10+ Bài tập trắc nghiệm tổng hợp Âm học (có lời giải)
Với bài tập trắc nghiệm tổng hợp Âm học có lời giải chi tiết sẽ giúp học sinh ôn tập, biết cách làm bài tập Âm học.
10+ Bài tập trắc nghiệm tổng hợp Âm học (có lời giải)
(199k) Học KHTN 7 KNTTHọc KHTN 7 CDHọc KHTN 7 CTST
Bài 1: Chọn câu sai:
A. Tai người có thể nghe được âm có tần số trong một khoảng nhất định.
B. Đơn vị của tần số là Héc (Hz).
C. Các âm có độ cao khác nhau có tần số khác nhau.
D. Căn cứ vào tần số ta chưa thể so sánh được độ cao của âm.
Lời giải:
Độ cao phụ thuộc vào tần số. Âm càng cao thì tần số càng lớn và ngược lại ⇒ D sai ⇒ Chọn đáp án D.
Bài 2: Độ to của âm phụ thuộc vào yếu tố nào sau đây?
A. Thời gian dao động B. Tần số dao động
C. Biên độ dao động D. Tốc độ dao động
Lời giải:
Độ to của âm phụ thuộc vào biên độ dao động, biên độ dao động càng lớn âm càng to.
⇒ Chọn đáp án C.
Bài 3: Trong phòng kín ta thường nghe được âm to hơn khi ở ngoài trời là do:
A. Ở ngoài trời chỉ nghe được âm phát ra trực tiếp, còn ở trong phòng kín ta nghe được âm phát ra trực tiếp và âm phản xạ đến tai cùng một lúc.
B. Trong phòng kín tai chỉ nghe được âm phát ra nên nghe rõ và to hơn.
C. Trong phòng kín âm không lan truyền đi mất.
D. Tất cả đều đúng.
Lời giải:
Trong phòng kín ta thường nghe được âm to hơn khi ở ngoài trời là do ở ngoài trời chỉ nghe được âm phát ra trực tiếp, còn ở trong phòng kín ta nghe được âm phát ra trực tiếp và âm phản xạ đến tai cùng một lúc ⇒ Chọn đáp án A.
Bài 4: Khẳng định nào sau đây không đúng?
A. Vật dao động nhanh, tần số lớn, âm phát ra cao.
B. Vật dao động chậm, tần số âm nhỏ, âm phát ra càng bổng.
C. Vật dao động mạnh, biên độ lớn, âm phát ra to.
D. Vật dao động yếu, biên độ nhỏ, âm phát ra nhỏ.
Lời giải:
Vật dao động chậm, tần số âm nhỏ, âm phát ra thấp (âm trầm) ⇒ B sai
⇒ Chọn đáp án B.
Bài 5: Trong nhiều phòng hòa nhạc, phòng chiếu bóng, phòng ghi âm người ta thường làm tường sần sùi và treo rèm nhung để:
A. giảm tiếng vang B. tăng tiếng vang
C. âm bổng hơn D. âm trầm hơn
Lời giải:
Làm tường sần sùi, treo rèm nhung để hấp thụ âm tốt hơn nên giảm tiếng vang, âm nghe được rõ hơn ⇒ Chọn đáp án A.
Bài 6: Một vật dao động phát ra âm có tần số 50Hz và một vật khác dao động phát ra âm có tần số 70 Hz. Khẳng định nào sau đây là đúng?
A. Vật phát ra âm có tần số 70 Hz dao động nhanh hơn.
B. Vật phát ra âm có tần số 50 Hz có âm nhỏ hơn.
C. Vật phát ra âm có tần số 70 Hz có âm to hơn.
D. Vật phát ra âm có tần số 50 Hz bổng hơn.
Lời giải:
- Tần số càng lớn, vật dao động càng nhanh, âm càng bổng.
- Vật dao động càng mạnh, biên độ dao động càng lớn, âm càng to.
⇒ Chọn đáp án A.
Bài 7: Cho tốc độ truyền âm trong không khí là 340 m/s và trong nước là 1500 m/s. Tốc độ truyền âm trong chất rắn ở cùng điều kiện nhiệt độ không thể nhận giá trị nào sau đây?
A. 1000 m/s B. 6100 m/s C. 6420 m/s D. 5280 m/s
Lời giải:
Tốc độ truyền âm trong chất rắn lớn hơn trong chất lỏng, trong chất lỏng lớn hơn trong chất khí ⇒ tốc độ truyền âm trong chất rắn phải lớn hơn 1500 m/s ⇒ không thể nhận giá trị 1000 m/s ⇒ Chọn đáp án A.
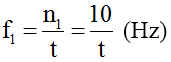
Bài 8: Một vật dao động và phát ra âm. Biết rằng trong thời gian 0,01 giây vật thực hiện được 1 dao động. Xác định tần số của âm này.
A. 50 Hz B. 10 Hz C. 100 Hz D. 25 Hz
Lời giải:
Tần số của âm phát ra là:
Bài 9: Trường hợp nào ta không nghe được tiếng vang khi âm phản xạ đến sau âm trực tiếp là:
A. 1/15 giây B. Nhỏ hơn 1/15 giây
C. Lớn hơn 1/15 giây D. 1/14 giây
Lời giải:
Ta nghe được tiếng vang khi âm phản xạ đến sau âm trực tiếp một khoảng thời gian nhỏ nhất là 1/15 giây (t %ge; 1/15 s) ⇒ Chọn đáp án B.
Bài 10: Vật liệu nào sau đây phản xạ âm kém hơn những vật liệu còn lại?
A. Tấm kim loại phẳng B. Tấm kính
C. Miếng xốp D. Bê tông
Lời giải:
Các vật liệu mềm và gồ ghề phản xạ âm kém hơn các vật liệu cứng và nhẵn
⇒ Chọn đáp án C
Bài 11: Ta có thể nghe thấy tiếng vang khi:
A. Âm phản xạ đến tai ta trước âm phát ra.
B. Âm phát ra và âm phản xạ đến tai ta cùng một lúc.
C. Âm phát ra đến tai ta trước âm phản xạ.
D. Âm phản xạ gặp vật cản.
Lời giải:
Để nghe được tiếng vang âm phản xạ phải đến sau âm phát ra thời gian ngắn nhất là 1/15 giây ⇒ Chọn đáp án C
Bài 12: Trong bài hát “Nhạc rừng” của nhạc sĩ Hoàng Việt có viết:
“Róc rách, róc rách
Nước luồn qua khóm trúc”
Âm thanh được phát ra từ:
A. Dòng nước dao động B. Lá cây
C. Dòng nước và khóm trúc D. Do lớp không khí trên mặt nước
Lời giải:
Âm thanh được phát ra từ dòng nước ⇒ Chọn A
Bài 13: Biết rằng khi xảy ra sấm sét, ánh sáng truyền đến mắt người quan sát trước khi tiếng sấm truyền đến tai người nghe. Biết vận tốc ánh sáng là 300000 km/s, vận tốc âm thanh truyền trong không khí là 340 m/s. Một người nhìn thấy tia sét trước khi nghe tiếng sấm 4s. Tính khoảng cách từ nơi xảy ra tia sét đến tai người đó.
A. 1198640 m B. 1200000 km C. 1360 m D. 680 m
Lời giải:
- Vì vận tốc ánh sáng rất lớn so với vận tốc truyền âm nên ta quan sát thấy tia sét trước khi nghe được âm thanh do tia sét truyền đến.
- Vì sau khi thấy tia sét thì 4s sau âm mới đến tai nên khoảng cách từ nơi xảy ra tia sét đến tai người đó là: s = 340.4 = 1360 m ⇒ Chọn đáp án C.
Bài 14: Phát biểu nào sau đây là đúng khi nói về tính chất của âm phát ra khi gảy dây đàn ghita?
A. Biên độ dao động của dây đàn càng lớn thì âm phát ra càng to.
B. Động tác bấm phím ở cac vị trí khác nhau cho phép làm thay đổi tần số dao động của dây đàn và do đó thay đổi được độ cao của âm.
C. Động tác bấm phím ở cac vị trí khác nhau cho phép làm thay đổi tần số dao động của dây đàn và do đó thay đổi được độ cao của âm.
D. Tất cả các phát biểu trên đều đúng.
Lời giải:
- Biên độ dao động của dây đàn càng lớn thì âm phát ra càng to.
- Động tác bấm phím ở cac vị trí khác nhau cho phép làm thay đổi tần số dao động của dây đàn và do đó thay đổi được độ cao của âm.
- Động tác bấm phím ở cac vị trí khác nhau cho phép làm thay đổi tần số dao động của dây đàn và do đó thay đổi được độ cao của âm.
⇒ Chọn đáp án D.
Bài 15: Trường hợp nào dưới đây không gây ô nhiễm tiếng ồn?
A. Tiếng lợn kêu vào sáng sớm hàng ngày tại lò giết lợn.
B. Loa phóng thanh xã hướng thẳng vào đầu nhà.
C. Tiếng sét đánh.
D. Tiếng hát Karaoke kéo dài suốt ngày.
Lời giải:
Ô nhiễm tiếng ồn xảy ra khi tiếng ồn to và kéo dài, gây ảnh hưởng xấu đến sức khỏe và cuộc sống của con người.
Ở đây chỉ có tiếng sét xảy ra trong thời gian ngắn và không thường xuyên nên có thể xem tiếng sét không gây ô nhiễm tiếng ồn.
Bài 16: Đặc điểm chung nhất của các nguồn âm là:
A. Đều cứng B. Đều hấp thụ âm tốt
C. Đều phản xạ âm tốt D. Đều dao động
Lời giải:
Vật phát ra âm khi dao động. Do đó đặc điểm chung nhất của các nguồn âm là đều dao động
Bài 17: Trong thời gian chiến tranh, khi một quả bom nổ trên mặt đất người ta đã ghi nhận như sau. Chọn phương án sai:
A. Nghe được tiếng nổ sau khi nhìn thấy tia sáng phát ra.
B. Nghe được tiếng nổ sau khi đất dưới chân đã rung chuyển.
C. Đất dưới chân đã rung chuyển sau khi nhìn thấy tia sáng phát ra.
D. khi một quả bom nổ trên mặt đất người ta cùng lúc nghe được tiếng nổ.
Lời giải:
Khi một quả bom nổ trên mặt đất người ta thấy đất dưới chân rung chuyển trước khi nghe được tiếng nổ vì chấn động truyền trong đất (vật rắn) nhanh hơn âm thanh truyền trong không khí ⇒ Chọn đáp án D.
Bài 18: Có hai loại trống có bề mặt to nhỏ khác nhau, một người gõ vào mặt trống nhỏ và sau đó gõ như thế vào mặt trống lớn. Kết luận nào sau đây là sai?
A. Trống càng lớn âm thanh phát ra càng trầm.
B. Trống càng lớn âm thanh phát ra càng cao.
C. Mặt trống càng căng âm thanh phát ra càng cao.
D. Gõ dùi trống vào chính giữa mặt trống thì âm phát ra to hơn các vị trí khác.
Lời giải:
Khi gõ như nhau vào mặt trống nhỏ và mặt trống lớn ta sẽ thấy:
- Trống càng lớn âm thanh phát ra càng trầm.
- Mặt trống càng căng âm thanh phát ra càng cao.
- Gõ dùi trống vào chính giữa mặt trống thì âm phát ra to hơn các vị trí khác.
⇒ B sai ⇒ Chọn đáp án B
Bài 19: Khi cả nhà đang xem ti vi ở nhà bỗng nghe thấy tiếng chó sủa dữ dội làm ảnh hưởng đến việc xem phim của gia đình. Sau khi xem điều gì xảy ra thì bé Mai khẳng định là có ai đó đã mở khóa cổng của nhà và bé đã ra khóa cổng lại. Theo em tiếng chó sủa khi nãy có phải là ô nhiễm tiếng ồn không. Hãy chọn kết luận đúng.
A. Không phải là ô nhiễm tiếng ồn, vì tiếng ồn của chó sủa có độ to không quá lớn.
B. Cả 3 phương án đúng.
C. Không phải là ô nhiễm tiếng ồn, vì đây là tiếng ồn có ảnh hưởng tốt.
D. Đúng là ô nhiễm tiếng ồn.
Lời giải:
Ô nhiễm tiếng ồn xảy ra khi tiếng ồn to và kéo dài gây ảnh hưởng xấu đến sức khỏe, cuộc sống và các hoạt động bình thường của con người. Tiếng chó sủa không kéo dài thường xuyên, có lợi cho việc phát hiện trộm ⇒ Chọn đáp án C.
Bài 20: Biết vận tốc truyền của âm trong không khí là 330 m/s. Hỏi để có được tiếng vang thì khoảng cách từ nguồn phát âm đến vật phản xạ phải là:
A. Lớn hơn 11 m B. 12 m
C. Nhỏ hơn 11 m D. Lớn hơn 15 m
Lời giải:
Ta nghe được tiếng vang khi âm phản xạ đến sau âm trực tiếp một khoảng thời gian nhỏ nhất là 1/15 giây nghĩa là
⇒ Chọn đáp án A.
Bài 21: Hãy xác định câu nào sau đây là đúng?
A. Siêu âm là âm thanh gây ra ô nhiễm tiếng ồn nhiều nhất.
B. Hạ âm là âm thanh gây ra ô nhiễm tiếng ồn ít nhất.
C. Siêu âm, hạ âm không gây ô nhiễm tiếng ồn.
D. Siêu âm, hạ âm có gây ô nhiễm tiến ồn.
Lời giải:
Siêu âm, hạ âm là âm mà tai người không nghe thấy được nên không gây ô nhiễm tiếng ồn ⇒ Chọn đáp án C.
Bài 22: Khi đo độ to của các âm thanh, âm thanh của tiếng nói chuyện bình thường có độ to là:
A. 40 dB B. 50 dB C. 60 dB D. 70 dB
Lời giải:
Âm thanh của tiếng nói chuyện bình thường có độ to là 40 dB.
Bài 23: Âm thanh gây ô nhiễm tiếng ồn là:
A. tiếng tập hát trong khu nhà ở giữa buổi trưa.
B. tiếng loa phóng thanh ở đầu xóm.
C. tiếng kèn báo thức hết giờ nghỉ trưa.
D. tiếng chim hót cạnh nhà ở giữa buổi trưa.
Lời giải:
Ô nhiễm tiếng ồn xảy ra khi tiếng ồn to và kéo dài gây ảnh hưởng xấu đến sức khỏe, cuộc sống và các hoạt động bình thường của con người. Tiếng loa phóng thanh ở đầu xóm thường to và kéo dài nên gây ra sự phiền toái và khó chịu cho những cư dân sống ở gần đó ⇒ gây ô nhiễm tiếng ồn ⇒ Chọn đáp án B.
Bài 24: Hãy cho biết phát biểu nào dưới đây là sai?
A. Biên độ dao động tùy thuộc vào độ to nhỏ của dây.
B. Âm phát ra càng nhỏ thì biên độ dao động càng nhỏ.
C. Biên độ dao động là độ lệch lớn nhất của vật khi dao động so với vị trí cân bằng.
D. Đơn vị đo độ to của âm là Đêxiben (dB)
Lời giải:
Biên độ dao động phụ thuộc vào dao động mạnh hay yếu. Dao động càng mạnh biên độ càng lớn và ngược lại, không phụ thuộc vào kích thước của vật dao động ⇒ A sai ⇒ Chọn đáp án A.
Bài 25: Xe lửa là một phương tiện giao thông rất thuận lợi, nhưng nó cũng gây ra ô nhiễm tiếng ồn khi đi qua vùng động dân cư. Để khắc phục tình trạng này một học sinh lớp 7 đã có những đề xuất sau:
Hãy chọn phương án tốn kém và khó thực hiện nhất. Chọn câu trả lời đúng:
A. Dời đường xe lửa ra khỏi khu dân cư.
B. Dời khu dân cư ra khỏi đường xe lửa.
C. Dùng tàu điện ngầm dưới lòng đất.
D. Nâng cao đường ray xe lửa cho xe chạy trên cao.
Lời giải:
Dời khu dân cư ra khỏi đường xe lửa là phương án tốn kém và khó thực hiện nhất.
Bài 26: Hãy chọn câu trả lời không đúng sau đây:
A. Sử dụng động cơ chạy bằng điện ít gây ô nhiễm tiếng ồn.
B. Hơi nước có trong không khí không hấp thụ âm thanh.
C. Cây xanh vừa hấp thụ vừa phản xạ âm thanh.
D. Đường cao tốc phải được xây dựng xa trường học, bệnh viện và khu dân cư.
Lời giải:
- Sử dụng động cơ chạy bằng điện ít gây ô nhiễm tiếng ồn
- Cây xanh vừa hấp thụ vừa phản xạ âm thanh
- Đường cao tốc phải được xây dựng xa trường học, bệnh viện và khu dân cư để tránh ô nhiễm tiếng ồn.
⇒ Đáp án B sai ⇒ Chọn B.
Bài 27: Khi âm truyền đến tai người, bộ phận dao động giúp ta cảm nhận được âm thanh là:
A. Vành tai B. Ống tai C. Màng nhĩ D. Vòi nhĩ
Lời giải:
Ta nghe được các tiếng động xung quanh vì âm được truyền bởi không khí đến tai làm cho màng nhĩ dao động. Dao động này được truyền qua các bộ phận bên trong tai, tạo ra tín hiệu truyền lên não giúp ta cảm nhận được âm thanh.
Bài 28: Âm phát ra càng to khi:
A. Nguồn âm có kích thước càng lớn.
B. Nguồn âm dao động càng mạnh.
C. Nguồn âm dao động càng nhanh.
D. Nguồn âm có khối lượng càng lớn.
Lời giải:
Âm phát ra càng to khi nguồn âm dao động càng mạnh ⇒ Chọn đáp án B
Bài 29: Một người gõ một nhát búa vào đường sắt cách đó 1056 m, một người khác áp tai vào đường sắt thì nghe thấy hai tiếng gõ cách nhau 3s. Biết tốc độ truyền âm trong không khí là v1 = 330 m/s thì tốc độ truyền âm v2 trong đường sắt là bao nhiêu?
A. 6100 m/s B. 621 m/s C. 5280 m/s D. 1700 m/s
Lời giải:
- Thời gian truyền âm trong không khí:
- Thời gian truyền âm trong thanh nhôm:
- Vì v2 > v1 nên âm truyền trong nhôm đi nhanh hơn trong không khí ⇒ t1 > t2
- Theo đề bài, ta có: t1 – t2 = 3 (s)
⇒ v2 = 5280 m/s ⇒ Chọn đáp án C
Bài 30: Âm thanh được tạo ra nhờ
A. Nhiệt B. Điện C. Ánh sáng D. Dao động
Lời giải:
Các vật phát ra âm đều dao động ⇒ Chọn D
2. Tự luận
Bài 1: Hai nguồn âm lần lượt thực hiện được 6300 dao động trong thời gian 1,5 phút và 1200 dao động trong 2 phút. Hỏi âm do nguồn nào phát ra cao hơn? Tại sao?
Lời giải:
Tần số dao động của hai nguồn âm lần lượt là:
Ta thấy f1 > f2 nên tần số dao động của nguồn âm thứ nhất lớn hơn tần số dao động của nguồn âm thứ hai. Do đó âm do nguồn âm thứ nhất phát ra cao hơn âm do nguồn âm thứ hai phát ra.
Bài 2: Một người nghe thấy tiếng sét sau tia chớp 5s. Hỏi người đó đứng cách nơi xảy ra sét là bao xa?
Lời giải:
- Vận tốc truyền âm trong không khí là 340 m/s
- Khoảng cách từ nơi phát ra tiếng sét đến nơi người nghe là:
s = v.t = 340.5 = 1700 (m)
Bài 3: Để đo vận tốc truyền của âm trong môi trường chất rắn, người ta dùng một cái ống sắt dài 68 mét.. Dùng búa gõ nhẹ một cái vào một đầu của ống thì đầu kia nghe được hai tiếng gõ, tiếng nọ cách tiếng kia 0,188 giây.
a) Giải thích tại sao ở đầu kia lại nghe được 2 tiếng gõ.
b) Tìm vận tốc âm thanh truyền trong sắt. Biết vận tốc âm thanh truyền trong không khí là 340 m/s.
Lời giải:
a) Khi người ta gõ búa vào một đầu ống thì tạo nên một âm thanh. Âm này truyền qua môi trường không khí và môi trường sắt đến đầu kia của ống. Do vận tốc truyền âm của ống sắt (môi trường chất rắn) là lớn hơn nhiều so với vận tốc truyền âm trong môi trường không khí nên ở đầu kia của ống sẽ nghe được hai âm. Âm thứ nhất do sắt truyền đến, âm thứ hai do không khí truyền đến.
b) Thời gian âm truyền trong không khí để đi từ đầu này đến đầu kia của ống là:
Thời gian âm truyền trong sắt để đi từ đầu này đến đầu kia của ống là:
t2 = 0,2 – 0,188 = 0,012 (s)
Vậy vận tốc truyền âm trong sắt là:
Bài 4: Trong một cơn giông 3,5 giây sau khi nhìn thấy tia chớp, người ta mới nghe được tiếng sét. Hỏi khoảng cách giữa vị trí quan sát và nơi xảy ra sét là bao nhiêu?
Lời giải:
Ánh sáng truyền đi trong không khí với vận tốc 300000 km/s, âm truyền trong không khí với vận tốc 340 m/s. Vì vậy khi có sét, tia chớp và tiếng sét xảy ra trong cùng một lúc nhưng mắt ta hầu như quan sát được ngay tia chớp, còn tai ta nghe được tiếng sét sau đó một khoảng thời gian. Khoảng thời gian này chính là thời gian để tiếng sét truyền từ vị trí xảy ra sét đến nơi quan sát.
Vậy khoảng cách từ nơi quan sát đến nơi xảy ra sét là: s = v.t = 340.3,5 = 1190 (m)
Bài 5: Một máy bay đang bay ở độ cao 10 km với vận tốc 800 km/h. Bạn A đang đứng quan sát trên mặt đất. Hỏi khi A nghe được âm thanh của máy bay truyền từ vị trí nằm phía trên đỉnh đầu mình xuống thì máy bay đã cách vị trí đó bao xa?
Lời giải:
- Đổi 10 km = 10000 m
800 km/h = 222,222 m/s
- vkhông khí = 340 m/s
- Thời gian để âm thanh truyền từ máy bay xuống mặt đất tại vị trí thẳng đứng ngay bên dưới nó là:
- Trong khoảng thời gian đó, máy bay bay thêm được quãng đường là:
s = t1.vmáy bay = 29,412 . 222,22 = 6326 (m)
Vậy A nghe được âm thanh của máy bay truyền từ phía đỉnh đầu xuống thì máy bay đã cách vị trí đó một khoảng 6326 (m)
Bài 6: Đánh trống tại một điểm mà cách đó một khoảng có một bức tường lớn. Tìm khoảng cách từ bức tường đến nơi đánh trống, biết sau khi đánh một tiếng trống 0,2 giây thì tại nơi đó nghe được âm phản xạ.
Lời giải:
- Do trong không khí âm truyền với vận tốc bằng 340 m/s nên tổng quãng đường âm ban đầu và âm phản xạ đã qua là:
s = v.t = 340.0,2 = 68 (m)
- Khoảng cách từ bức tường đến nơi đặt nguồn âm là:
d = s/2 = 68/2 = 34 (m)
Bài 7: Tính độ sâu tối thiểu của giếng để khi nói to từ miệng giếng ta có thể nghe rõ được tiếng vang.
Lời giải:
- Vận tốc truyền âm trong không khí là 340 m/s.
- Để nghe rõ được tiếng vang thì khoảng thời gian giữa tiếng ban đầu và tiếng vang tối thiểu là 1/15 giây. Khoảng thời gian này bằng tổng thời gian âm đi từ miệng giếng đến đáy giếng và ngược lại từ đáy giếng đến miệng.
- Độ sâu tối thiểu của giếng là:
Bài 8: Để đo được độ sâu của biển người ta thường dùng máy đo siêu âm. Máy này phát ra chùm siêu âm hướng thẳng đứng về phía đáy biển. Âm thanh này khi gặp đáy biển thì tạo nên âm phản xạ được thu bởi máy thu âm. Một lần tiến hành đo thì 4 giây sau khi phát âm xuống thì thu được âm phản xạ. Tính độ sâu của đáy biển tại vị trí đó, biết vận tốc siêu âm truyền trong nước biển là 1500 m/s.
Lời giải:
- Quãng đường âm truyền đi trong nước biển là:
s = v.t = 1500.2 = 3000 (m)
- Độ sâu của đáy biển là:
Bài 9: Có hai con lắc, trong cùng một khoảng thời gian con lắc thứ nhất thực hiện 10 dao động, con lắc thứ hai thực hiện được 15 dao động. Tần số dao động của con lắc nào lớn hơn và lớn hơn bao nhiêu lần?
Lời giải:
- Gọi thời gian con lắc thứ nhất và con lắc thứ hai thực hiện dao động là t (s).
Tần số dao động của con lắc thứ nhất và thứ hai lần lượt là f1 và f2.
- Tần số dao động của con lắc thứ nhất là:
- Tần số dao động của con lắc thứ hai là:
- Ta có:
Vậy tần số dao động của con lắc thứ hai lớn hơn và lớn hơn 0,67 lần.
Bài 10: Một người đứng cách mục tiêu s = 680 m và bắn vào mục tiêu. Viên đạn bay với vận tốc 200 m/s. Cho biết tốc độ truyền âm trong không khí là 340 m/s. Hỏi:
a) Người đứng gần mục tiêu trên thấy viên đạn tới mục tiêu trước hay nghe tiếng súng nổ trước?
b) Viên đạn rơi đúng mục tiêu cách tiếng nổ bao nhiêu giây?
Lời giải:
a) Người đứng gần mục tiêu sẽ nghe thấy tiếng súng trước khi thấy viên đạn rơi vào mục tiêu vì vận tốc âm thanh (340 m/s) lớn hơn vận tốc của viên đạn (200 m/s).
b) Thời gian để tiếng nổ truyền tới tai người đó là:
Thời gian mà viên đạn bay đến mục tiêu là:
Viên đạn rơi trúng mục tiêu sau tiếng nổ: t2 - t1 = 3,4 - 2 = 1,4 9(s)
Bài 11: Một người dùng búa gõ vào đầu một thanh nhôm. Người thứ hai ở đầu kia áp tai vào thanh nhôm và nghe được âm của tiếng gõ hai lần. Khoảng thời gian giữa hai lần nghe được là 0,12 s. Biết tốc độ truyền âm trong không khí là v1 = 340 m/s và tốc độ truyền âm trong nhôm là v2 = 6420 m/s. Độ dài của thanh nhôm là bao nhiêu?
Lời giải:
- Thời gian truyền âm trong không khí:
- Thời gian truyền âm trong thanh nhôm:
- Vì v2 > v1 nên âm truyền trong nhôm đi nhanh hơn trong không khí ⇒ t1 < t2.
- Theo đề bài, ta có: t1 – t2 = 0,12 (s)
Vậy độ dài của thanh nhôm là 43,08 (m)
(199k) Học KHTN 7 KNTTHọc KHTN 7 CDHọc KHTN 7 CTST
Xem thêm các bài Lý thuyết và Bài tập trắc nghiệm Vật Lí lớp 7 có đáp án và lời giải chi tiết khác:
- Lý thuyết Sự nhiễm điện do cọ xát (hay, chi tiết)
- Trắc nghiệm Sự nhiễm điện do cọ xát
- Lý thuyết Hai loại điện tích (hay, chi tiết)
- Trắc nghiệm Hai loại điện tích
- Lý thuyết Dòng điện - Nguồn điện (hay, chi tiết)
- Trắc nghiệm Dòng điện - Nguồn điện
Lời giải bài tập lớp 7 sách mới:
- Giải bài tập Lớp 7 Kết nối tri thức
- Giải bài tập Lớp 7 Chân trời sáng tạo
- Giải bài tập Lớp 7 Cánh diều
Tủ sách VIETJACK shopee lớp 6-8 (2025):
Đã có app VietJack trên điện thoại, giải bài tập SGK, SBT Soạn văn, Văn mẫu, Thi online, Bài giảng....miễn phí. Tải ngay ứng dụng trên Android và iOS.
Theo dõi chúng tôi miễn phí trên mạng xã hội facebook và youtube:Loạt bài Lý thuyết - Bài tập Vật Lý 7 có đáp án của chúng tôi được biên soạn bám sát nội dung chương trình Vật Lý lớp 7.
Nếu thấy hay, hãy động viên và chia sẻ nhé! Các bình luận không phù hợp với nội quy bình luận trang web sẽ bị cấm bình luận vĩnh viễn.
- Giải Tiếng Anh 7 Global Success
- Giải Tiếng Anh 7 Friends plus
- Giải sgk Tiếng Anh 7 Smart World
- Giải Tiếng Anh 7 Explore English
- Lớp 7 - Kết nối tri thức
- Soạn văn 7 (hay nhất) - KNTT
- Soạn văn 7 (ngắn nhất) - KNTT
- Giải sgk Toán 7 - KNTT
- Giải sgk Khoa học tự nhiên 7 - KNTT
- Giải sgk Lịch Sử 7 - KNTT
- Giải sgk Địa Lí 7 - KNTT
- Giải sgk Giáo dục công dân 7 - KNTT
- Giải sgk Tin học 7 - KNTT
- Giải sgk Công nghệ 7 - KNTT
- Giải sgk Hoạt động trải nghiệm 7 - KNTT
- Giải sgk Âm nhạc 7 - KNTT
- Lớp 7 - Chân trời sáng tạo
- Soạn văn 7 (hay nhất) - CTST
- Soạn văn 7 (ngắn nhất) - CTST
- Giải sgk Toán 7 - CTST
- Giải sgk Khoa học tự nhiên 7 - CTST
- Giải sgk Lịch Sử 7 - CTST
- Giải sgk Địa Lí 7 - CTST
- Giải sgk Giáo dục công dân 7 - CTST
- Giải sgk Công nghệ 7 - CTST
- Giải sgk Tin học 7 - CTST
- Giải sgk Hoạt động trải nghiệm 7 - CTST
- Giải sgk Âm nhạc 7 - CTST
- Lớp 7 - Cánh diều
- Soạn văn 7 (hay nhất) - Cánh diều
- Soạn văn 7 (ngắn nhất) - Cánh diều
- Giải sgk Toán 7 - Cánh diều
- Giải sgk Khoa học tự nhiên 7 - Cánh diều
- Giải sgk Lịch Sử 7 - Cánh diều
- Giải sgk Địa Lí 7 - Cánh diều
- Giải sgk Giáo dục công dân 7 - Cánh diều
- Giải sgk Công nghệ 7 - Cánh diều
- Giải sgk Tin học 7 - Cánh diều
- Giải sgk Hoạt động trải nghiệm 7 - Cánh diều
- Giải sgk Âm nhạc 7 - Cánh diều


Giải bài tập SGK & SBT
Tài liệu giáo viên
Sách
Khóa học
Thi online
Hỏi đáp

