Tổng hợp Lý thuyết Chương 2: Sóng cơ và Sóng âm hay, chi tiết nhất
Dưới đây là phần tổng hợp kiến thức, công thức, lý thuyết Vật Lí lớp 12 ngắn gọn, chi tiết. Hi vọng tài liệu Lý thuyết Vật Lí lớp 12 theo chương này sẽ giúp bạn nắm vững kiến thức môn Vật Lí lớp 12.
Bài giảng: Bài 7: Sóng cơ và sự truyền sóng cơ - Cô Trần Thị Hạnh (Giáo viên VietJack)
Tổng hợp Lý thuyết Chương 2: Sóng cơ và Sóng âm
(199k) Xem Khóa học Vật Lí 12 KNTTXem Khóa học Vật Lí 12 CDXem Khóa học Vật Lí 12 CTST
- Lý thuyết Sóng cơ và sự truyền sóng cơ
- Lý thuyết Giao thoa sóng
- Lý thuyết Sóng dừng
- Lý thuyết Sóng âm
- Sóng cơ là gì ? Sóng dọc, sóng ngang, phương trình sóng hay, chi tiết
- Giao thoa sóng là gì ? Công thức, Phương trình giao thoa sóng chi tiết
- Sóng dừng là gì ? Cách xác định nút sóng, bụng sóng hay, chi tiết
- Sóng âm là gì ? Công thức, đặc trưng vật lí của sóng âm hay, chi tiết
Lý thuyết Sóng cơ và sự truyền sóng cơ
I) Sóng cơ:
- Khái niệm: sóng cơ là sự lan truyền truyền dao động cơ (năng lượng, trạng thái dao động) trong một môi trường.
Sóng cơ không làm lan truyền phân tử vật chất của môi trường.
Sóng cơ chỉ truyền được trong môi trường rắn, lỏng, khí, không truyền được trong chân không.
- VD: khi ném một hòn đá xuống mặt nước đang yên ả, trên mặt nước sẽ xuất hiện những gợn tròn lan rộn dần ra đó chính là sóng cơ.
- Phân loại: có 2 loại sóng là sóng dọc và sóng ngang.
So sánh giữa sóng dọc và sóng ngang
| Sóng ngang | Sóng dọc |
|
Các phân tử của môi trường dao động theo phương vuông góc với phương truyền sóng. Sóng ngang chỉ truyền được trong chất rắn và trên bề mặt chất lỏng. |
Các phần tử của môi trường dao động theo phương trùng với phương truyền sóng. Sóng dọc truyền trong môi trường rắn lỏng khí. |
|
VD: sóng trên mặt nước. |
VD: Kéo dãn lò xo dọc theo phương của nó rôi thả tay. |
II) Các đặc trưng của một sóng hình sin.
Với sóng hình sin: các phần tử môi trường sẽ dao động điều hòa.
- Biên độ A của sóng: là biên độ dao động của một phần tử môi trường có sóng truyền qua.
- Chu kỳ T của sóng: là chu kỳ dao đông của một phần tử môi trường có sóng truyền qua. (tính tuần hoàn về thời gian).
- Tốc độ truyền sóng v là tốc độ lan truyền dao động trong môi trường.
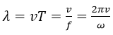
- Bước sóng λ: là quãng đường mà sóng truyền được trong một chu kỳ: ( tính tuần hoàn về không gian).
Sau một chu kỳ pha dao động lại bằng nhau, nên hai phân tử cách nhau một bước sóng thì đồng pha với nhau.
- Năng lượng sóng: là năng lượng dao động của các phần tử môi trường có sóng truyền qua.
III) Phương trình sóng:
* Xét một sóng hình sin đang lan truyền trong một môi trường theo trục Ox, sóng này phát ra từ gốc tọa độ O với phương trình dao động là uO = A cos(ωt + φ)
Để sóng truyền được đến M cách O một khoảng x cần 1 khoảng thời gian là ∆t = x/v
Do đó M bắt đâu dao động muộn hơn O một khoảng ∆t. Vì thế phương trình dao động của M là:
Phương trình trên được gọi là phương trình của một sóng hình sin truyền theo trục Ox, cho biết li độ u của một phân tử M có tọa độ x tại thời điểm t. Phương trình là một hàm tuần hoàn theo thời gian với chu kỳ là T, tuần hoàn theo không gian với chu kỳ là λ
Lý thuyết Giao thoa sóng
Bài giảng: Bài 8: Giao thoa sóng - Cô Trần Thị Hạnh (Giáo viên VietJack)
I) Hiện tượng giao thoa sóng
- Khái niệm: hiện tượng hai sóng gặp nhau tạo nên các gợn sóng ổn định gọi là hiện tượng giao thoa của hai sóng. Các gợn sóng có hình các đượng hypebol gọi là các vân giao thoa
- Giải thích: mỗi nguồn sóng S1, S2 đều phát ra các gợn sóng tròn xung quanh ( gợn lồi (đỉnh sóng) được biểu diễn bằng các đường tròn nét liền, (gợn lõm (hõm sóng) được biểu diễn bằng các đường tròn nét đứt). Ở trong miền hai sóng gặp nhau có những điểm 2 sóng gặp nhau tăng cường nhau tạo nên các đường hypebol nét đứt dao động rất mạnh gọi là cực đại giao thoa, cũng có những điểm 2 sóng gặp nhau triệt tiêu nhau tạo nên các đường hypebol nét đứt đứng yên gọi là cực tiểu giao thoa.
+) Dao động cùng phương, cùng tần số (chu kỳ).
+) Có hiệu số pha không đổi theo thời gian.
II) Phương trình dao động của một điểm trong vùng giao thoa.
Có 2 nguồn sóng kết hợp S1, S2 có phương trình dao động là: uS1 = uS2 = Acos(2πt/T).
* Xét Điểm M là một điểm trong vùng giao thoa, cách S1,S2 những khoảng lần lượt là: d1, d2. Tại M sẽ nhận được sóng truyền từ hai nguồn S1, S2 có phương trình lần lượt là:
Dao động của M sẽ là tổng hợp của hai dao động điều hòa trên
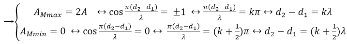
- Nhận xét: Dao động của M có biên độ là cho thấy tùy thuộc vào hiệu đường đi d2 - d1 mà M có biên ddoojdao động khác nhau.
III) Vị trí cực đại cực tiểu giao thoa.
Ta có
Cực đại giao thoa nằm tại các điểm có hiệu đường đi của hai sóng tới đó bằng một số nguyên lần bước sóng:
d2 - d1 = kλ (k = 0, ±1, ±2, ...)
Cực tiểu giao thoa nằm tại các điểm có hiệu đường đi của hai sóng tới đó bằng một số bán nguyên lần bước sóng:
d2 - d1 = (k + 1/2)λ (k = 0, ±1, ±2, ...)
Bài giảng: Bài 8: Giao thoa sóng - Thầy Lê Xuân Vượng (Giáo viên VietJack)
Bài giảng: Bài 8: Giao thoa sóng (tiếp) - Thầy Lê Xuân Vượng (Giáo viên VietJack)
(199k) Xem Khóa học Vật Lí 12 KNTTXem Khóa học Vật Lí 12 CDXem Khóa học Vật Lí 12 CTST
Xem thêm các dạng bài tập Vật Lí lớp 12 có trong đề thi tốt nghiệp THPT khác:
Đã có app VietJack trên điện thoại, giải bài tập SGK, SBT Soạn văn, Văn mẫu, Thi online, Bài giảng....miễn phí. Tải ngay ứng dụng trên Android và iOS.
Theo dõi chúng tôi miễn phí trên mạng xã hội facebook và youtube:Nếu thấy hay, hãy động viên và chia sẻ nhé! Các bình luận không phù hợp với nội quy bình luận trang web sẽ bị cấm bình luận vĩnh viễn.
- Giải Tiếng Anh 12 Global Success
- Giải sgk Tiếng Anh 12 Smart World
- Giải sgk Tiếng Anh 12 Friends Global
- Lớp 12 Kết nối tri thức
- Soạn văn 12 (hay nhất) - KNTT
- Soạn văn 12 (ngắn nhất) - KNTT
- Giải sgk Toán 12 - KNTT
- Giải sgk Vật Lí 12 - KNTT
- Giải sgk Hóa học 12 - KNTT
- Giải sgk Sinh học 12 - KNTT
- Giải sgk Lịch Sử 12 - KNTT
- Giải sgk Địa Lí 12 - KNTT
- Giải sgk Giáo dục KTPL 12 - KNTT
- Giải sgk Tin học 12 - KNTT
- Giải sgk Công nghệ 12 - KNTT
- Giải sgk Hoạt động trải nghiệm 12 - KNTT
- Giải sgk Giáo dục quốc phòng 12 - KNTT
- Giải sgk Âm nhạc 12 - KNTT
- Giải sgk Mĩ thuật 12 - KNTT
- Lớp 12 Chân trời sáng tạo
- Soạn văn 12 (hay nhất) - CTST
- Soạn văn 12 (ngắn nhất) - CTST
- Giải sgk Toán 12 - CTST
- Giải sgk Vật Lí 12 - CTST
- Giải sgk Hóa học 12 - CTST
- Giải sgk Sinh học 12 - CTST
- Giải sgk Lịch Sử 12 - CTST
- Giải sgk Địa Lí 12 - CTST
- Giải sgk Giáo dục KTPL 12 - CTST
- Giải sgk Tin học 12 - CTST
- Giải sgk Hoạt động trải nghiệm 12 - CTST
- Giải sgk Âm nhạc 12 - CTST
- Lớp 12 Cánh diều
- Soạn văn 12 Cánh diều (hay nhất)
- Soạn văn 12 Cánh diều (ngắn nhất)
- Giải sgk Toán 12 Cánh diều
- Giải sgk Vật Lí 12 - Cánh diều
- Giải sgk Hóa học 12 - Cánh diều
- Giải sgk Sinh học 12 - Cánh diều
- Giải sgk Lịch Sử 12 - Cánh diều
- Giải sgk Địa Lí 12 - Cánh diều
- Giải sgk Giáo dục KTPL 12 - Cánh diều
- Giải sgk Tin học 12 - Cánh diều
- Giải sgk Công nghệ 12 - Cánh diều
- Giải sgk Hoạt động trải nghiệm 12 - Cánh diều
- Giải sgk Giáo dục quốc phòng 12 - Cánh diều
- Giải sgk Âm nhạc 12 - Cánh diều


Giải bài tập SGK & SBT
Tài liệu giáo viên
Sách
Khóa học
Thi online
Hỏi đáp

