39+ Bài tập trắc nghiệm Công suất (có lời giải)
Tài liệu bài tập trắc nghiệm Công suất lớp 8 có lời giải mới nhất với câu hỏi & bài tập đa dạng đầy đủ các mức độ nhận biết, thông hiểu, vận dụng, vận dụng cao giúp bạn biết cách làm bài tập Vật Lí 8.
39+ Bài tập trắc nghiệm Công suất (có lời giải)
(199k) Học KHTN 8 KNTTHọc KHTN 8 CDHọc KHTN 8 CTST
Bài 1: Công suất là:
A. Công thực hiện được trong một giây
B. Công thực hiện được trong một giờ
C. Công thực hiện được trong một ngày
D. Công thực hiện được trong một đơn vị thời gian
Lời giải:
Công thực hiện được trong một đơn vị thời gian được gọi là công suất.
Đáp án cần chọn là: D
Bài 2: Chọn câu đúng:
A. Công suất là công thực hiện được trong một giây
B. Công suất là công thực hiện được trong một giờ
C. Công suất là công thực hiện được trong một ngày
D. Công suất là công thực hiện được trong một đơn vị thời gian
Lời giải:
Công thực hiện được trong một đơn vị thời gian được gọi là công suất.
Đáp án cần chọn là: D
Bài 3: Biểu thức tính công suất là
A. P = At
B. P =
C. P =
D. P = At
Lời giải:
Ta có, biểu thức tính công suất: P =
Trong đó:
+ A: công thực hiện (J)
+ t: khoảng thời gian thực hiện công A(s)
Đáp án cần chọn là: B
Bài 4: Điều nào sau đây đúng khi nói về công suất?
A. Công suất được xác định bằng công thực hiện được trong một đơn vị thời gian.
B. Công suất được xác định bằng lực tác dụng trong 1 giây
C. Công suất được xác định bằng công thức P = At
D. Công suất được xác định bằng công thực hiện khi vật dịch chuyển được 1 mét
Lời giải:
Ta có:
+ Công thực hiện được trong một đơn vị thời gian được gọi là công suất
+ Công suất được tính bằng biểu thức: P =
Ta suy ra các phương án:
A – đúng
B, C, D – sai
Đáp án cần chọn là: A
Bài 5: Điều nào sau đây sai khi nói về công suất?
A. Công suất được xác định bằng công thực hiện được trong một đơn vị thời gian.
B. Công suất được xác định bằng lực tác dụng trong 1 giây
C. Công suất được xác định bằng công thức P =
D. Công suất là công mà vật thực hiện được trong một đơn vị thời gian là P =
Lời giải:
Ta có:
+ Công thực hiện được trong một đơn vị thời gian được gọi là công suất
+ Công suất được tính bằng biểu thức: P =
Ta suy ra các phương án:
A, C, D – đúng
B – sai vì P =
Đáp án cần chọn là: B
Bài 6: Đơn vị của công suất là:
A. Oát (W)
B. Kilôoát (kW)
C. Jun trên giây (J/s)
D. Cả ba đơn vị trên
Lời giải:
Nếu công A được tính là 1J, thời gian tt được tính là 1s, thì công suất được tính là:
(Jun trên giây)
Đợn vị công suất J/s được gọi là oát (kí hiệu: W)
1W = 1J/s
1kW = 1000W
1MW = 1000kW = 1000000W
Đáp án cần chọn là: D
Bài 7: Đơn vị nào sau đây không phải là đơn vị của công suất
A. Oát (W)
B. Jun trên giây (J/s)
C. Niuton nhân mét (N.m)
D. Kilôoát (kW)
Lời giải:
Nếu công A được tính là 1J, thời gian tt được tính là 1s, thì công suất được tính là:
(Jun trên giây)
Đợn vị công suất J/s được gọi là oát (kí hiệu: W)
1W = 1J/s
1kW = 1000W
1MW = 1000kW = 1000000W
C – Niuton nhân mét (N.m) là đơn vị của công không phải là đơn vị của công suất
A, B, D – là các đơn vị của công suất
Đáp án cần chọn là: C
Bài 8: Làm thế nào biết ai làm việc khỏe hơn?
A. So sánh công thực hiện của hai người, ai thực hiện công lớn hơn thì người đó làm việc khỏe hơn
B. So sánh thời gian làm việc, ai làm việc ít thời gian hơn thì người đó khỏe hơn
C. So sánh công thực hiện trong cùng một thời gian ai thực hiện công lớn hơn thì người đó làm việc khỏe hơn
D. Các phương án trên đều không đúng
Lời giải:
Để biết người nào hay máy nào làm việc khoẻ hơn (năng suất hơn hay thực hiện công nhanh hơn) người ta so sánh công thực hiện được trong một đơn vị thời gian
Đáp án cần chọn là: C
Bài 9: Hai bạn Nam và Hùng kéo nước từ giếng lên. Nam kéo gàu nước nặng gấp đôi; thời gian kéo gàu nước lên của Hùng chỉ bằng một nửa thời gian của Nam. So sánh công suất trung bình của Nam và Hùng.
A. Công suất của Nam lớn hơn vì gàu nước của Nam nặng gấp đôi
B. Công suất của Hùng lớn hơn vì thời gian kéo của Hùng chỉ bằng một nửa thời gian kéo của Nam
C. Công suất của Nam và Hùng là như nhau
D. Không đủ căn cứ để so sánh
Lời giải:
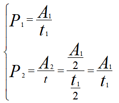
Gọi lực kéo gàu nước lên của Nam và Hùng lần lượt là: F1, F2
Thời gian Nam và Hùng kéo gàu nước lên lần lượt là: t1, t2
Chiều cao của giếng nước là: h
Theo đầu bài ta có:
- Trọng lượng của gàu nước do Nam kéo nặng gấp đôi do Hùng kéo: P1=2P2 → F1=2F2
- Thời gian kéo gàu nước lên của Hùng chỉ bằng một nửa thời gian của Nam:
Ta suy ra:
+ Công mà Nam thực hiện được là: A1=F1h
Công mà Hùng thực hiện được là:
+ Công suất của Nam và Hùng lần lượt là:
Từ đây, ta suy ra: P1=P2 => Công suất của Nam và Hùng là như nhau.
Đáp án cần chọn là: C
Bài 10: Hai thợ xây A và B kéo xô vữa từ mặt đất lên tầng hai. A kéo xô vữa nặng gấp ba xô vữa của B; thời gian kéo xô vữa lên của B chỉ bằng một nửa thời gian của A. So sánh công suất trung bình của A và B.
A. Công suất của A lớn hơn
B. Công suất của B lớn hơn vì thời gian kéo của B chỉ bằng một nửa thời gian kéo của A
C. Công suất của A và B là như nhau
D. Không đủ căn cứ để so sánh
Lời giải:
Gọi lực kéo xô vữa lên của A và B lần lượt là: F1, F2
Thời gian Avà B kéo gàu nước lên lần lượt là: t1,t2
Chiều cao từ mặt đất lên tâng hai là: h
Theo đầu bài ta có:
- Trọng lượng của xô vữa do A kéo nặng gấp ba do B kéo: P1=3P2 → F1=3F2
- Thời gian kéo xô vữa lên của B chỉ bằng một nửa thời gian của A:
Ta suy ra:
+ Công mà A thực hiện được là: A1=F1h
Công mà B thực hiện được là:
+ Công suất của A và B lần lượt là:
Từ đây, ta suy ra:
=> Công suất của A lớn hơn công suất của B
Đáp án cần chọn là: A
Bài 11: Để cày một sào đất, nếu dùng trâu cày thì mất 2 giờ, nếu dùng máy cày thì mất 20 phút. Hỏi trâu hay máy cày có công suất lớn hơn và lớn hơn bao nhiêu lần?
A. Máy cày có công suất lớn hơn và lớn hơn 3 lần
B. Máy cày có công suất lớn hơn và lớn hơn 6 lần
C. Máy cày có công suất lớn hơn và lớn hơn 5 lần
D. Máy cày có công suất lớn hơn và lớn hơn 10 lần
Lời giải:
Ta thấy, cùng một sào đất:
+ Trâu cày mất t1 = 2 giờ
+ Máy cày mất t2 = 20 phút = 1/3 giờ
Gọi P1, P2 lần lượt là công suất của trâu và máy
Ta có: Công suất được tính bằng biểu thức:
Lại có công mà trâu và máy thực hiện là như nhau, suy ra

=> Máy cày có công suất lớn hơn và lớn hơn 66 lần
Đáp án cần chọn là: B
Bài 12: Máy thứ nhất sinh ra một công 300kJ trong vòng 1 phút. Máy thứ hai sinh ra một công 720kJ. Trong nửa giờ, máy nào có công suất lớn hơn và lớn hơn bao nhiêu lần?
A. Máy thứ hai có công suất lớn hơn và lớn hơn 2,4 lần
B. Máy thứ nhất có công suất lớn hơn và lớn hơn 6 lần
C. Máy thứ hai có công suất lớn hơn và lớn hơn 5 lần
D. Máy thứ nhất có công suất lớn hơn và lớn hơn 12,5 lần
Lời giải:
Ta có
A1 = 300kJ = 300000J
t1 = 1ph = 60s
A1 = 720kJ = 720000J
t1 = 0,5h = 0,5.60.60 = 1800s
Công suất máy thứ nhất thực hiện được là:
Công suất máy thứ hai thực hiện được là:
P1 > P2 ⇒ máy thứ nhất có công suất lớn hơn máy thứ hai
=> Máy thứ nhất có công suất lớn hơn và lớn hơn 12,5 lần
Đáp án cần chọn là: D
Bài 13: Con ngựa kéo xe chuyển động đều với vận tốc 9km/h. Lực kéo là 200N. Công suất của ngựa có thể nhận giá trị nào sau đây:
A. P=1500W
B. P=500W
C. P=1000W
D. P=250W
Lời giải:
Đổi đơn vị: v = 9km/h = 2,5m/s
Ta có:
Công mà con ngựa thực hiện: A=Fs
=> Công suất của con ngựa:
Mặt khác, ta có vận tốc:
Ta suy ra:
Đáp án cần chọn là: B
Bài 14: Con lừa kéo xe chuyển động đều với vận tốc 7,2km/h. Lực kéo là 150N. Công suất của lừa có thể nhận giá trị nào sau đây:
A. P=300W
B. P=500W
C. P=1000W
D. P=250W
Lời giải:
Đổi đơn vị: v = 7,2km/h = 2m/s
Ta có:
Công mà con ngựa thực hiện: A=Fs
=> Công suất của con ngựa:
Mặt khác, ta có vận tốc:
Ta suy ra:
Đáp án cần chọn là: A
Bài 15: Công suất của một người đi bộ là bao nhiêu nếu trong 1 giờ 30 phút người đó đi được 750 bước, mỗi bước cần một công 45J.
A. P=5,55W
B. P=6,25W
C. P=20000W
D. P=333,3W
Lời giải:
Thời gian người đó đi bộ: t = (60 + 30).60 = 5400s
+ Tổng công mà người đó thực hiện trong khoảng thời gian trên là: A = 750.45 = 33750J
+ Công suất của người đi bộ đó là:
Đáp án cần chọn là: B
Bài 16: Công suất của một người đi bộ là bao nhiêu nếu trong 1 giờ 30 phút người đó đi được 650 bước, mỗi bước cần một công 50J.
A. P=55,5W
B. P=6,02W
C. P=200W
D. P=33,3W
Lời giải:
Thời gian người đó đi bộ: t = (60 + 30).60 = 5400s
+ Tổng công mà người đó thực hiện trong khoảng thời gian trên là: A = 650.50 = 32500J
+ Công suất của người đi bộ đó là:
Đáp án cần chọn là: B
Bài 17: Một người kéo đều một vật từ giếng sâu 8m lên trong 30 giây. Người ấy phải dùng một lực F = 180N. Công và công suất của người kéo là:
A. A = 1420J, P = 47,33W
B. A = 1440J, P = 48W
C. A = 1460J, P = 73W
D. Một cặp giá trị khác
Lời giải:
+ Công mà người đó thực hiện là: A = Fs = 180.8 = 1440J
+ Công suất của người kéo là:
Đáp án cần chọn là: B
Bài 18: Một người đưa thùng vữa lên cao 10m lên trong 45 giây. Người ấy phải dùng một lực F = 200N. Công và công suất của người kéo là:
A. A = 2000J, P = 47,33W
B. A = 1460J, P = 48W
C. A = 1460J, P = 73W
D. A = 2000J, P = 44,4W
Lời giải:
+ Công mà người đó thực hiện là: A = Fs = 200.10 = 2000J
+ Công suất của người kéo là:
Đáp án cần chọn là: D
Bài 19: Một cần trục nâng một vật nặng 1500N lên cao 2m trong 5s. Công của cần trục sản ra là:
A. 1500W
B. 750W
C. 600W
D. 300W
Lời giải:
+ Công mà cần trục thực hiện là: A = Fs = 1500.2 = 3000J
+ Công suất của cần trục là:
Đáp án cần chọn là: C
Bài 20: Công suất của ô tô du lịch cỡ 75kW, của ô tô loại trung bình cỡ 180kW. Công do 2 loại ô tô trên sinh ra trong 2 giờ chạy liên tục là bao nhiêu?
A. 1836000kJ
B. 510kJ
C. 30600kJ
D. Một giá trị khác
Lời giải:
t = 2h = 2.60.60 = 7200s
Ta có: Công suất:
Ta suy ra, công: A = Pt
+ Công mà ô tô du lịch thực hiện trong 22 giờ đó là:
A1 = P1t = 75.7200 = 540000kJ
+ Công mà ô tô cỡ trung thực hiện trong 22 giờ đó là:
A2 = P2t = 180.7200 = 1296000kJ
Công do hai xe trên sinh ra trong 22 giờ liên tục đó là:
A = A1 + A2 = 540000 + 1296000 = 1836000kJ
Đáp án cần chọn là: A
Bài 21: Công suất của ô tô du lịch cỡ 50kW, của ô tô tải loại trung bình cỡ 200kW. Biết 1kWh = 3600000J. Công do 2 loại ô tô trên sinh ra trong 2 giờ chạy liên tục là:
A. A1 = 3600000kJ, A2 = 14400000kJ
B. A1 = 36000kJ, A2 = 14400kJ
C. A1 = 360000kJ, A2 = 1440000kJ
D. A1 = 360kJ, A2 = 1400000kJ
Lời giải:
t = 2h = 2.60.60 = 7200s
Ta có: Công suất:
Ta suy ra, công: A=Pt
+ Công mà ô tô du lịch thực hiện trong 22 giờ đó là:
A1= P1t = 50.7200 = 360000kJ
+ Công mà ô tô cỡ trung thực hiện trong 22 giờ đó là:
A2 = P2t = 200.7200 = 1440000kJ
Đáp án cần chọn là: C
Bài 22: Một tòa nhà cao 7 tầng, mỗi tầng cao 3,4m, có một thang máy chở tối đa 20 người, mỗi người có khối lượng trung bình 50kg. Mỗi chuyến lên tầng 7 nếu không dừng thì mất 1 phút. Hỏi công suất tối thiểu của động cơ thang máy là bao nhiêu?
A. P = 34000W
B. P = 1,2kW
C. P = 3,4kW
D. Một giá trị khác
Lời giải:
- Để lên đến tầng 7, thang máy phải vượt qua 6 tầng, nên phải lên cao
h = 3,4.6 = 20,4m
- Khối lượng của 20 người là: m = 20.50 = 1000kg
+ Trọng lượng của 20 người là: P = 10m = 10.1000 = 10000N
+ Công phải tốn cho mỗi lần thang máy lên tầng 6 là:
A = Ph = 10000.20,4 = 204000J
+ Công suất tổi thiểu của động cơ kéo thang máy lên là:
Đáp án cần chọn là: C
Bài 23: Một tòa nhà cao 10 tầng, mỗi tầng cao 3,4m, có một thang máy chở tối đa 20 người, mỗi người có khối lượng trung bình 50kg. Mỗi chuyến lên tầng 10 nếu không dừng thì mất 1 phút. Hỏi công suất tối thiểu của động cơ thang máy là bao nhiêu?
A. P = 34000W
B. P = 1,2kW
C. P = 3,4kW
D. P=5,1kW
Lời giải:
- Để lên đến tầng 10, thang máy phải vượt qua (10−1) = 9 tầng, nên phải lên cao
h = 3,4.9 = 30,6m
- Khối lượng của 20 người là: m = 20.50 = 1000kg
+ Trọng lượng của 20 người là: P = 10m = 10.1000 = 10000N
+ Công phải tốn cho mỗi lần thang máy lên tầng 10 là:
A = Ph = 10000.30,6 = 306000J
+ Công suất tổi thiểu của động cơ kéo thang máy lên là:
Đáp án cần chọn là: D
Bài 24: Một dòng nước chảy qua đập ngăn cao 30m xuống dưới, biết rằng lưu lượng dòng nước là 125m3/ph, khối lượng riêng của nước là 1000kg/m3. Công suất của dòng nước có thể nhận giá trị nào sau đây?
A. 625kW
B. 625MW
C. 625000kW
D. Một giá trị khác
Lời giải:
Ta có:
1 phút = 60s
+ Khối lượng của 1m3 nước là: m1 = 1000kg
=> Trọng lượng của 1m3 nước là: P1 = 10.1000 = 10000N
Trong thời gian 1 phút có 125m3 nước rơi từ độ cao 30m xuống dưới
+ Trọng lượng tổng cộng của 125m3 nước là:
P2 = 125P1 = 125.10000 = 1250000N
+ Công thực hiện trong thời gian đó:
A = P2.h = 1250000.30 = 37500000J
+ Công suất của dòng nước là:
Đáp án cần chọn là: A
Bài 25: Công suất của dòng nước chảy qua đập ngăn cao 25m xuống dưới, biết lưu lượng dòng nước là 120m3/ph, khối lượng riêng của nước là 1000kg/m3:
A. 500kW
B. 500MW
C. 500000kW
D. Một giá trị khác
Lời giải:
Ta có:
1 phút = 60s
+ Khối lượng của 1m3 nước là: m1 = 1000kg
=> Trọng lượng của 1m3 nước là: P1 = 10.1000 = 10000N
Trong thời gian 1 phút có 120m3 nước rơi từ độ cao 25m xuống dưới
+ Trọng lượng tổng cộng của 120m3 nước là:
P2 = 120P1 = 120.10000 = 1200000N
+ Công thực hiện trong thời gian đó: A = P2.h = 1200000.25 = 30000000J
+ Công suất của dòng nước là:
Đáp án cần chọn là: A
Bài 26: Máy bay trực thăng khi cất cánh, động cơ tạo ra một lực phát động 10500N, sau 1 phút 30 giây máy bay đạt độ cao 850m. Công suất của động cơ máy bay có thể nhận giá trị:
A. P = 1062W
B. P = 991666,67W
C. P = 99,17kW
D. Một giá trị khác
Lời giải:
t = 1 phút 30 giây = 60 + 30 = 90s
+ Công của động cơ máy bay thực hiện được là: A = Fs = 10500.850 = 8925000J
+ Công suất của động cơ máy bay:
Đáp án cần chọn là: C
Bài 27: Một máy bay trực thăng khi cất cánh, động cơ tạo ra một lực phát động 10000N, sau 2 phút máy bay đạt độ cao 800m. Công suất của động cơ máy bay có thể nhận giá trị:
A. P = 66666,67W
B. P = 666666,67W
C. P = 6,67kW
D. Một giá trị khác
Lời giải:
t = 2 = 60.2 = 120s
+ Công của động cơ máy bay thực hiện được là: A = Fs = 10000.800 = 8000000J
+ Công suất của động cơ máy bay:
Đáp án cần chọn là: A
Bài 28: Để kéo vật lên cao 5m người ta dùng một lực tối thiểu 850N. Cũng để thực hiện việc này người ta dùng một máy nâng có công suất P = 1450W và có hiệu suất 75%. Thời gian máy thực hiện công việc trên là bao nhiêu?
A. 3,9 giây
B. 390 giây
C. 39 giây
D. 3900 giây
Lời giải:
+ Công cần để kéo vật lên độ cao đó là: A1 = Fs = 850.5 = 4250J
+ Khi dùng máy nâng, với hiệu suất 75% thì công toàn phần mà máy nâng dùng để nâng vật là:
+ Thời gian máy thực hiện công việc đó là:
Đáp án cần chọn là: A
Bài 29: Một người kéo vật lên cao 8m dùng một lực tối thiểu 500N. Cũng để thực hiện việc này người ta dùng một máy nâng có công suất P =1250W và có hiệu suất 80%. Thời gian máy thực hiện công việc trên là bao nhiêu?
A. 3 giây
B. 4 giây
C. 5 giây
D. 6 giây
Lời giải:
+ Công cần để kéo vật lên độ cao đó là: A1 = Fs = 500.8 = 4000J
+ Khi dùng máy nâng, với hiệu suất 75% thì công toàn phần mà máy nâng dùng để nâng vật là:
+ Thời gian máy thực hiện công việc đó là:
Đáp án cần chọn là: B
Bài 30: Một máy bơm nước lên cao 6,2m. Trong mỗi giây máy sinh công 7500J. Hỏi máy hoạt động liên tục trong 1 giờ, thể tích nước mà máy bơm chuyển được lên cao là bao nhiêu? Biết trọng lượng riêng của nước là 10000N/m3.
A. 324,6m3
B. 1000m3
C. 133,7m3
D. 435,5m3
Lời giải:
Đổi đơn vị:
1 giờ = 60.60 = 3600s
+ Lực cần để máy bơm đưa nước lên cao h = 6,2m là:
+ Vì nước được máy bơm đưa lên cao nên nước chịu tác dụng của hai lực cân bằng hay: F = P
Ta có: P = dV
Thể tích nước được bơm trong 1 giờ là:
Đáp án cần chọn là: D
Bài 31: Một máy bơm bơm nước lên cao 3m. Trong mỗi giây máy sinh công 7500J. Hỏi máy hoạt động liên tục trong 1 giờ, thể tích nước mà máy bơm chuyển được lên cao là bao nhiêu? Biết trọng lượng riêng của nước là 10000N/m3.
A. 90m3
B. 9000m3
C. 9m3
D. 900m3
Lời giải:
Đổi đơn vị:
1 giờ = 60.60 = 3600s
+ Lực cần để máy bơm đưa nước lên cao h = 3m là:
+ Vì nước được máy bơm đưa lên cao nên nước chịu tác dụng của hai lực cân bằng hay: F = P
Ta có: P = dV 
Thể tích nước được bơm trong 1 giờ là:
Đáp án cần chọn là: D
Bài 32: Một máy bơm chạy bằng động cơ điện tiêu thụ công suất 7,5kW.Trong 1 giây máy hút 60 lít nước lên cao 7,5m. Hiệu suất của máy bơm là bao nhiêu? Biết trọng lượng riêng của nước là 10000N/m3.
A. 52%
B. 60%
C. 45%
D. 80%
Lời giải:
+ Đổi đơn vị: 60l = 0,06m3
+ Trọng lượng của 60l là: P = dV = 10000.0,06 = 600N
+ Công có ích để máy bơm bơm nước lên là: A1 = P.h = 600.7,5 = 4500J
+ Công máy bơm thực hiện được trong một giây là: A = Pt = 7,5.1000.1 = 7500J
+ Hiệu suất của máy bơm là:
Đáp án cần chọn là: B
Bài 33: Một máy bơm chạy bằng động cơ điện tiêu thụ công suất 7,5kW. Trong 1 giây máy hút 200 lít nước lên cao 3m. Hiệu suất của máy bơm là bao nhiêu? Biết trọng lượng riêng của nước là 10000N/m3.
A. 52%
B. 60%
C. 45%
D. 80%
Lời giải:
+ Đổi đơn vị: 200l = 0,2m3
+ Trọng lượng của 60l là: P = dV = 10000.0,2 = 2000N
+ Công có ích để máy bơm bơm nước lên là: A1 = P.h = 2000.3 = 6000J
+ Công máy bơm thực hiện được trong một giây là: A = Pt = 7,5.1000.1 = 7500J
+ Hiệu suất của máy bơm là:
Đáp án cần chọn là: D
Bài 34: Một máy khi hoạt động với công suất P = 1600W thì nâng được vật nặng m = 70kg lên đến độ cao 36m trong 36s. Công mà máy đã thực hiện trong thời gian nâng vật và hiệu suất của máy trong quá trình làm việc lần lượt là:
A. A = 576000J; H = 43,75%
B. A = 57600J; H = 43,75%
C. A = 57600kJ; H = 43,75%
D. A = 5760J; H = 43,75%
Lời giải:
+ Trọng lượng của vật nặng là: P = 10m = 10.70 = 700N
+ Công có ích để đưa vật lên là: A1 = P.h = 700.36 = 25200J
+ Công của máy hoạt động khi đưa vật lên trong 36s là: A = Pt = 1600.36 = 57600J
+ Hiệu suất của máy bơm là:
Đáp án cần chọn là: B
Bài 35: Cần cẩu nâng một vật nặng 4000N lên cao 2m. Cần một công suất là 1600W. Thời gian cần thiết đẻ cần cẩu đó nâng một vật là:
A. 5s
B. 20s
C. 10s
D. 15s
Lời giải:
Công để đưa vật nặng là: A = P.h = 4000.2 = 8000J
Thời gian cần thiết để cần cẩu nâng vật:
Đáp án cần chọn là: A
Bài 36: Một con ngựa kéo một cái xe với một lực không đổi bằng 80N và đi được 4,5km trong nửa giờ. Công và công suất trung bình của con ngựa là:
A. 360000J; 200W
B. 36000J; 20W
C. 3600000J; 2000W
D. 360000J; 200kW
Lời giải:
Đổi đơn vị: s = 4,5km = 4500m
t = 0,5h = 0,5.60.60 = 1800s
Ta có:
Công mà con ngựa thực hiện: A = F.s = 80.4500 = 360000J
Công suất trung bình của con ngựa:
Đáp án cần chọn là: A
Bài 37: Một người kéo một vật từ giếng sâu 8m lên đều trong 20s. Người ấy phải dùng một lực F = 180N. Công và công suất của người kéo lần lượt là:
A. 1420J; 71W
B. 1420J; 72W
C. 1460J; 73W
D. 1440J; 72W
Lời giải:
Ta có:
Công mà người kéo thực hiện: A = F.s = 180.8 = 1440J
Công suất trung bình của con ngựa:
Đáp án cần chọn là: D
Bài 38: Người ta muốn nâng một vật khối lượng 200kg lên cao 7,5m với vận tốc không đổi trong khoảng thời gian 5s. Hỏi dùng động cơ nào trong các động cơ sau là thích hợp nhất?
A. Động cơ công suất 1kW
B. Động cơ công suất 3,5kW
C. Động cơ công suất 6kW
D. Động cơ công suất 10kW
Lời giải:
Ta có:
Trọng lượng vật cần nâng là: P = 10m = 10.200 = 2000N
Muốn nâng vật với vận tốc không đổi thì lực nâng động cơ bằng với trọng lượng của vật.
Công mà động cơ cần thực hiện: A = F.s = 2000.7,5 = 15000J
Công suất trung bình của con ngựa:
Như vậy, dùng động cơ 3,5kW sẽ thích hợp nhất, động cơ 1kW không đủ khả năng nâng vật, hai động cơ còn lại có công suất quá lớn sẽ nâng vật lên quá nhanh.
Đáp án cần chọn là: B
Bài 39: Một thang máy có khối lượng 200kg, chứa 8 người. Thang máy lên đều, sau 20s lên cao được 50m. Công suất của động cơ thang máy là (Coi khối lượng trung bình mỗi người là 50kg)
A. 30kW
B. 15kW
C. 22,5kW
D. 27,5kW
Lời giải:
Trọng lượng thang máy là Pt = 10mt = 10.200 = 2000N
Trọng lượng người trong thang máy là: Pn = 10mn = 10.8.50 = 4000N
Muốn thang máy chuyển động đều thì lực kéo thang máy phải có cường độ:
F = Pt + Pn = 2000 + 4000 = 6000N
Công của động cơ thang máy thực hiện là: A = F.h = 6000.50 = 300000J
Công suất của động cơ thang máy:
Đáp án cần chọn là: B
(199k) Học KHTN 8 KNTTHọc KHTN 8 CDHọc KHTN 8 CTST
Xem thêm câu hỏi & bài tập trắc nghiệm Vật Lí lớp 8 chọn lọc, có đáp án mới nhất hay khác:
- 38+ Bài tập trắc nghiệm Cơ năng; Sự chuyển hóa và bảo toàn cơ năng (có lời giải)
- 35+ Bài tập Các chất được cấu tạo như thế nào; Nguyên tử, phân tử chuyển động hay đứng yên (có lời giải)
- 41+ Bài tập trắc nghiệm Nhiệt năng (có lời giải)
- 48+ Bài tập trắc nghiệm Dẫn nhiệt; Đối lưu; Bức xạ nhiệt (có lời giải)
- 35+ Bài tập trắc nghiệm Công thức tính nhiệt lượng (có lời giải)
Xem thêm các loạt bài Để học tốt môn Vật Lí 8 hay khác:
Tủ sách VIETJACK shopee lớp 6-8 (2025):
Đã có app VietJack trên điện thoại, giải bài tập SGK, SBT Soạn văn, Văn mẫu, Thi online, Bài giảng....miễn phí. Tải ngay ứng dụng trên Android và iOS.
Theo dõi chúng tôi miễn phí trên mạng xã hội facebook và youtube:Loạt bài Lý thuyết - Bài tập Vật Lý 8 có đáp án của chúng tôi được biên soạn bám sát nội dung chương trình Vật Lý lớp 8.
Nếu thấy hay, hãy động viên và chia sẻ nhé! Các bình luận không phù hợp với nội quy bình luận trang web sẽ bị cấm bình luận vĩnh viễn.
- Giải Tiếng Anh 8 Global Success
- Giải sgk Tiếng Anh 8 Smart World
- Giải sgk Tiếng Anh 8 Friends plus
- Lớp 8 - Kết nối tri thức
- Soạn văn 8 (hay nhất) - KNTT
- Soạn văn 8 (ngắn nhất) KNTT
- Giải sgk Toán 8 - KNTT
- Giải sgk Khoa học tự nhiên 8 - KNTT
- Giải sgk Lịch Sử 8 - KNTT
- Giải sgk Địa Lí 8 - KNTT
- Giải sgk Giáo dục công dân 8 - KNTT
- Giải sgk Tin học 8 - KNTT
- Giải sgk Công nghệ 8 - KNTT
- Giải sgk Hoạt động trải nghiệm 8 - KNTT
- Giải sgk Âm nhạc 8 - KNTT
- Lớp 8 - Chân trời sáng tạo
- Soạn văn 8 (hay nhất) - CTST
- Soạn văn 8 (ngắn nhất) - CTST
- Giải sgk Toán 8 - CTST
- Giải sgk Khoa học tự nhiên 8 - CTST
- Giải sgk Lịch Sử 8 - CTST
- Giải sgk Địa Lí 8 - CTST
- Giải sgk Giáo dục công dân 8 - CTST
- Giải sgk Tin học 8 - CTST
- Giải sgk Công nghệ 8 - CTST
- Giải sgk Hoạt động trải nghiệm 8 - CTST
- Giải sgk Âm nhạc 8 - CTST
- Lớp 8 - Cánh diều
- Soạn văn 8 Cánh diều (hay nhất)
- Soạn văn 8 Cánh diều (ngắn nhất)
- Giải sgk Toán 8 - Cánh diều
- Giải sgk Khoa học tự nhiên 8 - Cánh diều
- Giải sgk Lịch Sử 8 - Cánh diều
- Giải sgk Địa Lí 8 - Cánh diều
- Giải sgk Giáo dục công dân 8 - Cánh diều
- Giải sgk Tin học 8 - Cánh diều
- Giải sgk Công nghệ 8 - Cánh diều
- Giải sgk Hoạt động trải nghiệm 8 - Cánh diều
- Giải sgk Âm nhạc 8 - Cánh diều


Giải bài tập SGK & SBT
Tài liệu giáo viên
Sách
Khóa học
Thi online
Hỏi đáp

