Dao động điện từ là gì ? Lý thuyết Dao động điện từ (đầy đủ, chi tiết nhất)
Bài viết Dao động điện từ là gì ? Lý thuyết Dao động điện từ hay, chi tiết giúp học sinh nắm vững kiến thức trọng tâm về Dao động điện từ là gì ? Lý thuyết Dao động điện từ.
Dao động điện từ là gì ? Lý thuyết Dao động điện từ (đầy đủ, chi tiết nhất)
(199k) Xem Khóa học Vật Lí 12 KNTTXem Khóa học Vật Lí 12 CDXem Khóa học Vật Lí 12 CTST
I. Dao động điện từ trong mạch LC
1. Mạch dao động
* Một cuộn cảm có độ tự cảm L mắc nối tiếp với tụ điện có điện dung C thành một mạch điện kín gọi là mạch dao động.
* Nếu điện trở của mạch rất nhỏ, coi như bằng không thì mạch là mạch dao động lí tưởng.
* Muốn cho mạch dao động hoạt động thì ta tích điện cho tụ điện rồi cho nó phóng điện trong mạch. Tụ điện sẽ phóng điện qua lại nhiều lần, tạo ra một dòng điện xoay chiều trong mạch.
* Người ta sử dụng điện áp xoay chiều được tạo ra giữa hai bản tụ điện bằng cách nối hai bản này với mạch ngoài.
2. Vai trò của cuộn cảm và tụ điện trong hoạt động mạch.
* Tụ điện có nhiệm vụ tích điện cho mạch, sau đó nó phóng điện qua lại trong mạch nhiều lần tạo ra một dòng điện xoay chiều trong mạch.
3. Dao động điện từ tự do trong mạch dao động.
a) Định luật biến thiên điện tích, hiệu điện thế và cường độ dòng điện trong một mạch dao động lí tưởng.
* Quy ước:
+ q là điện tích của bản cực bên trên (bản nối với A).
+ i > 0 nếu dòng điện chạy qua cuộn cảm cùng chiều với chiều dương được chọn trong mạch.
* Khảo sát:
Xét khoảng thời gian Δt vô cùng nhỏ thì dòng điện trong mạch thỏa mãn .
Trong cuộn dây có từ thông biến thiên làm phát sinh suất điện động tự cảm:
Cuộn cảm đóng vai trò như một máy thu, theo định luật Ôm đối với đoạn mạch chứa máy thu ta được: , mà R = 0 ⇒
, (2)
Từ (1) và (2)
Đặt
* Điện tích trên một bản tụ biến thiên theo biểu thức q = q0.cos(ωt + φq).
Với (rad/s): tần số góc, q0 (C): điện tích cực đại của tụ.
Khi t = 0 nếu q đang tăng (tụ điện đang tích điện) thì φq < 0; nếu q đang giảm (tụ điện đang phóng điện) thì φq > 0.
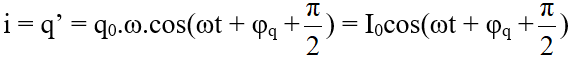
* Cường độ dòng điện chạy trong mạch dao động biến thiên điều hòa theo biểu thức:
với I0 = q0.ω.
Khi t = 0 nếu i đang tăng thì φi < 0; nếu i đang giảm thì φi > 0. Với:
* Điện áp trên tụ điện: .
Với: U0 (V) là hiệu điện thế cực đại giữa hai bản tụ.
Ta thấy φu = φq. Khi t = 0 nếu u đang tăng thì φu < 0; nếu u đang giảm thì φu > 0
Kết luận: “Điện tích q của một bản tụ điện và cường độ dòng điện i trong mạch dao động biến thiên điều hoà theo thời gian; i sớm pha π/2 so với q.”
Vì q đồng pha với u và q, u vuông pha với i nên ta luôn có hệ thức:
b) Dao động điện từ tự do.
* Dao động điện từ tự do: Sự biến thiên điều hoà theo thời gian của điện tích q của một bản tụ điện và cường độ dòng điện i (hoặc cường độ điện trường và cảm ứng từ
) trong mạch dao động được gọi là dao động điện từ tự do.
c) Chu kì dao động riêng của mạch dao động LC
Chu kì:
Tần số:
Chú ý: Các công thức mở rộng:
+
+ Khi tụ phóng điện thì q và u giảm và ngược lại.
+ Quy ước: q > 0 ứng với bản tụ ta xét tích điện dương thì i > 0 ứng với dòng điện chạy đến bản tụ mà ta xét.
+ Công thức độc lập với thời gian:
d) Bảng đơn vị chuẩn:
| L: độ tự cảm, đơn vị Henry | C: điện dung đơn vị là Fara | f: tần số đơn vị là Héc (Hz) |
|---|---|---|
II. Năng lượng điện từ trong mạch dao động LC:
* Năng lượng điện trường tập trung trong tụ điện:
* Năng lượng từ trường tập trung trong cuộn cảm:
Vậy: Năng lượng điện trường và năng lượng từ trường biến thiên tuần hoàn với tần số góc ω’ = 2ω và chu kì T'=T/2.
* Năng lượng điện từ trong mạch:
Như vậy trong mạch dao động LC lý tưởng thì năng lượng của mạch được bảo toàn.
III. Các phương pháp cung cấp năng lượng ban đầu cho mạch.
* Cách 1: Cấp năng lượng điện trường ban đầu
+ Ban đầu khóa k ở chốt (1), tụ điện được tích điện (nếu thời gian đủ dài) đến hiệu điện thế bằng suất điện động E của nguồn. Năng lượng điện mà tụ tích được là:
+ Chuyển khóa k sang chốt (2), tụ phóng điện qua cuộn dây. Năng lượng điện chuyển dần thành năng lượng từ trên cuộn dây. Như vậy hiệu điện thế cực đại trong quá trình dao động chính là hiệu điện thế ban đầu của tụ U0 = E, năng lượng điện ban đầu mà tụ tích được từ nguồn chính là năng lượng toàn phần (năng lượng điện từ) của mạch dao động.
* Cách 2: Cấp năng lượng từ trường ban đầu
+ Ban đầu khóa k đóng, dòng điện qua cuộn dây không đổi và có cường độ (định luật Ôm cho toàn mạch):
Năng lượng từ trường trên cuộn dây không đổi và bằng:
+ Cuộn dây không có điện trở thuần nên hiệu điện thế hai đầu cuộn dây (cũng chính là hiệu điện thế giữa hai bản tụ điện) bằng không. Tụ chưa tích điện. Khi ngắt khóa k, năng lượng từ của cuộn dây chuyển hóa dần thành năng lượng điện trên tụ điện...mạch dao động.
Như vậy, với cách kích thích dao động như thế này, năng lượng toàn phần (năng lượng điện từ) đúng bằng năng lượng từ ban đầu của cuộn dây, cường độ dòng điện cực đại trong mạch dao động đúng bằng cường độ dòng điện ban đầu qua cuộn dây .
IV. Dao động điện từ tắt dần
* Nguyên nhân: Do mạch có R ≠ 0, do sự bức xạ sóng điện từ ra không gian.
* Mạch dao động có điện trở thuần R ≠ 0 thì dao động sẽ tắt dần. R càng lớn thì sự tắt dần càng nhanh, R rất lớn thì không có dao động.
Để duy trì dao động cần cung cấp cho mạch một năng lượng có công suất:
Nhiệt lượng tỏa ra: Q = W trước - W sau.
V. Dao động điện từ duy trì. Hệ tự dao động
* Nguyên tắc duy trì: Phải bù cho mạch dao động một năng lượng đúng bằng năng lượng đã tiêu hao sau mỗi chu kì.
* Để làm việc này ta dùng một tranzito để điều khiển việc bù năng lượng từ pin cho mạch dao động LC ăn nhịp với từng chu kì dao động của mạch.
* Dao động trong khung LC được duy trì ổn định với tần số riêng ωO của mạch. Người ta gọi đây là một hệ tự dao động.
VI. Dao động điện từ cưỡng bức
Nếu tạo ra trong mạch dao động RLC một suất điện động xoay chiều có tần số góc ω (khác với tần số góc ω0 của mạch) thì trong mạch xuất hiện một dòng điện xoay chiều có tần số góc ω, tức là một dao động điện từ có tần số góc ω. Dao động điện từ này gọi là dao động điện từ cưỡng bức.
VII. Hiện tượng cộng hưởng điện từ
* Nếu tần số góc ω của suất điện động cưỡng bức bằng tần số dao động riêng của mạch LC thì tổng trở Z của mạch sẽ nhỏ nhất và bằng điện trở thuần của mạch : Zmin = R.
* Cường độ hiệu dụng của dòng điện xoay chiều (do đó biên độ của dao động điện từ) trong mạch sẽ lớn nhất. Đó là hiện tượng cộng hưởng điện từ.
* Nếu điện trở thuần R của mạch rất nhỏ thì cực đại của biên độ dao động cộng hưởng sẽ rất lớn so với biên độ ở những điểm lân cận. Sự cộng hưởng này gọi là sự cộng hưởng nhọn.
* Nếu điện trở thuần R của mạch rất lớn thì sự chênh lệch giữa biên độ dao động cộng hưởng với biên độ của các biên độ dao động điện từ cưỡng bức khác sẽ không lớn lắm. Sự cộng hưởng này gọi là sự cộng hưởng tù.
VII. Sự tương tự giữa dao động cơ và dao động điện từ:
(199k) Xem Khóa học Vật Lí 12 KNTTXem Khóa học Vật Lí 12 CDXem Khóa học Vật Lí 12 CTST
Xem thêm Tóm tắt lý thuyết Vật Lí lớp 12 ngắn gọn, chi tiết khác:
- Lý thuyết Điện từ trường là gì, ngắn gọn, chi tiết, đầy đủ
- Lý thuyết Sóng điện từ là gì, ngắn gọn, chi tiết, đầy đủ
- Lý thuyết Truyền thông bằng sóng điện từ là gì, ngắn gọn, chi tiết, đầy đủ
Đã có app VietJack trên điện thoại, giải bài tập SGK, SBT Soạn văn, Văn mẫu, Thi online, Bài giảng....miễn phí. Tải ngay ứng dụng trên Android và iOS.
Theo dõi chúng tôi miễn phí trên mạng xã hội facebook và youtube:Nếu thấy hay, hãy động viên và chia sẻ nhé! Các bình luận không phù hợp với nội quy bình luận trang web sẽ bị cấm bình luận vĩnh viễn.
- Giải Tiếng Anh 12 Global Success
- Giải sgk Tiếng Anh 12 Smart World
- Giải sgk Tiếng Anh 12 Friends Global
- Lớp 12 Kết nối tri thức
- Soạn văn 12 (hay nhất) - KNTT
- Soạn văn 12 (ngắn nhất) - KNTT
- Giải sgk Toán 12 - KNTT
- Giải sgk Vật Lí 12 - KNTT
- Giải sgk Hóa học 12 - KNTT
- Giải sgk Sinh học 12 - KNTT
- Giải sgk Lịch Sử 12 - KNTT
- Giải sgk Địa Lí 12 - KNTT
- Giải sgk Giáo dục KTPL 12 - KNTT
- Giải sgk Tin học 12 - KNTT
- Giải sgk Công nghệ 12 - KNTT
- Giải sgk Hoạt động trải nghiệm 12 - KNTT
- Giải sgk Giáo dục quốc phòng 12 - KNTT
- Giải sgk Âm nhạc 12 - KNTT
- Giải sgk Mĩ thuật 12 - KNTT
- Lớp 12 Chân trời sáng tạo
- Soạn văn 12 (hay nhất) - CTST
- Soạn văn 12 (ngắn nhất) - CTST
- Giải sgk Toán 12 - CTST
- Giải sgk Vật Lí 12 - CTST
- Giải sgk Hóa học 12 - CTST
- Giải sgk Sinh học 12 - CTST
- Giải sgk Lịch Sử 12 - CTST
- Giải sgk Địa Lí 12 - CTST
- Giải sgk Giáo dục KTPL 12 - CTST
- Giải sgk Tin học 12 - CTST
- Giải sgk Hoạt động trải nghiệm 12 - CTST
- Giải sgk Âm nhạc 12 - CTST
- Lớp 12 Cánh diều
- Soạn văn 12 Cánh diều (hay nhất)
- Soạn văn 12 Cánh diều (ngắn nhất)
- Giải sgk Toán 12 Cánh diều
- Giải sgk Vật Lí 12 - Cánh diều
- Giải sgk Hóa học 12 - Cánh diều
- Giải sgk Sinh học 12 - Cánh diều
- Giải sgk Lịch Sử 12 - Cánh diều
- Giải sgk Địa Lí 12 - Cánh diều
- Giải sgk Giáo dục KTPL 12 - Cánh diều
- Giải sgk Tin học 12 - Cánh diều
- Giải sgk Công nghệ 12 - Cánh diều
- Giải sgk Hoạt động trải nghiệm 12 - Cánh diều
- Giải sgk Giáo dục quốc phòng 12 - Cánh diều
- Giải sgk Âm nhạc 12 - Cánh diều


Giải bài tập SGK & SBT
Tài liệu giáo viên
Sách
Khóa học
Thi online
Hỏi đáp

