Trắc nghiệm tổng hợp Nhiệt học (có đáp án)
Với câu hỏi & bài tập trắc nghiệm tổng hợp Nhiệt học có lời giải chi tiết sẽ giúp học sinh ôn tập trắc nghiệm Nhiệt học.
Trắc nghiệm tổng hợp Nhiệt học (có đáp án)
(199k) Học KHTN 8 KNTTHọc KHTN 8 CDHọc KHTN 8 CTST
Bài 1: Tính chất nào sau đây không phải của nguyên tử, phân tử?
A. Chuyển động không ngừng.
B. Chuyển động càng nhanh thì nhiệt độ của vật càng cao.
C. Giữa các nguyên tử, phân tử cấu tạo nên vật có khoảng cách.
D. Chỉ có thế năng, không có động năng.
Tính chất chỉ có thế năng, không có động năng không phải của nguyên tử, phân tử.
⇒ Đáp án D
Bài 2: Khi nhiệt độ của một vật tăng lên thì:
A. Động năng của các phân tử cấu tạo nên vật tăng.
B. Thế năng của các phân tử cấu tạo nên vật tăng.
C. Động năng của các phân tử cấu tạo nên vật giảm.
D. Nội năng của vật giảm
Khi nhiệt độ của một vật tăng lên thì động năng của các phân tử cấu tạo nên vật tăng.
⇒ Đáp án A
Bài 3: Đổ một chất lỏng có khối lượng m1, nhiệt dung riêng c1 và nhiệt độ t1 vào một chất lỏng có khối lượng m2 = 2m1, nhiệt dung riêng c2 = (1/2)c1 và nhiệt độ t2 > t1. Nếu bỏ qua sự trao đổi nhiệt giữa hai chất lỏng và môi trường (cốc đựng, không khí…) thì khi có cân bằng nhiệt, nhiệt độ t của hai chất lỏng trên có giá trị là
Nếu bỏ qua sự trao đổi nhiệt giữa hai chất lỏng và môi trường (cốc đựng, không khí…) thì khi có cân bằng nhiệt, nhiệt độ t theo phương trình cân bằng nhiệt ta có: Nhiệt lượng thu vào và tỏa ra bằng nhau nên
⇒ Đáp án B
Bài 4: Một ô tô chạy quãng đường 100 km với lực kéo 700 N thì tiêu thụ hết 4 kg xăng. Biết khi đốt cháy hoàn toàn 1 kg xăng ta thu được nhiệt lượng 46.106 J. Hiệu suất của động cơ là:
A. 13% B. 18% C. 28% D. 38%
Công có ích động cơ sinh ra:
A = 100000.700 = 7.107 J
Nhiệt năng xăng cháy sinh ra:
Q = q.m = 46.106.4 = 18,4.107 J
Hiệu suất của động cơ là:
⇒ Đáp án D
Bài 5: Hạt phấn hoa chuyển động không ngừng trong nước về mọi phía trong chuyển động Brao là do:
A. nguyên tử phấn hoa chuyển động hỗn độn không ngừng.
B. phân tử nước chuyển động hỗn độn không ngừng va chạm vào các hạt phấn hoa.
C. phân tử phấn hoa chuyển động hỗn độn không ngừng.
D. Cả ba lí do trên.
Hạt phấn hoa chuyển động không ngừng trong nước về mọi phía trong chuyển động Brao là do phân tử nước chuyển động hỗn độn không ngừng va chạm vào các hạt phấn hoa ⇒ Đáp án B
Bài 6: Thả ba miếng đồng, nhôm, chì có cùng khối lượng vào một cốc nước nóng. Khi bắt đầu có sự cân bằng nhiệt thì xảy ra trường hợp nào dưới đây?
A. Nhiệt độ của ba miếng bằng nhau.
B. Nhiệt độ của miếng nhôm cao nhất, rồi đến của miếng đồng, miếng chì.
C. Nhiệt độ của miếng chì cao nhất, rồi đến của miếng đồng, miếng nhôm.
D. Nhiệt độ của miếng đồng cao nhất, rồi đến của miếng nhôm, miếng chì.
Khi bắt đầu có sự cân bằng nhiệt thì nhiệt độ của ba miếng bằng nhau.
⇒ Đáp án A
Bài 7: Câu nào dưới đây nói về sự thay đổi nhiệt năng là không đúng?
A. Khi vật thực hiện công thì nhiệt năng của vật luôn tăng.
B. Khi vật tỏa nhiệt ra môi trường xung quanh thì nhiệt năng của vật giảm.
C. Nếu vật vừa nhận công vừa nhận nhiệt lượng thì nhiệt năng của vật tăng.
D. Phần nhiệt năng mà vật nhận thêm hay mất bớt đi trong quá trình truyền nhiệt được gọi là nhiệt lượng.
Khi vật thực hiện công thì nhiệt năng của vật không tăng ⇒ Đáp án A
Bài 8: Pha một lượng nước nóng ở nhiệt độ t vào nước lạnh ở 10°C. Nhiệt độ cuối cùng của hỗn hợp nước là 20°C. Biết khối lượng nước lạnh gấp 3 lần khối lượng nước nóng. Hỏi nhiệt độ lúc đầu t của nước nóng bằng bao nhiêu?
A. 50°C B. 60°C C. 70°C D. 80°C
Nhiệt lượng thu vào và tỏa ra bằng nhau nên: Q = m1cΔt1 = m2cΔt2
Vì m2 = 3m1 ⇒ 3Δt2 = Δt1
Nên Δt1 = t - 20 = 3.(20 – 10) = 30°C ⇒ t = 50°C
⇒ Đáp án A
Bài 9: Khi chuyển động nhiệt của các phân tử cấu tạo nên các chất đang khuếch tán vào nhau nhanh lên thì hiện tượng khuếch tán:
A. xảy ra nhanh lên
B. xảy ra chậm đi
C. không thay đổi
D. ngừng lại
Khi chuyển động nhiệt của các phân tử cấu tạo nên các chất đang khuếch tán vào nhau nhanh lên thì hiện tượng khuếch tán xảy ra nhanh lên ⇒ Đáp án A
Bài 10: Chọn câu sai:
A. Chất khí không có hình dạng xác định.
B. Chất lỏng không có hình dạng xác định.
C. Chất rắn có hình dạng xác định.
D. Cả ba chất rắn, lỏng, khí có thể tích xác định.
Chất rắn và lỏng có thể tích xác định còn chất khí không có thể tích xác định.
⇒ Đáp án D
Bài 11: Hiện tượng nào dưới đây không phải do chuyển động hỗn độn không ngừng của các phân tử gây ra?
A. Quả bóng chuyển động hỗn độn khi bị nhiều học sinh đá từ nhiều phía khác nhau.
B. Quả bóng bay dù được buộc thật chặt vẫn bị xẹp dần.
C. Đường tự tan vào nước.
D. Sự khuếch tán của dung dịch đồng sunfat vào nước.
Quả bóng chuyển động hỗn độn khi bị nhiều học sinh đá từ nhiều phía khác nhau không phải do chuyển động hỗn độn không ngừng của các phân tử gây ra
⇒ Đáp án A
Bài 12: Dẫn nhiệt là hình thức truyền nhiệt có thể xảy ra:
A. chỉ ở chất lỏng và khí
B. chỉ ở chất lỏng và rắn
C. chỉ ở chất khí và rắn
D. ở cả chất rắn, lỏng và khí
Dẫn nhiệt là hình thức truyền nhiệt có thể xảy ra ở cả chất rắn, lỏng và khí
⇒ Đáp án D
Bài 13: Khối đồng có khối lượng 2 kg nhận nhiệt lượng 7600 J thì tăng thêm 10°C. Nhiệt dung riêng của đồng hồ là:
A. 380 J/kg.K B. 2500 J/kg.K C. 4200 J/kg.K D. 130 J/kg.K
Nhiệt lượng thu vào của đồng: Q = mcΔt
Vậy
⇒ Đáp án A
Bài 14: Pha m1 (g) nước ở 100°C vào m2 (g) nước ở 40°C. Nhiệt độ cuối cùng của hỗn hợp nước là 70°C. Biết m1 + m2 = 200 g. Khối lượng m1 và m2 là:
A. m1 = 125 g, m2 = 75 g
B. m1 = 75 g, m2 = 125 g
C. m1 = 50 g, m2 = 150 g
D. m1 = 100 g, m2 = 100 g
Nhiệt lượng tỏa ra của nước nóng: Q1 = m1cΔt1
Nhiệt lượng thu vào của nước lạnh: Q2 = m2cΔt2
Vì Q1 = Q2 và Δt1 = Δt2 nên m1 = m2 = 100 g
⇒ Đáp án D
Bài 15: Chọn câu trả lời sai:
Hãy nêu những quá trình qua đó có thể thấy nhiệt năng của một vật có thể biến đổi khi một công được thực hiện.
A. Cọ xát vật đó với vật khác.
B. Va chạm giữa vật đó với vật khác.
C. Nén vật đó.
D. Cho vật tiếp xúc với một vật khác có nhiệt độ khác với nhiệt độ của vật.
Cho vật tiếp xúc với một vật khác có nhiệt độ khác với nhiệt độ của vật thì nhiệt năng của một vật biến đổi mà không thực hiện công ⇒ Đáp án D
Bài 16: Khi nhiệt độ của một miếng đồng tăng thì:
A. thể tích của mỗi nguyên tử đồng tăng.
B. khoảng cách giữa các nguyên tử đồng tăng.
C. số nguyên tử đồng tăng.
D. Cả ba phương án trên đều không đúng.
Khi nhiệt độ của một miếng đồng tăng thì khoảng cách giữa các nguyên tử đồng tăng ⇒ Đáp án B
Bài 17: Hiện tượng khuếch tán xảy ra nhanh hơn trong một chất khí khi
A. giảm nhiệt độ của khối khí.
B. tăng nhiệt độ của khối khí.
C. tăng độ chênh lệch nhiệt độ trong khối khí.
D. cho khối khí dãn nở.
Hiện tượng khuếch tán xảy ra nhanh hơn trong một chất khí khi tăng nhiệt độ của khối khí ⇒ Đáp án B
Bài 18: Một ô tô có công suất 16000W chạy trong 575 giây. Biết hiệu suất của động cơ là 20%. Biết khi đốt cháy hoàn toàn 1 kg ta thu được nhiệt lượng 46.106 J. Khối lượng xăng tiêu hao để xe chạy trong 1 giờ là:
A. 6,26 kg B. 10 kg C. 8,2 kg D. 20 kg
Nhiệt lượng xăng phải tỏa ra trong 1 giờ là:
Khối lượng xăng tiêu hao:
Bài 19: Một thác nước cao 126 m và độ chênh lệch nhiệt độ của nước ở đỉnh và chân thác là 0,3°C. Giả thiết rằng khi chạm vào chân thác, toàn bộ động năng của nước chuyển hết thành nhiệt năng truyền cho nước. Hãy tính nhiệt dung riêng của nước.
A. 2500 J/kg.K B. 420 J/kg.K C. 4200 J.kg.K D. 480 J/kg.K
Xét m (kg) nước ở đỉnh thác khi xuống đến chân có động năng W = 10.m.h
Nhiệt năng truyền cho nước: Q = mcΔt
⇒ Đáp án C
Bài 20: Động cơ nhiệt thực hiện công có ích 920000 J, phải tiêu tốn lượng xăng 1 kg. Biết khi đốt cháy hoàn toàn 1 kg xăng ta thu được nhiệt lượng 46.106 J. Hiệu suất của động cơ là:
A. 15% B. 20% C. 25% D. 30%
Nhiệt năng xăng cháy sinh ra:
Q = q.m = 1.4,6.106 = 4,6.106 J
Hiệu suất của động cơ là:
⇒ Đáp án B
C. Tự luận
Bài 1: Hiệu suất của xe máy là bao nhiêu? Biết lực kéo của động cơ không đổi là 350N, nếu tiêu thụ hết 3 lít xăng thì xe đi được quãng đường là 120 km, khối lượng riêng và năng suất tỏa nhiệt của xăng là 700 kg/m3, 46.106 J/kg.
Công thực hiện của động cơ:
A = F.s = 350.12.104 = 42.106 J
Nhiệt lượng tỏa ra của xăng:
Qtp = q.m = q.V.D = 46.106.3.10-3.7.102 = 966.105 J
Hiệu suất của động cơ:
Bài 2: Một động cơ dùng xăng có công suất 15kW và hiệu suất là 30%. Tính số lít xăng tiêu thụ trong 2 giờ. Biết động cơ chạy hết công suất, năng suất tỏa nhiệt và khối lượng riêng của xăng lần lượt là 46.106 J/kg và 700 kg/m3.
Công thực hiện của động cơ trong 2 giờ là:
A = P.t = 15000.2.3600 = 108.106 J
Công toàn phần chính là nhiệt lượng tỏa ra của xăng:
Số lít xăng cần tiêu thụ:
Bài 3: Dùng một bếp củi có hiệu suất 30% để đun 5 kg nước từ 30°C. Khi đốt cháy hoàn toàn 200g củi khô thì nhiệt độ cuối cùng của nước là bao nhiêu? Biết ấm đựng nước làm bằng nhôm có khối lượng 200g, nhiệt dung riêng của nước và nhôm lần lượt là 4200 J/kg.K và 880 J/kg.K, năng suất tỏa nhiệt của củi khô là 107 J/kg.
Gọi t là nhiệt độ cuối cùng của ấm nước.
Nhiệt lượng tỏa ra khi đốt cháy hoàn toàn 200g củi khô:
Qtp = qc.mc = 107.0,2 = 2.106 J
Nhiệt lượng cung cấp cho ấm nước:
Qấm nước = Qci = H.Qtp = 0,3.2.106 = 6.105 J (1)
Mặt khác nhiệt lượng do ấm nước thu:
Qấm nước = Qấm thu + Qnước thu
Qấm nước = (maca + mncn).(t – tn)
Qấm nước = (0,2.880 + 5.4200).(t – 30) = 21176.(t – 30) (2)
Từ (1) và (2) suy ra
Vậy nhiệt độ cuối cùng của ấm nước là 58,3°C
Bài 4: Một bếp lò có hiệu suất 40%. Nếu dùng bếp đó để đốt cháy 0,5 kg củi khô thì có đun sôi được 10 lít nước ở 35°C không? Biết nồi nhôm đựng nước có khối lượng 500g, năng suất tỏa nhiệt của củi khô là 107 J/kg, nhiệt dung riêng của nước và nhôm là 4200 J/kg.K, 880 J/kg.K.
Gọi t1, t2 là nhiệt độ đầu và nhiệt độ sau của nước.
Nhiệt lượng tỏa ra của củi:
Qcủi tỏa = qc.mc = 107.0,5 = 5.106 J
Nhiệt lượng có ích cung cấp cho nước và nồi:
Qci = H.Qcủi tỏa = 0,4.5.106 = 2.106 J (1)
Mặt khác ta có: Qci = Qnước thu + Qnồi thu
⇒ Qci = (mncn + mnhcnh).(t2 – t1)
⇒ Qci = (10.4200 + 0,5.880).(t2 – 35)
⇒ Qci = 42440.t2 – 1485400 (2)
Từ (1) và (2) ⇒ 42440.t2 – 1485400 = 2.106
Vậy nhiệt độ sau của nước là 82°C nên nước không sôi được
Bài 5: Khi thả một quả cầu bằng nhôm có khối lượng 500g vào 2 lít nước ở 25°C thì nhiệt độ của chúng sau khi cân bằng nhiệt là 30°C. Hỏi nhiệt độ ban đầu của quả cầu nhôm là bao nhiêu? Biết nhiệt lượng hao phí trong trường hợp này bằng 20% nhiệt lượng do nước thu. Nhiệt dung riêng của nhôm và nước là 880 J/kg.K, 4200 J/kg.K.
Gọi tnh là nhiệt độ ban đầu của chì
t là nhiệt độ khi cân bằng nhiệt
Nhiệt lượng do quả cầu chì tỏa ra:
Qtỏa = mnhcnh.(tnh – t) = 0,5.880.(tnh – 30) = 440.(tnh – 30)
Nhiệt lượng do nước thu:
Qn = mncn(t – tn) = 2.4200.(30 – 25) = 42000 J
Nhiệt lượng hao phí:
Qhp = 20%.Qn = 0,2.42000 = 8400 J
Theo phương trình cân bằng nhiệt:
Vậy nhiệt độ ban đầu của quả cầu nhôm là 144,5°C
Bài 6: Ta thả hai thỏi đồng và nhôm có khối lượng lần lượt là 200g và 500g vào trong 1 lít nước ở 30°C. Tính nhiệt độ khi cân bằng nhiệt của chúng. Biết nhiệt độ ban đầu của thỏi đồng là 40°C và của nhôm là 100°C. Nhiệt dung riêng của nhôm, đồng và nước là 880 J/kg.K, 380 J/kg.K, 4200 J/kg.K (bỏ qua nhiệt lượng hao phí).
Gọi t là nhiệt độ khi cân bằng nhiệt.
Nhiệt lượng của thỏi nhôm: Qnh = mnhcnh.(tnh – t)
⇒ Qnh = 0,5.880.(100 – t) = 44000 – 440.t
Nhiệt lượng của thỏi đồng:
Qđ = mđcđ.(tđ – t)
⇒ Qđ = 0,2.380.(40 – t) = 3040 – 76.t
Nhiệt lượng của nước: Qn = mncn(tn – t)
⇒ Qn = 1.4200.(30 – t) = 126000 – 4200.t
Ta luôn có: Qnh + Qđ + Qn = 0
⇔ 44000 – 440.t + 3040 – 76.t + 126000 – 4200.t = 0
⇔ 4716.t = 173040 ⇒ t = 36,7°C
Vậy nhiệt độ khi cân bằng nhiệt là 36,7°C và thỏi đồng là vật tỏa nhiệt. Vì tđ = 40°C > t = 36,7°C
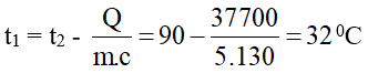
Bài 7: Một khối chì có khối lượng 5 kg, nhiệt dung riêng là 130 J/kg.K. Sau khi nhận thêm 37,7 kJ thì nhiệt độ của nó là 90°C. Hỏi nhiệt độ ban đầu của khối chì là bao nhiêu?
Độ tăng nhiệt độ của khối chì:
Nhiệt độ ban đầu của chì:
Bài 8: Để đun sôi một ấm nhôm có khối lượng 500g đựng 10 lít nước ở 35°C người ta cung cấp cho nó một lượng nhiệt là 5517200 J. Tính hiệu suất của bếp, biết nhiệt dung riêng của nước, nhôm lần lượt là 4200 J/kg.K và 880 J/kg.K.
Nhiệt lượng thu vào của nhôm:
Qnh = mnh.cnh.(t2 – t1) = 0,5.880.(100 – 35) = 28600 J
Nhiệt lượng thu vào của nước:
Qn = mn.cn.(t2 – t1) = 10.4200.65 = 2730000 J
Nhiệt lượng thu vào của ấm:
Q = Qnh + Qn = 28600 + 2730000 = 2758600 J
Hiệu suất của bếp:
Bài 9: Một thỏi đồng và một thỏi chì có cùng khối lượng và cùng độ giảm nhiệt độ. Biết nhiệt dung riêng của đồng và chì lần lượt là 380 J/kg.K và 130 J/kg.K. So sánh nhiệt lượng tỏa ra của hai thỏi.
Nhiệt lượng tỏa ra của mỗi thỏi:
Vậy nhiệt lượng tỏa ra của thỏi đồng lớn hơn nhiệt lượng tỏa ra của thỏi chì 2,9 lần
Bài 10: Phải pha mấy lít nước sôi vào 19,5 lít nước nguội ở 15°C để được nước ấm có nhiệt độ là 35°C.
- Gọi t là nhiệt độ cuối cùng của hỗn hợp nước.
- Nhiệt lượng tỏa ra của nước sôi: Qstoa = ms.cn.(ts – t)
- Nhiệt lượng thu vào của nước nguội: Qngthu = mng.cn.(t – tng)
- Theo phương trình cân bằng nhiệt: Qstoa = Qngthu
⇔ ms.cn.(ts – t) = mng.cn.(t – tng)
⇔ ms.(100 – 35) = 19,5.(35 – 15)
⇔ 65.ms = 390 ⇔ ms = 6 kg
Vậy lượng nước sôi cần phải pha là 6 kg = 6 lít
(199k) Học KHTN 8 KNTTHọc KHTN 8 CDHọc KHTN 8 CTST
Xem thêm các bài Lý thuyết và Bài tập trắc nghiệm Vật Lí lớp 8 có đáp án và lời giải chi tiết khác:
- Lý thuyết Năng suất tỏa nhiệt của nhiên liệu (hay, chi tiết)
- Trắc nghiệm Năng suất tỏa nhiệt của nhiên liệu
- Lý thuyết Sự bảo toàn năng lượng trông các hiện tượng cơ và nhiệt (hay, chi tiết)
- Trắc nghiệm Sự bảo toàn năng lượng trông các hiện tượng cơ và nhiệt
- Lý thuyết Động cơ nhiệt (hay, chi tiết)
- Trắc nghiệm Động cơ nhiệt
Xem thêm các loạt bài Để học tốt môn Vật Lí 8 hay khác:
Tủ sách VIETJACK shopee lớp 6-8 (2025):
Đã có app VietJack trên điện thoại, giải bài tập SGK, SBT Soạn văn, Văn mẫu, Thi online, Bài giảng....miễn phí. Tải ngay ứng dụng trên Android và iOS.
Theo dõi chúng tôi miễn phí trên mạng xã hội facebook và youtube:Loạt bài Lý thuyết - Bài tập Vật Lý 8 có đáp án của chúng tôi được biên soạn bám sát nội dung chương trình Vật Lý lớp 8.
Nếu thấy hay, hãy động viên và chia sẻ nhé! Các bình luận không phù hợp với nội quy bình luận trang web sẽ bị cấm bình luận vĩnh viễn.
- Giải Tiếng Anh 8 Global Success
- Giải sgk Tiếng Anh 8 Smart World
- Giải sgk Tiếng Anh 8 Friends plus
- Lớp 8 - Kết nối tri thức
- Soạn văn 8 (hay nhất) - KNTT
- Soạn văn 8 (ngắn nhất) KNTT
- Giải sgk Toán 8 - KNTT
- Giải sgk Khoa học tự nhiên 8 - KNTT
- Giải sgk Lịch Sử 8 - KNTT
- Giải sgk Địa Lí 8 - KNTT
- Giải sgk Giáo dục công dân 8 - KNTT
- Giải sgk Tin học 8 - KNTT
- Giải sgk Công nghệ 8 - KNTT
- Giải sgk Hoạt động trải nghiệm 8 - KNTT
- Giải sgk Âm nhạc 8 - KNTT
- Lớp 8 - Chân trời sáng tạo
- Soạn văn 8 (hay nhất) - CTST
- Soạn văn 8 (ngắn nhất) - CTST
- Giải sgk Toán 8 - CTST
- Giải sgk Khoa học tự nhiên 8 - CTST
- Giải sgk Lịch Sử 8 - CTST
- Giải sgk Địa Lí 8 - CTST
- Giải sgk Giáo dục công dân 8 - CTST
- Giải sgk Tin học 8 - CTST
- Giải sgk Công nghệ 8 - CTST
- Giải sgk Hoạt động trải nghiệm 8 - CTST
- Giải sgk Âm nhạc 8 - CTST
- Lớp 8 - Cánh diều
- Soạn văn 8 Cánh diều (hay nhất)
- Soạn văn 8 Cánh diều (ngắn nhất)
- Giải sgk Toán 8 - Cánh diều
- Giải sgk Khoa học tự nhiên 8 - Cánh diều
- Giải sgk Lịch Sử 8 - Cánh diều
- Giải sgk Địa Lí 8 - Cánh diều
- Giải sgk Giáo dục công dân 8 - Cánh diều
- Giải sgk Tin học 8 - Cánh diều
- Giải sgk Công nghệ 8 - Cánh diều
- Giải sgk Hoạt động trải nghiệm 8 - Cánh diều
- Giải sgk Âm nhạc 8 - Cánh diều


Giải bài tập SGK & SBT
Tài liệu giáo viên
Sách
Khóa học
Thi online
Hỏi đáp

