thứ hai.
A. x2 = 5√2cos(6πt - π/4) cm
B. x2 = 5√2cos(6πt + 3π/4) cm
C. x2 = 5cos(6πt - π/3) cm
D. x2 = 5cos(6πt + 2π/3) cm
Lời giải:
Cách 1:
Cách 2: Với máy FX570ES :
Câu 10. Một chất điểm tham gia đồng thời 2 dao động điều hòa cùng phương trên trục Ox có phương trình x1 = 2√3sinωt (cm) và x2 = A2cos(ωt + φ2) (cm). Phương trình dao động tổng hợp x = 2cos(ωt + φ)(cm), với φ2 - φ = π/3. Biên độ và pha ban đầu của dao động thành phần 2 là:
A. A2 = 4 cm; φ2 = π/6
B. A2 = 4 cm; φ2 = π/3
C. A2 = 2√3 cm; φ2 = π/4
D. A2 = 4√3 cm; φ2 = π/3
Lời giải:
Viết lại phương trình dao động của thành phần 1:
Câu 11. Cho hai dao động điều hoà cùng phương: x1 = 2cos(4t + φ1)cm và x2 = 2cos(4t + φ2)cm. Với 0 ≤ φ2 - φ1 ≤ π. Biết phương trình dao động tổng hợp x = 2 cos (4t + π/6) cm. Pha ban đầu φ1 là:
A. π/2 B. -π/3 C. π/6 D. -π/6
Lời giải:
Câu 12. Dao động tổng hợp của hai dao động điều hòa cùng phương, cùng tần số có phương trình li độ x = 3cos(πt – 5π/6) (cm). Biết dao động thứ nhất có phương trình li độ x1 = 5cos(πt + π/6) (cm). Dao động thứ hai có phương trình li độ là
A. x2 = 8cos(πt + π/6) cm
B. x2 = 2cos(πt + π/6) cm
C. x2 = 2cos(πt – 5π/6) cm
D. x2 = 8cos(πt – 5π/6) cm
Lời giải:
Nhận xét: ta thấy biên độ và pha đều cho rõ ràng nên cách giải nhanh nhất là dùng máy tính.
Câu 13. Một chất điểm tham gia đồng thời hai dao động có các phương trình: x1 = A1cos(ωt + π/2) (cm); x2 = 5 cos(ωt + φ)(cm). Phương trình dao động tổng hợp là x = 5√3cos(ωt + π/3). Giá trị của A1 bằng
A. 5,0 cm hoặc 2,5 cm.
B. 2,5√3 cm hoặc 2,5 cm
C. 5,0 cm hoặc 10 cm
D. 2,5√3 cm hoặc 10 cm
Lời giải:
Áp dụng định lý hàm số cosin cho tam giác OA1A
Câu 14. Một chất điểm tham gia đồng thời hai dao động có các phương trình: x1 = A1cos(ωt + π/2) (cm); x2 = 5 cos(ωt + φ)(cm). Phương trình dao động tổng hợp là x = 5√3cos(ωt + π/3). Giá trị của A1 bằng
A. 5,0 cm hoặc 2,5 cm.
B. 2,5√3 cm hoặc 2,5 cm
C. 5,0 cm hoặc 10 cm
D. 2,5√3 cm hoặc 10 cm
Lời giải:
Câu 15. Cho hai dao động điều hoà cùng phương: x1 = 2cos(4t + φ1)cm và x2 = 2cos(4t + φ2)cm. Với 0 ≤ φ2 - φ1 ≤ π. Biết phương trình dao động tổng hợp x = 2cos(4t + π/6) cm. Pha ban đầu φ1 là:
A. π/2 B. -π/3 C. π/6 D. -π/6
Lời giải:
Chọn D
Cách tìm điều kiện để biên độ A, A1, A2 đạt cực đại, cực tiểu
A. Phương pháp & Ví dụ
1. Phương pháp
- Dựng các véc tơ A1, A2, A hoặc xây dựng được các biểu thức thể hiện mối quan hệ giữa đại lượng cần đánh giá cực trị với các đại lượng khác.
- Dựa vào yêu cầu của bài toán áp dụng định lí Sin trong tam giác
Hoặc sử dụng các bất đẳng thức như cosin, Bunhiacopxki, cực trị của hàm số để suy ra điều kiện cần tìm.
- Áp dụng các hệ thức lượng trong tam giác để tính toán kết quả.
2. Ví dụ
Ví dụ 1: Câu 18 – ĐH2012 – M371. Cho x1 = A1cos(πt + π/6) cm và x2 = 6cos(πt – π/2) cm là phương trình của hai dao động cùng phương. Dao động tổng hợp của hai dao động này có phương trình x = Acos(πt + φ) cm. Thay đổi A1 cho đến khi biên độ A đạt giá trị cực tiểu thì
A. φ = 0 rad. B. φ = –π/3 rad. C. φ = –π/6 rad. D. φ = π rad.
Lời giải:
Ví dụ 2: Một chất điểm tham gia đồng thời hai dao động cùng phương. Phương trình ly độ của các dao động thành phần và dao động tổng hợp lần lượt là x1 = A1cos(ωt) cm; x2 = 3cos(ωt + α) cm; và x = Acos(ωt+ π/6) cm. Biên độ dao động A1 có giá trị lớn nhất là
A. 9 cm. B. 6 cm. C. 8 cm. D. 12 cm.
Lời giải:
Ví dụ 3: Một chất điểm tham gia đồng thời hai dao động điều hòa cùng phương, cùng tần số, có phương trình là x1 = A1cos(ωt – π/3) và x2 = A2cos(ωt + π/3). Dao động tổng hợp có biên độ 4√3 cm. Khi A1 đạt giá trị cực đại thì A2 có giá trị là
A. 2 cm. B. 3 cm. C. 5 cm. D. 4 cm.
Lời giải:
Khi A1 đạt giá trị cực đại
Độ lệch pha Δφ = π/3 – (-π/3) = 2π/3.
Áp dụng định lí hàm số sin trong tam giác OAA1:
B. Bài tập trắc nghiệm
Câu 1. Hai dao động cùng phương lần lượt có phương trình x1 = A1cos(πt + π/6)(cm) và x2 = 6cos(πt - π/2) (cm). Dao động tổng hợp của hai dao động này có phương trình x = Acos(πt + φ) (cm). Thay đổi A1 cho đến khi biên độ A đạt giá trị cực tiểu thì
A. φ = -π/6 rad B. φ = π rad
C. φ = -π/3 rad D. φ = 0 rad
Lời giải:
Vẽ giản đồ như hình vẽ.
Theo định lí hàm sin:
⇒ A đạt giá trị cực tiểu khi sin(π/6 - φ) = 1
Do đó φ = -π/3
Câu 2. Cho hai phương trình dao động điều hòa cùng phương cùng tần số có phương trình x1 = A1cos(4πt - π/6) cm và x2 = A2cos(4πt - π) cm. Phương trình dao động tổng hợp x = 9cos(4πt - φ) cm. Biết biên độ A2 có giá trị cực đại. Giá trị của A1 và phương trình dao động tổng hợp là:
A. x = 9√2cos(4πt - π/4) cm
B. x = 9√2cos(4πt + 3π/4) cm
C. x = 9cos(4πt - 2π/3) cm
D. x = 9cos(4πt + π/3) cm
Lời giải:
Vẽ giản đồ vectơ
Dựa vào giản đồ vectơ. Áp đụng định lý hàm số sin
Từ (1) ⇒ khi α = 90°: A2 = A/(1/2) = 2A = 18 cm
Tam giác OAA2 vuông tại A, nên ta có:
Xác định pha ban đầu tổng hợp
Dựa vào giản đồ vec tơ: φ = π/2 + π/6 = 2π/3
Vậy phương trình dao động tổng hợp là: C. x = 9cos(4πt - 2π/3) cm
Câu 3. Hai dao động điều hoà cùng phương, cùng tần số có phương trình dao động x1 = A1cos(ωt + π/3) cm và x2 = A2cos(ωt - π/2) cm. Phương trình dao động tổng hợp của hai dao động này là: x = 6cos(ωt + φ) cm. Biên độ A1 thay đổi được. Thay đổi A1 để A2có giá trị lớn nhất. Tìm A2max?
A. 16 cm B. 14 cm C. 18 cm D. 12 cm
Lời giải:
Độ lệch pha giữa 2 dao động: Δφ = 5π/6 rad không đổi.
Biên độ của dao động tổng hợp A = 6 cm cho trước.
Biểu diễn bằng giản đồ vectơ như hình vẽ
Ta có:
Vì α, A không đổi nên A2 sẽ lớn nhất khi sinβ lớn nhất tức là góc β = 90°.
Khi đó
Câu 4. Một vật thực hiện đồng thời hai dao động điều hòa cùng phương, theo các phương trình x1 = 3cos(4t + π/2) cm và x2 = A2cos(4t) cm. Biết khi động năng của vật bằng một phần ba năng lượng dao động thì vật có tốc độ 8√3 cm/s. Biên độ A2 bằng
A. 1,5 cm B. 3 cm C. 3√2 cm D. 3√3 cm.
Lời giải:
Ta có
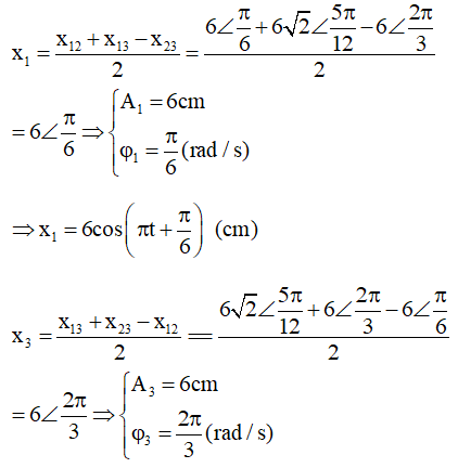
Câu 5. Một vật thực hiện đồng thời 3 dao động điều hòa cùng phương cùng tần số có phương trình là x1, x2, x3. Biết x12 = 6cos(πt + π/6) cm; x23 = 6cos(πt + 2π/3) cm; x13 = 6√2cos(πt + π/4) cm. Khi li độ của dao động x1 đạt giá trị cực đại thì li độ của dao động x3 là:
A. 0 cm B. 3 cm C. 3√2 cm D. 3√6 cm
Lời giải:
Ta thấy x3 sớm pha hơn x1 góc π/2 ⇒ x1 max thì x3 = 0.
Câu 6. Hai vật dao động điều hòa với phương trình x1 = A1cos20πt (cm), x2 = A2cos20πt (cm). Tính từ thời điểm ban đầu, thì cứ sau 0,125s thì khoảng cách 2 vật lại bằng A1. Biên độ A2 là
Lời giải:
+ Điều kiện để khoảng cách giữa hai vật là A1 thì A2 > A1, lúc đó phương trình khoảng cách: Δx = x2 – x1 = (A2 – A1)cos20πt1 (⋇)
+ Ở thời điểm t1 + 0,125s có:
(A2 – A1)cos20π(t1 + 0,125) = A1 ⇔ (A2 – A1)cos(20πt1 + 2,5π) = A1 (⋇⋇)
+ Từ (⋇) và (⋇⋇): tan20πt1 = 1 ⇒ tan20πt1 = √2/2 thay vào (⋇) ta có được:
Câu 7. Hai chất điểm M và N dao động điều hòa cùng chu kì T = 4s dọc theo hai đường thẳng song song kề nhau và song song với trục Ox. Vị trí cân bằng của M và N đều ở trên cùng một đường thẳng qua gốc tọa độ và vuông góc với Ox. Trong quá trình dao động, khoảng cách lớn nhất giữa M và N theo phương Ox là 10 cm. Tại thời điểm t1 hai vật đi ngang qua nhau, hỏi sau thời gian ngắn nhất là bao nhiêu kể từ thời điểm t1 khoảng cách giữa chúng bằng 5√2 cm
A. 1 s B. 1/3 s C. 1/2 s D. 1/6 s
Lời giải:
+ Chọn gốc thời gian là thời điểm hai vật đi ngang qua nhau thì phương trình khoảng cách giữa hai vật có thể chọn Δx = x2 - x1 = 10sin(0,5πt) cm
+ Thời gian ngắn nhất để hai vật cách nhau 5 cm là thời gian ngắn nhất đi từ Δx = 0 đến Δx = 5 cm là: T/8 = 1/2 s.
Câu 8. Cho hai phương trình dao động điều hòa cùng phương cùng tần số có phương trình x1 = A1cos(4πt - π/6) cm và x2 = A2cos(4πt - π) cm. Phương trình dao động tổng hợp x = 9cos(4πt - φ) cm. Biết biên độ A2 có giá trị cực đại. Giá trị của A1; A2 và φ là:
A. A1 = 9√3 cm; A2 = 18 cm; φ = -2π/3 rad
B. A1 = 9 cm; A2 = 9√3 cm; φ = π/3 rad
C. A1 = 9√3 cm; A2 = 9 cm; φ = 2π/3 rad
D. A1 = 9 cm; A2 = 18 cm; φ = -π/3 rad
Lời giải:
Độ lệch pha giữa thành phần tổng hợp với
Thành phần thứ hai: φ - φ2 = -π/3 + π/2 = π/6
Theo định lý hàm sin:
Ta lại có: A12 = A2 + A22 - 2AA2cos(φ - φ2) ⇔ A22 - 2A1A2cos(π/6) = 0
⇒ A2 = √3A1 = 10√3 cm. Chọn A.
Câu 9. (ĐH 2014) Cho hai dao động điều hòa cùng phương với các phương trình lần lượt là x1 = A1cos(ωt + 0,35) cm và x2 = A2cos(ωt - 1,57) cm . Dao động tổng hợp của hai dao động này có phương trình là x = 20cos(ωt + φ). Giá trị cực đại của (A1 + A2) gần giá trị nào nhất sau đây?
A. 25 cm B. 20 cm C. 40 cm D. 35 cm
Lời giải:
Theo bài ra:
Áp dụng định lí hàm số sin:
⇒ ΔOMB cân tại M
. Chọn D
Câu 10. (Trích đề thi thử chuyên Hà Tĩnh lần 2 năm 2013): Dao động tổng hợp của hai dao động điều hòa cùng phương, cùng tần số có biên độ bằng trung bình cộng của hai biên độ thành phần và lệch pha so với dao động thành phần thứ nhất là 90°. Độ lệch pha của hai dao động thành phần đó là:
A. 120° B. 126,9° C. 105° D. 143,1°
Lời giải:
Câu 10
Áp dụng định lý hàm sin:
Chọn B
Một vật thực hiện đồng thời 3 dao động điều hòa cùng phương cùng tần số có phương trình là x1, x2, x3. Biết x12 = 6cos(πt + π/6) cm; x23 = 6cos(πt + 2π/3) cm; x13 = 6√2cos(πt + 5π/12) cm. Tính x biết x2 = x12 + x32
A. 6√2 cm B. 12 cm C. 24 cm D. 6√3 cm
Lời giải:
Câu 11
Sử dụng máy tính fx 570Es (plus) ta được:
Chọn A
Câu 12. Cho ba vật dao động điều hòa cùng tần số, cùng khối lượng, dao động trên những trục song song kề nhau và song song với trục Ox với phương trình lần lượt x1 = Acos(ωt + φ1) cm, x2 = Acos(ωt + φ2) cm và x3 = Acos(ωt + φ3) cm. Biết tại mọi thời điểm thì động năng của chất điểm thứ nhất luôn bằng thế năng của chất điểm thứ hai và li độ của ba chất điểm thỏa mãn hệ thức -x12 = x2.x3. Tại thời điểm mà khoảng cách giữa x2 và x3 bằng 2A/√3 thì tỉ số giữa động năng của chất điểm thứ nhất so với chất điểm thứ ba là
A. 9/11 B. 11/9 C. 9/4 D. 4/9
Lời giải:
+ Ta có Eđ1 = Et2 ⇔ mω2(A2 - x12) = mω2x22 ⇔ x12 + x22 = A2
+ Tại mọi thời điểm : -x12 = x2.x3 ⇒ x22 - A2 = x2x3 ⇔ x2(x2 - x3) = A2
+ Khi khoảng cách giữa hai chất điểm 2 và 3 là 2A/√3 ta có :
Chọn A
Câu 13. Một chất điểm tham gia đồng thời ba dao động điều hòa có phương trình x1 = 2cos(ωt) cm; x2 = 2cos(ωt + φ2) cm và x3 = 2cos(ωt + φ3) cm với φ3 ≠ φ2 và 0 ≤ φ3; φ2 ≤ π. Dao động tổng hợp của x1 và x2 có biên độ là 2 cm, dao động tổng hợp của x1 và x3 có biên độ 2√3 cm. Độ lệch pha giữa hai dao động x2 và x3 là
A. 5π/6 B. π/3 C. π/2 D. 2π/3
Lời giải:
Nhận thấy biên độ các dao động thành phần bằng nhau nên:
Chọn B
Câu 14. Hai vật dao động điều hòa cùng phương, cùng tần số có phương trình lần lượt là x1 = A1cos(ωt + φ1) và x2 = A2cos(ωt + φ2). Gọi x(+) = x1 + x2 và x(-) = x1 - x2. Biết rằng biên độ dao động của x(+) gấp 3 lần biên độ dao động của x(-). Độ lệch pha cực đại giữa x1 và x2 gần nhất với giá trị nào sau đây ?
A. 50° B. 40° C. 30° D. 60°
Lời giải:
+ Ta có:
+ Mà: A(+) = 3A(-) ⇒ 20A1A2cosΔφ = 8(A12 + A22) ≥ 16A12
Vậy giá trị gần nhất với Δφmax là 40°. Chọn B
Câu 15. (Chuyên Lương Văn Tụy – Ninh Bình lần 2/2016) Ba chất điểm M1, M2 và M3 dao động điều hòa trên ba trục tọa độ song song cách đều nhau với các gốc tọa độ tương ứng O1, O2 và O3 như hình vẽ. Khoảng cách giữa hai trục tọa độ liên tiếp là a = 2 cm. Biết rằng phương trình dao động của M1 và M2 là x1 = 3cos2πt (cm) và x2 = 1,5cos(2πt + π/3) (cm). Ngoài ra, trong quá trình dao động, ba chất điểm luôn luôn thẳng hàng với nhau. Khoảng cách lớn nhất giữa hai chất điểm M1 và M3 gần giá trị nào nhất sau đây?
A. 6,56 cm
B. 5,20 cm
C. 5,57 cm
D. 5,00 cm
Lời giải:
+ Điều kiện để 3 chất điểm luôn thẳng hàng là: x2 = (x1 + x3)/2
+ Khoảng cách cực đại giữa hai chất điểm M1 và M3 là:
Chọn A
Câu 16. Một vật tham gia đồng thời hai dao động điều hoà cùng phương, cùng tần số và có dạng phương trình x1 = √3cos(4t + φ1) cm, x2 = 2cos(4t + φ2) cm với 0 ≤ φ1 − φ2 ≤ π. Biết phương trình dao động tổng hợp x = cos(4t + π/6) cm. Giá trị φ1 là
A. 2π/3 B. –π/6 C. π/6 D. −2π/3
Lời giải:
Ta có 1 = 3 + 4 + 2(√3).2.cosΔφ
⇒ Δφ = 5π/6 = φ1 - φ2
⇒ φ2 = φ1 - 5π/6
Bài tập bổ sung
Câu 1: Xét 2 dao động điều hòa cùng phương, cùng tần số có phương trình dao động cm, cm. Pha ban đầu của dao động tổng hợp là:
A. 0,5
B. 0
C. -0,5
D.
Câu 2: Dao động của một vật là tổng hợp của hai dao động cùng phương có phương trình lần lượt là x1 = Acosωt và x2 = Asinωt. Biên độ dao động của vật là
A. √3 A
B. 1 A
C. √2 A
D. 2 A
Câu 3: Cho hai dao động điều hòa cùng phương, cùng tần số, lệch pha nhau với biên độ A1 và A2. Dao động tổng hợp của hai dao động trên có biên độ là
A. √|A12 - A22|
B. √A12 + A22
C. A1 + A2
D. |A1 – A2|
Câu 4: Một vật thực hiện đồng thời hai dao động điều hòa cùng phương, cùng tần số có biên độ lần lượt là 6cm và 10cm. Biên độ dao động tổng hợp có thể là:
A. 2cm
B. 3cm
C. 5cm
D. 19cm
Câu 5: Hai dao động điều hòa cùng phương, cùng tần số có biên độ lần lượt là A1 = 8cm, A2 = 15cm và lệch pha nhau . Dao động tổng hợp của hai dao động này có biên độ bằng:
A. 7 cm
B. 23 cm
C. 17 cm
D. 11 cm
Câu 6: Hai dao động điều hòa lần lượt có phương trình cm và cm. Phát biểu nào sau đây là đúng?
A. Dao động thứ hai sớm pha hơn dao động thứ nhất một góc .
B. Dao động thứ hai trễ pha hơn dao động thứ nhất một góc .
C. Dao động thứ nhất trễ pha hơn dao động thứ hai một góc .
D. Dao động thứ nhất sớm pha hơn dao động thứ hai một góc .
Câu 7: Hai dao động điều hòa cùng phương, cùng tần số, lệch nhau một góc 0,5, dọc theo trục tọa độ Ox. Các vị trí cân bằng cùng có tọa độ x = 0. Tại thời điểm t, li độ của các dao động lần lượt là x1 = 4cm, x2 = 3cm, khi đó li độ của dao động tổng hợp bằng
A. 7 cm
B. 3 cm
C. 5 cm
D. 1 cm
Câu 8: Một vật tham gia đồng thời hai dao động cùng phương, cùng tần số có biên độ lần lượt là A1 = 3 cm và A2 = 4 cm. Biên độ của dao động tổng hợp không thể nhận giá trị nào sau đây?
A. 5,7 cm
B. 1 cm
C. 7,5 cm
D. 5 cm
Câu 9: Một vật thực hiện đồng thời ba dao động điều hòa cùng phương, cùng tần số có phương trình . Phương trình dao động tổng hợp của vật là:
A.
B.
C.
D.
Câu 10: Hai dao động điều hòa cùng phương, cùng tần số có biên độ lần lượt là A1 = 3cm, A2 = 4cm và lệch pha nhau . Dao động tổng hợp của hai dao động này có biên độ bằng:
A. 3√2 cm
B. 3,2 cm
C. 5 cm
D. 7 cm
(199k) Xem Khóa học Vật Lí 12 KNTTXem Khóa học Vật Lí 12 CDXem Khóa học Vật Lí 12 CTST
Xem thêm các dạng bài tập Vật Lí lớp 12 ôn thi Tốt nghiệp có lời giải hay khác:
- Tổng hợp Lý thuyết Chương Dao động cơ
Chủ đề: Dao động tắt dần, dao động cưỡng bức, dao động duy trì
Đã có app VietJack trên điện thoại, giải bài tập SGK, SBT Soạn văn, Văn mẫu, Thi online, Bài giảng....miễn phí. Tải ngay ứng dụng trên Android và iOS.
Theo dõi chúng tôi miễn phí trên mạng xã hội facebook và youtube:Nếu thấy hay, hãy động viên và chia sẻ nhé! Các bình luận không phù hợp với nội quy bình luận trang web sẽ bị cấm bình luận vĩnh viễn.
- Giải Tiếng Anh 12 Global Success
- Giải sgk Tiếng Anh 12 Smart World
- Giải sgk Tiếng Anh 12 Friends Global
- Lớp 12 Kết nối tri thức
- Soạn văn 12 (hay nhất) - KNTT
- Soạn văn 12 (ngắn nhất) - KNTT
- Giải sgk Toán 12 - KNTT
- Giải sgk Vật Lí 12 - KNTT
- Giải sgk Hóa học 12 - KNTT
- Giải sgk Sinh học 12 - KNTT
- Giải sgk Lịch Sử 12 - KNTT
- Giải sgk Địa Lí 12 - KNTT
- Giải sgk Giáo dục KTPL 12 - KNTT
- Giải sgk Tin học 12 - KNTT
- Giải sgk Công nghệ 12 - KNTT
- Giải sgk Hoạt động trải nghiệm 12 - KNTT
- Giải sgk Giáo dục quốc phòng 12 - KNTT
- Giải sgk Âm nhạc 12 - KNTT
- Giải sgk Mĩ thuật 12 - KNTT
- Lớp 12 Chân trời sáng tạo
- Soạn văn 12 (hay nhất) - CTST
- Soạn văn 12 (ngắn nhất) - CTST
- Giải sgk Toán 12 - CTST
- Giải sgk Vật Lí 12 - CTST
- Giải sgk Hóa học 12 - CTST
- Giải sgk Sinh học 12 - CTST
- Giải sgk Lịch Sử 12 - CTST
- Giải sgk Địa Lí 12 - CTST
- Giải sgk Giáo dục KTPL 12 - CTST
- Giải sgk Tin học 12 - CTST
- Giải sgk Hoạt động trải nghiệm 12 - CTST
- Giải sgk Âm nhạc 12 - CTST
- Lớp 12 Cánh diều
- Soạn văn 12 Cánh diều (hay nhất)
- Soạn văn 12 Cánh diều (ngắn nhất)
- Giải sgk Toán 12 Cánh diều
- Giải sgk Vật Lí 12 - Cánh diều
- Giải sgk Hóa học 12 - Cánh diều
- Giải sgk Sinh học 12 - Cánh diều
- Giải sgk Lịch Sử 12 - Cánh diều
- Giải sgk Địa Lí 12 - Cánh diều
- Giải sgk Giáo dục KTPL 12 - Cánh diều
- Giải sgk Tin học 12 - Cánh diều
- Giải sgk Công nghệ 12 - Cánh diều
- Giải sgk Hoạt động trải nghiệm 12 - Cánh diều
- Giải sgk Giáo dục quốc phòng 12 - Cánh diều
- Giải sgk Âm nhạc 12 - Cánh diều


Giải bài tập SGK & SBT
Tài liệu giáo viên
Sách
Khóa học
Thi online
Hỏi đáp

