25+ Bài tập trắc nghiệm Phương trình cân bằng nhiệt (có lời giải)
Tài liệu bài tập trắc nghiệm Phương trình cân bằng nhiệt lớp 8 có lời giải mới nhất với câu hỏi & bài tập đa dạng đầy đủ các mức độ nhận biết, thông hiểu, vận dụng, vận dụng cao giúp bạn biết cách làm bài tập Vật Lí 8.
25+ Bài tập trắc nghiệm Phương trình cân bằng nhiệt (có lời giải)
(199k) Học KHTN 8 KNTTHọc KHTN 8 CDHọc KHTN 8 CTST
Bài 1: Nếu hai vật có nhiệt độ khác nhau đặt tiếp xúc nhau thì
A. Quá trình truyền nhiệt dừng lại khi nhiệt độ hai vật như nhau.
B. Quá trình truyền nhiệt dừng lại khi nhiệt độ một vật đạt 00C
C. Quá trình truyền nhiệt tiếp tục cho đến khi nhiệt năng hai vật như nhau.
D. Quá trình truyền nhiệt cho đến khi nhiệt dung riêng hai vật như nhau
Lời giải:
Ta có: Sự truyền nhiệt xảy ra cho đến khi nhiệt độ của 2 vật cân bằng nhau thì ngừng lại.
Đáp án cần chọn là: A
Bài 2: Nếu hai vật có nhiệt độ khác nhau đặt tiếp xúc nhau, quá trình truyền nhiệt dừng lại khi:
A. một vật đạt nhiệt độ 00C
B. nhiệt độ hai vật bằng nhau.
C. nhiệt năng hai vật bằng nhau.
D. nhiệt dung riêng hai vật bằng nhau.
Lời giải:
Ta có: Sự truyền nhiệt xảy ra cho đến khi nhiệt độ của 2 vật cân bằng nhau thì ngừng lại.
Đáp án cần chọn là: B
Bài 3: Điều nào sau đây đúng với nguyên lí truyền nhiệt?
A. Nhiệt tự truyền từ vật có nhiệt độ thấp hơn sang vật có nhiệt độ cao hơn .
B. Nhiệt tự truyền từ vật có nhiệt độ cao hơn sang vật có nhiệt độ thấp hơn.
C. Nhiệt truyền từ vật có nhiệt dung riêng cao hơn sang vật có nhiệt dung riêng thấp hơn.
D. Nhiệt truyền từ vật có nhiệt dung riêng thấp hơn sang vật có nhiệt dung riêng cao hơn.
Lời giải:
Ta có: Nhiệt tự truyền từ vật có nhiệt độ cao hơn sang vật có nhiệt độ thấp hơn.
Đáp án cần chọn là: B
Bài 4: Nguyên lí truyền nhiệt là:
A. Nhiệt truyền từ vật có nhiệt độ cao hơn sang vật có nhiệt độ thấp hơn.
B. Sự truyền nhiệt xảy ra cho đến khi nhiệt độ của 2 vật cân bằng nhau thì ngừng lại.
C. Nhiệt lượng của vật này toả ra bằng nhiệt lượng của vật kia thu vào.
D. Tất cả đáp án trên.
Lời giải:
Nguyên lý truyền nhiệt là
- Nhiệt truyền từ vật có nhiệt độ cao hơn sang vật có nhiệt độ thấp hơn.
- Sự truyền nhiệt xảy ra cho đến khi nhiệt độ của 2 vật cân bằng nhau thì ngừng lại.
- Nhiệt lượng của vật này toả ra bằng nhiệt lượng của vật kia thu vào.
Đáp án cần chọn là: D
Bài 5: Phương trình nào sau đây là phương trình cân bằng nhiệt?
A. Qtỏa + Qthu = 0
B. Qtỏa = Qthu
C. Qtỏa . Qthu = 0
D. 
Lời giải:
Ta có, phương trình cân bằng nhiệt
Qtỏa ra = Qthu vào
Trong đó:
+ Qtỏa ra: tổng nhiệt lượng của các vật tỏa ra
+ Qthu vào: tổng nhiệt lượng của các vật thu vào
Đáp án cần chọn là: B
Bài 6: Đổ 5 lít nước ở 200C vào 3 lít nước ở 450C. Nhiệt độ khi cân bằng là:
A. 2,940C
B. 293,750C
C. 29,360C
D. 29,40C
Lời giải:
+ Đổi đơn vị:
5l nước = 5kg
3l nước = 3kg
+ Gọi nhiệt độ khi cân bằng là t
Ta có:
- Nhiệt lượng thu vào của 5l nước là: Q1 = m1c(t−t1)
- Nhiệt lượng tỏa ra của 3l3l nước là: Q2 = m2c(t2−t)
Ta có:
+ Áp dụng phương trình cân bằng nhiệt, ta có:
Q1 = Q2 ↔ m1c(t−t1) = m2c(t2−t)
↔ m1(t−t1) = m2(t2−t)
↔ 5(t−20) = 3(45−t)
→ t = 29,375 ≈ 29,4
Vậy nhiệt độ khi cân bằng là 29,40C
Đáp án cần chọn là: D
Bài 7: Một học sinh thả 300g chì ở 1000C vào 250g nước ở 600C. Biết nhiệt dung riêng của chì là 130J/kg.K, của nước là 4200J/kg.K. Nhiệt độ khi cân bằng là:
A. 610C
B. 680C
C. 750C
D. 820C
Lời giải:
+ Gọi nhiệt độ khi cân bằng là t
Ta có:
- Nhiệt lượng thu vào của chì là: Q1 = m1c1(t−t1)
- Nhiệt lượng tỏa ra của nước là: Q2 = m2c2(t2−t)
Ta có:
+ Áp dụng phương trình cân bằng nhiệt, ta có:
Q1 = Q2 ↔ m1c1(t−t1) = m2c2(t2−t)
↔ 0.3.130(100 − t) = 0,25.4200(t − 60)
→ t ≈ 610C
Vậy nhiệt độ khi cân bằng là 610C
Đáp án cần chọn là: A
Bài 8: Thả một miếng thép 2kg đang ở nhiệt độ 3450C vào một bình đựng 3 lít nước. Sau khi cân bằng nhiệt độ cuối cùng là 300C. Bỏ qua sự tỏa nhiệt ra môi trường. Biết nhiệt dung riêng của thép, nước lần lượt là 460J/kg.K, 4200J/kg.K. Nhiệt độ ban đầu của nước là:
A. 70C
B. 170C
C. 270C
D. 370C
Lời giải:
Đổi đơn vị: Khối lượng của 3l nước = 3kg
+ Gọi nhiệt độ ban đầu của nước là t0
- Nhiệt lượng của miếng thép tỏa ra là:
Q1 = m1c1Δt1 = 2.460(345 − 30) = 289800J
- Nhiệt lượng mà nước thu vào: Q2 = m2c2Δt2 = 3.4200(30 − t0)
+ Áp dụng phương trình cân bằng nhiệt, ta có:
Q1 = Q2 ↔ 289800 = 3.4200(30−t)
→t = 7
Vậy nhiệt độ ban đầu của nước là: t0 = 70C
Đáp án cần chọn là: A
Bài 9: Thả một thỏi sắt có m1 = 2kg ở nhiệt độ 1400C vào một xô nước chứa m2 = 4,5kg nước. Sau khi cân bằng nhiệt độ cuối cùng là 270C. Bỏ qua sự tỏa nhiệt ra môi trường. Biết nhiệt dung riêng của sắt, nước lần lượt là 460J/kg.K, 4200J/kg.K.
Nhiệt độ ban đầu của nước là:
A. 21,50C
B. 170C
C. 270C
D. 370C
Lời giải:
+ Gọi nhiệt độ ban đầu của nước là t0
- Nhiệt lượng của thỏi sắt tỏa ra là: Q1 = m1c1Δt1 = 2.460(140 − 27) = 103960J
- Nhiệt lượng mà nước thu vào: Q2 = m2c2Δt2 = 4,5.4200(27 − t0)
+ Áp dụng phương trình cân bằng nhiệt, ta có:
Q1 = Q2 ↔ 103960 = 4,5.4200(27 − t0) → t0 = 21,50C
Vậy nhiệt độ ban đầu của nước là: t0 = 21,50C
Đáp án cần chọn là: A
Bài 10: Thả một quả cầu nhôm khối lượng 0,15kg được đun nóng tới 1000C vào một cốc nước ở 200C. Sau một thời gian, nhiệt độ của quả cầu và của nước đều bằng 250C. Coi quả cầu và nước chỉ truyền nhiệt cho nhau. Biết nhiệt dung riêng của nhôm và nước là 880J/kg.k và 4200J/kg.K. Khối lượng của nước là:
A. 0,47g
B. 0,47kg
C. 2kg
D. 2g
Lời giải:
Ta có:
Nhôm:
Nước:
Nhiệt độ cân bằng: t = 250C
+ Nhiệt lượng mà quả cầu nhôm tỏa ra là: Q1 = m1c1(t1 − t)
+ Nhiệt lượng mà nước nhận được là: Q2 = m2c2(t − t2)
+ Áp dụng phương trình cân bằng nhiệt, ta có:
Q1 = Q2 ↔ m1c1(t1−t) = m2c2(t−t2)
↔ 0,15.880(100−25) = m2.4200(25−20)
→ m2 = 0,471kg
Đáp án cần chọn là: B
Bài 11: Thả một quả cầu bằng đồng khối lượng 500g được đun nóng tới 1000C vào một cốc nước ở 250C. Sau một thời gian, nhiệt độ của quả cầu và của nước đều bằng 350C. Coi quả cầu và nước chỉ truyền nhiệt cho nhau. Biết nhiệt dung riêng của đồng và nước là 380J/kg.K và 4200J/kg.K. Khối lượng của nước là:
A. 0,476g
B. 0,47kg
C. 0,294kg
D. 2g
Lời giải:
Ta có:
Đồng:
Nước:
Nhiệt độ cân bằng: t = 350C
+ Nhiệt lượng mà quả cầu đồng tỏa ra là: Q1 = m1c1(t1−t)
+ Nhiệt lượng mà nước nhận được là: Q2 = m2c2(t−t2)
+ Áp dụng phương trình cân bằng nhiệt, ta có:
Q1 = Q2 ↔ m1c1(t1−t) = m2c2(t−t2)
↔ 0,5.380(100−35) = m2.4200(35−25)
→ m2 = 0,294kg
Đáp án cần chọn là: C
Bài 12: Nhúng một thỏi sắt khối lượng 3kg ở 5000C vào 5kg nước ở 150C. Biết nhiệt dung riêng của sắt và của nước lần lượt là: 460J/kg.K, 4200J/kg.K. Nhiệt độ khi cân bằng là:
A. 440C
B. 44,90C
C. 450C
D. 45,90C
Lời giải:
Gọi nhiệt độ khi cân bằng là t
Thỏi sắt:
Nước:
+ Nhiệt lượng thỏi sắt tỏa ra là: Q1 = m1c1(t1−t)
Nhiệt lượng nước thu vào là: Q2 = m2c2(t−t2)
+ Áp dụng phương trình cân bằng nhiệt, ta có:
Q1 = Q2 ↔ m1c1(t1−t) = m2c2(t−t2)
↔ 3.460(500−t) = 5.4200(t−15)
→ t = 44,9
Vậy nhiệt độ khi cân bằng là t = 44,90C
Đáp án cần chọn là: B
Bài 13: Thả một thỏi sắt có khối lượng m1 = 1kg ở nhiệt độ t1 = 1400C vào một xô nước chứa m2 = 4,5kg nước ở nhiệt độ t2 = 240C. Cho nhiệt dung riêng của sắt c1 = 460J/kg.K; của nước là 4200J/kg.K. Nhiệt độ cân bằng nhiệt là:
A. t = 26,60C
B. t = 26,40C
C. t = 26,80C
D. t = 26,20C
Lời giải:
Gọi nhiệt độ khi cân bằng là t
Thỏi sắt:
Nước:
+ Nhiệt lượng thỏi sắt tỏa ra là: Q1 = m1c1(t1−t)
Nhiệt lượng nước thu vào là: Q2 = m2c2(t−t2)
+ Áp dụng phương trình cân bằng nhiệt, ta có:
Q1 = Q2 ↔ m1c1(t1−t) = m2c2(t−t2)
↔ 1.460(140−t) = 4,5.4200(t−24)
→ t = 26,80C
Vậy nhiệt độ khi cân bằng là t = 26,80C
Đáp án cần chọn là: C
Bài 14: Một nhiệt lượng kế chứa 2 lít nước ở nhiệt độ 150C. Hỏi nước nóng lên tới bao nhiêu độ nếu bỏ vào nhiệt lượng kế một quả cân bằng đồng thau khối lượng 500g được nung nóng tới 1000C. Lấy nhiệt dung riêng của đồng thau là 368J/kg.K, của nước là 4186J/kg.K. Bỏ qua nhiệt lượng truyền cho nhiệt lượng kế và môi trường.
A. t = 28,620C
B. t = 16,820C
C. t = 26,820C
D. t = 18,720C
Lời giải:
Đổi đơn vị: Khối lượng của 2l nước = 2kg
Gọi nhiệt độ khi cân bằng là t
Đồng thau:
Nước:
+ Nhiệt lượng đông thau tỏa ra là: Q1 = m1c1(t1−t)
Nhiệt lượng nước thu vào là: Q2 = m2c2(t−t2)
+ Áp dụng phương trình cân bằng nhiệt, ta có:
Q1 = Q2 ↔ m1c1(t1−t) = m2c2(t−t2)
↔ 0,5.368(100−t) = 2.4186(t−15)
→ t = 16,820C
Vậy nhiệt độ khi cân bằng là t = 16,820C
Đáp án cần chọn là: B
Bài 15: Người ta muốn pha nước tắm với nhiệt độ 380C. Phải pha thêm bao nhiêu lít nước sôi vào 15 lít nước lạnh ở 240C.
A. 2,5 lít
B. 3,38 lít
C. 4,2 lít
D. 5 lít
Lời giải:
Đổi đơn vị: 15l nước ứng với 15kg
Ta có:
Nhiệt độ cân bằng của nước pha là: t = 380C
Nước sôi:
Nước lạnh:
+ Nhiệt lượng mà nước sôi tỏa ra là: Q1 = m1c(t1−t)
+ Nhiệt lượng mà 15l nước lạnh nhận được là: Q2 = m2c(t−t2)
+ Áp dụng phương trình cân bằng nhiệt, ta có:
Q1 = Q2 ↔ m1c(t1−t) = m2c(t−t2)
↔ m1(t1−t) = m2(t−t2)
↔ m1(100−38) = 15(38−24)
→ m1 = 3,38kg
Vậy phải pha thêm 3,38kg hay 3,38l nước sôi vào 15l nước lạnh ở 240C để pha được nước tắm ở nhiệt độ 380C
Đáp án cần chọn là: B
Bài 16: Pha một lượng nước ở 800C vào bình chứa 9 lít nước đang ở nhiệt độ 220C. Nhiệt độ cuối cùng khi có sự cân bằng nhiệt là 360C. Lượng nước đã pha thêm vào bình là:
A. 28,6kg
B. 2,86kg
C. 2,86g
D. 28,6g
Lời giải:
Đổi đơn vị: 9l nước ứng với 9kg
Ta có:
Nhiệt độ cân bằng của nước pha là: t = 360C
Nước ở 800C :
Nước ở 220C :
+ Nhiệt lượng mà nước ở 800C tỏa ra là: Q1 = m1c(t1 − t)
+ Nhiệt lượng mà nước ở 220C nhận được là: Q2 = m2c(t − t2)
+ Áp dụng phương trình cân bằng nhiệt, ta có:
Q1 = Q2 ↔ m1c(t1 − t) = m2c(t − t2)
↔ m1(t1 − t) = m2(t − t2)
↔ m1(80 − 36) = 9(36−22)
→ m1=2,86kg
Vậy phải pha 2,86kg hay 2,86lít nước ở 800C vào bình chứa 9lit nước đang ở nhiệt độ 220C để thu được nước ở nhiệt độ 360C.
Đáp án cần chọn là: B
Bài 17: Người ta thả một miếng đồng khối lượng 0,5kg vào 500g nước. Miếng đồng nguội đi từ 800C xuống 200C. Hỏi nước nóng lên thêm bao nhiêu độ? Biết nhiệt dung riêng của đồng là 380 J/kg.K và của nước là 4200 J/kg.K
A. 5,430C
B. 6,430C
C. 7,430C
D. 8,430C
Lời giải:
Ta có:
+ Nhiệt lượng mà miếng đồng tỏa ra là:Q1 = mCu.cCu(80 − 20) = 0, 5.380(80 − 20) = 11400J
+ Nhiệt lượng mà nước nhận được là: Q2=mnuoc.cnuoc.Δt
Mặt khác, theo phương trình cân bằng nhiệt, ta có:
Q1 = Q2 = 11400J
Ta suy ra:
Vậy nước nóng thêm được 5,430C
Đáp án cần chọn là: A
Bài 18: Người ta thả một miếng đồng khối lượng 600g ở nhiệt độ 1000C vào 2,5kg nước. Nhiệt độ khi có sự cân bằng nhiệt là 300C. Hỏi nước nóng lên thêm bao nhiêu độ, nếu bỏ qua sự trao đổi nhiệt với bình đựng nước và nhiệt độ bên ngoài. Biết nhiệt dung riêng của đồng là 380J/kg.K và của nước là 4200 J/kg.K
A. 3,520C
B. 1,430C
C. 2,430C
D. 1,520C
Lời giải:
Ta có:
+ Nhiệt lượng mà miếng đồng tỏa ra là:Q1 = mCu.cCu(t1 − t) = 0, 6.380(100 − 30) = 15960J
+ Nhiệt lượng mà nước nhận được là: Q2=mnuoc.cnuoc.Δt
Mặt khác, theo phương trình cân bằng nhiệt, ta có:
Q1 = Q2 = 15960J
Ta suy ra:
Vậy nước nóng thêm được 1,520C
Đáp án cần chọn là: D
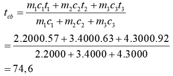
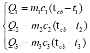
Bài 19: Trộn ba chất lỏng không có tác dụng hóa học với nhau có khối lượng lần lượt là: m1 = 2kg, m2 = 3kg, m3 = 4kg. Biết nhiệt dung riêng và nhiệt độ của chúng lần lượt là: c1 = 2000J/kh.K, t1 = 570C, c2 = 4000J/kh.K, t2 = 630C, c3 = 3000J/kh.K, t3 = 920C. Nhiệt độ hỗn hợp khi cân bằng là:
A. 60,60C
B. 74,60C
C. 80,60C
D. 900C
Lời giải:
* Cách 1:
+ Giả sử rằng, thoạt đầu ta trộn hai chất có nhiệt độ thấp hơn với nhau ta thu được một hỗn hợp có nhiệt độ cân bằng là t′ < t3, ta có phương trình cân bằng nhiệt:
Q1 = Q2 ↔ m1c1(t′−t1) = m2c2(t2−t′) (1)
+ Sau đó, ta đem hỗn hợp trộn với chất thứ 3 ta thu được hỗn hợp 3 chất có nhiệt độ cân bằng tcb(t′ < tcb < t3), ta có phương trình cân bằng nhiệt:
(m1c1 + m2c2)(tcb−t′) = m3c3(t3−tcb) (2)
Thế (1) vào (2), ta suy ra:
Thay số vào, ta được:
Vậy nhiệt độ hỗn hợp khi cân bằng là: tcb = 74,60C
* Cách 2:
Gọi nhiệt độ của hỗn hợp khi cân bằng nhiệt là tcb
Áp dụng công thức: Q1 + Q2 + … + Qn = 0 (1)
Ta có:
Thay vào (1), ta được:
m1c1(tcb – t1) + m2c2(tcb – t2) + m3t3(tcb – t3) = 0
Vậy nhiệt độ hỗn hợp khi cân bằng là: tcb = 74,60C
Đáp án cần chọn là: B
Bài 20: Người ta đổ vào nhiệt lượng kế ba chất lỏng có khối lượng, nhiệt độ và nhiệt dung riêng lần lượt là: m1 = 1kg, m2 = 10kg, m3 = 5kg; t1 = 60C, t2 = -400C, t3 = 600C; c1 = 2000J/kg.K, c2 = 4000J/kg.K, c3 = 2000J/kg.K. Bỏ qua sự truyền nhiệt cho nhiệt lượng kế, nhiệt độ của hỗn hợp khi cân bằng:
A. 20,60C
B. −190C
C. 30,60C
D. −150C
Lời giải:
* Cách 1:
+ Giả sử rằng, thoạt đầu ta trộn hai chất có nhiệt độ thấp hơn với nhau ta thu được một hỗn hợp có nhiệt độ cân bằng là t ′ < t3, ta có phương trình cân bằng nhiệt:
Q1 = Q2 ↔ m1c1(t′−t1) = m2c2(t2−t′) (1)
+ Sau đó, ta đem hỗn hợp trộn với chất thứ 3 ta thu được hỗn hợp 3 chất có nhiệt độ cân bằng tcbtcb(t′ < tcb < t3), ta có phương trình cân bằng nhiệt:
(m1c1+m2c2)(tcb−t′) = m3c3(t3−tcb) (2)
Thế (1) vào (2), ta suy ra:
Thay số vào, ta được:

Vậy nhiệt độ hỗn hợp khi cân bằng là: tcb = −190C
* Cách 2:
Gọi nhiệt độ của hỗn hợp khi cân bằng nhiệt là tcb
Áp dụng công thức: Q1 + Q2 + Q3 +...+ Qn = 0 (1)
Ta có:
Thay vào (1), ta được:
Vậy nhiệt độ hỗn hợp khi cân bằng là: tcb = −190C
Đáp án cần chọn là: B
Bài 21: Người ta thả ba miếng đồng, nhôm, chì có cùng khối lượng vào một cốc nước nóng. So sánh nhiệt độ cuối cùng của ba miếng kim loại trên:
A. Nhiệt độ của miếng chì cao nhất, rồi đến miếng đồng, miếng nhôm.
B. Nhiệt độ miếng đồng cao nhất, rồi đến miếng nhôm, miếng chì.
C. Nhiệt độ miếng nhôm cao nhất, rồi đến miếng đồng, miếng chì.
D. Nhiệt độ ba miếng bằng nhau.
Lời giải:
Ta có: Sự truyền nhiệt xảy ra cho đến khi nhiệt độ của 2 vật cân bằng nhau thì ngừng lại.
=> Nhiệt độ cuối cùng của ba miếng bằng nhau.
Đáp án cần chọn là: D
Bài 22: Bỏ vào nhiệt lượng kế chứa 450g nước ở nhiệt độ 220C một miếng kim loại có khối lượng 350g được nung nóng tới 1000C. Nhiệt độ khi cân bằng nhiệt là 300C. Bỏ qua nhiệt lượng làm nóng nhiệt kế và không khí; lấy nhiệt dung riêng của nước là 4190J/kg.K. Nhiệt dung riêng của kim loại đó là:
A. 358,28J/kg.K
B. 458,28J/kg.K
C. 615,5J/kg.K
D. 215,5J/kg.K
Lời giải:
Nhiệt độ khi cân bằng là t = 300C
Kim loại:
Nước:
+ Nhiệt lượng kim loại tỏa ra là: Q1 = m1c1(t1−t)
Nhiệt lượng nước thu vào là: Q2 = m2c2(t−t2)
+ Áp dụng phương trình cân bằng nhiệt, ta có:
Q1 = Q2 ↔ m1c1(t1−t) = m2c2(t−t2)
↔ 0,35.c1.(100−30) = 0,45.4200(30−22)
→ c1 = 615,6
Vậy nhiệt độ khi cân bằng là c1 = 615,5J/kg.K
Đáp án cần chọn là: C
Bài 23: Một nhiệt lượng kế bằng đồng có khối lượng 100g chứa 738g nước ở nhiệt độ 150C, rồi thả vào đó một miếng đồng có khối lượng 200g ở nhiệt độ 1000C. Nhiệt độ khi bắt đầu có cân bằng nhiệt là 170C. Lấy nhiệt dung riêng của nước là 4186J/kg.K. Nhiệt dung riêng của đồng là:
A. 376,74J/kg.K
B. 3767,4J/kg.K
C. 37674J/kg.K
D. 37,674J/kg.K
Lời giải:
Nhiệt độ khi cân bằng là t = 170C
Miếng đồng:
Nước:
Nhiệt lượng kế bằng đồng:
+ Nhiệt lượng đồng tỏa ra là: Q1 = m1c(t1−t)
Nhiệt lượng nước thu vào là: Q2 = m2c2(t−t2)
Nhiệt lượng nhiệt lượng kế đồng thu vào là: Q3 = m3c(t−t3)
+ Áp dụng phương trình cân bằng nhiệt, ta có:
Q1 = Q2 + Q3 ↔ m1c(t1−t) = m2c2(t−t2) + m3c(t−t3)
↔ 0,2.c.(100−17) = 0,738.4186.(17−15) + 0,1.c.(17−15)
→ c = 376,74
Vậy nhiệt độ khi cân bằng là c = 376,74J/kg.K
Đáp án cần chọn là: A
Bài 24: Một nhiệt lượng kế bằng đồng có khối lượng 128g chứa 240g nước ở nhiệt độ 8,40C. Người ta thả vào nhiệt lượng kế một miếng hợp kim có khối lượng 192g được làm nóng tới 1000C. Nhiệt độ khi bắt đầu có cân bằng nhiệt là 21,50C. Lấy nhiệt dung riêng của nước là 4200J/kg.K, của đồng là 380J/kg.K. Nhiệt dung riêng của hợp kim là:
A. 976,4J/kg.K
B. 976,7J/kg.K
C. 918,4J/kg.K
D. 918,7J/kg.K
Lời giải:
Nhiệt độ khi cân bằng là t = 170C
Hợp kim:
Nước:
Nhiệt lượng kế bằng đồng:
+ Nhiệt lượng hợp kim tỏa ra là: Q1 = m1c1(t1−t)
Nhiệt lượng nước thu vào là: Q2 = m2c2(t−t2)
Nhiệt lượng nhiệt lượng kế đồng thu vào là: Q3 = m3c3(t−t3)
+ Áp dụng phương trình cân bằng nhiệt, ta có:
Q1 = Q2 + Q3 ↔ m1c1(t1−t) = m2c2(t−t2) + m3c3(t−t3)
↔ 0,192.c1.(100−21,5) = 0,24.4200.(21,5−8,4) + 0,128.380.(21,5−8,4)
→ c = 918,4
Vậy nhiệt độ khi cân bằng là c = 918,4J/kg.K
Đáp án cần chọn là: C
Bài 25: Người ta thả một miếng hợp kim chì và kẽm có khối lượng 100g ở nhiệt độ 1200C vào một nhiệt lượng kế đựng 78g nước có nhiệt độ 150C. Biết nhiệt độ khi có cân bằng nhiệt là 220C, nhiệt dung riêng của chì là 130J/kg.K, của kẽm là 390J/kg.K, của nước là 4200J/kg.K. Khối lượng chì và kẽm có trong hợp kim là:
A. mchi = 50g; mkem = 50g
B. mchi = 60g; mkem = 40g
C. mchi = 40g; mkem = 60g
D. mchi = 30g; mkem = 70g
Lời giải:
Khối lượng hợp kim là 100g ⇒ mchi + mkem = 100g = 0,1kg (1)
Chì :
Kẽm:
Nước:
Nhiệt độ khi có cân bằng nhiệt là t = 220C
+ Nhiệt lượng chì tỏa ra là: Q1 = mchic1(t1−t)
Nhiệt lượng kẽm tỏa ra là: Q2 = mkemc2(t2−t)
Nhiệt lượng nước thu vào là: Q3 = m3c3(t−t3)
+ Áp dụng phương trình cân bằng nhiệt, ta có:
Q1 + Q2 = Q3 ↔ mchic1(t1−t) + mkemc2(t2−t) = m3c3(t−t3)
⇔ mchi.130.(120−22) + mkem.390.(120−22) = 0,078.4200.(22−15)
⇔ 12740mchi + 38220mkem = 2293,2(2)
Từ (1) và (2)
Đáp án cần chọn là: B
(199k) Học KHTN 8 KNTTHọc KHTN 8 CDHọc KHTN 8 CTST
Xem thêm câu hỏi & bài tập trắc nghiệm Vật Lí lớp 8 chọn lọc, có đáp án mới nhất hay khác:
- 25+ Bài tập trắc nghiệm Năng suất tỏa nhiệt của nhiên liệu (có lời giải)
- 22+ Bài tập trắc nghiệm Sự bảo toàn năng lượng trông các hiện tượng cơ và nhiệt (có lời giải)
- 25+ Bài tập trắc nghiệm Động cơ nhiệt (có lời giải)
- 45+ Bài tập trắc nghiệm Chuyển động cơ học (có lời giải)
- 27+ Bài tập trắc nghiệm Vận tốc (có lời giải)
Xem thêm các loạt bài Để học tốt môn Vật Lí 8 hay khác:
Tủ sách VIETJACK shopee lớp 6-8 (2025):
Đã có app VietJack trên điện thoại, giải bài tập SGK, SBT Soạn văn, Văn mẫu, Thi online, Bài giảng....miễn phí. Tải ngay ứng dụng trên Android và iOS.
Theo dõi chúng tôi miễn phí trên mạng xã hội facebook và youtube:Loạt bài Lý thuyết - Bài tập Vật Lý 8 có đáp án của chúng tôi được biên soạn bám sát nội dung chương trình Vật Lý lớp 8.
Nếu thấy hay, hãy động viên và chia sẻ nhé! Các bình luận không phù hợp với nội quy bình luận trang web sẽ bị cấm bình luận vĩnh viễn.
- Giải Tiếng Anh 8 Global Success
- Giải sgk Tiếng Anh 8 Smart World
- Giải sgk Tiếng Anh 8 Friends plus
- Lớp 8 - Kết nối tri thức
- Soạn văn 8 (hay nhất) - KNTT
- Soạn văn 8 (ngắn nhất) KNTT
- Giải sgk Toán 8 - KNTT
- Giải sgk Khoa học tự nhiên 8 - KNTT
- Giải sgk Lịch Sử 8 - KNTT
- Giải sgk Địa Lí 8 - KNTT
- Giải sgk Giáo dục công dân 8 - KNTT
- Giải sgk Tin học 8 - KNTT
- Giải sgk Công nghệ 8 - KNTT
- Giải sgk Hoạt động trải nghiệm 8 - KNTT
- Giải sgk Âm nhạc 8 - KNTT
- Lớp 8 - Chân trời sáng tạo
- Soạn văn 8 (hay nhất) - CTST
- Soạn văn 8 (ngắn nhất) - CTST
- Giải sgk Toán 8 - CTST
- Giải sgk Khoa học tự nhiên 8 - CTST
- Giải sgk Lịch Sử 8 - CTST
- Giải sgk Địa Lí 8 - CTST
- Giải sgk Giáo dục công dân 8 - CTST
- Giải sgk Tin học 8 - CTST
- Giải sgk Công nghệ 8 - CTST
- Giải sgk Hoạt động trải nghiệm 8 - CTST
- Giải sgk Âm nhạc 8 - CTST
- Lớp 8 - Cánh diều
- Soạn văn 8 Cánh diều (hay nhất)
- Soạn văn 8 Cánh diều (ngắn nhất)
- Giải sgk Toán 8 - Cánh diều
- Giải sgk Khoa học tự nhiên 8 - Cánh diều
- Giải sgk Lịch Sử 8 - Cánh diều
- Giải sgk Địa Lí 8 - Cánh diều
- Giải sgk Giáo dục công dân 8 - Cánh diều
- Giải sgk Tin học 8 - Cánh diều
- Giải sgk Công nghệ 8 - Cánh diều
- Giải sgk Hoạt động trải nghiệm 8 - Cánh diều
- Giải sgk Âm nhạc 8 - Cánh diều


Giải bài tập SGK & SBT
Tài liệu giáo viên
Sách
Khóa học
Thi online
Hỏi đáp

