Bài tập điện trở dây dẫn phụ thuộc vào các các yếu tố của dây (cực hay, chi tiết)
Bài viết Bài tập điện trở dây dẫn phụ thuộc vào các các yếu tố của dây với phương pháp giải chi tiết giúp học sinh ôn tập, biết cách làm bài tập điện trở dây dẫn phụ thuộc vào các các yếu tố của dây.
Bài tập điện trở dây dẫn phụ thuộc vào các các yếu tố của dây (cực hay, chi tiết)
(199k) Xem Khóa học KHTN 9 KNTTXem Khóa học KHTN 9 CDXem Khóa học KHTN 9 CTST
Bài 1 : Chọn phát biểu đúng nhất trong các phát biểu dưới đây?
A. Điện trở của dây dẫn phụ thuộc vào chiều dài dây, tiết diện dây và không phụ thuộc vào vật liệu làm dây
B. Điện trở của dây dẫn phụ thuộc vào chiều dài dây
C. Điện trở của dây dẫn phụ thuộc vào vật liệu làm dây dẫn
D. Điện trở dây dẫn phụ thuộc vào chiều dài dây, tiết diện dây và vật liệu làm dây
Lời giải:
Điện trở của dây dẫn:
Điện trở dây dẫn phụ thuộc vào chiều dài dây, tiết diện dây và vật liệu làm dây
Đáp án: D
Bài 2 : Biểu thức nào sau đây xác định điện trở của dây dẫn?
Lời giải:
Đáp án: C
Bài 3 : Để tìm hiểu sự phụ thuộc của điện trở dây dẫn vào vật liệu làm dây dẫn, cần phải xác định và so sánh điện trở của các dây dẫn có những đặc điểm nào?
A. Các dây dẫn có chiều dài, tiết diện khác nhau và được làm từ cùng một loại vật liệu
B. Các dây dẫn có chiều dài, tiết diện khác nhau và được làm từ các vật liệu khác nhau
C. Các dây dẫn chiều dài khác nhau, tiết diện như nhau và được làm từ cùng một loại vật liệu
D. Các dây dẫn có chiều dài, tiết diện như nhau và được làm từ các vật liệu khác nhau.
Lời giải:
Để tìm hiếu sự phụ thuộc của điện trở dây dẫn vào vật liệu làm dây dẫn, cần phải xác định và so sánh điện trở của các dây dẫn có chiều dài, tiết diện như nhau và được làm từ các vật liệu khác nhau.
Đáp án: D
Bài 4 : Biết điện trở suất của nhôm là , của vonfram là
, của sắt là
. SO sánh nào dưới đây là đúng?
A. Sắt dẫn điện tốt hơn vonfram và vonfram dẫn điện tốt hơn nhôm
B. Vonfram dẫn điện tốt hơn sắt và sắt dẫn điện tốt hơn nhôm
C. Nhôm dẫn điện tốt hơn vonfram và vonfram dẫn điện tốt hơn sắt
D. Nhôm dẫn điện tốt hơn sắt và sắt dẫn điện tốt hơn vonfram
Lời giải:
Ta có điện trở dây dẫn tỉ lệ thuận với điện trở suất
Mặt khác, điện trở đại lượng đặc trưng cho mức độ cản trở dòng điện
=> Vật liệu nào có điện trở suất càng lớn thì khả năng dẫn điện càng kém và ngược lại .
Ta thấy, điện trở suất của nhôm là nhỏ nhất và của sắt là lớn nhất => nhôm dẫn điện tốt hơn vonfram và vonfram dẫn điện tốt hơn sắt
Đáp án: C
Bài 5 : Dây dẫn bằng đồng được sử dụng rất phổ biến. Điều này không phải vì lí do nào dưới đây?
A. Đồng là kim loại có trọng lượng riêng nhỏ hơn nhôm
B. Đồng là chất dẫn điện vào loại tốt nhất trong số các kim loại và tốt hơn nhôm
C. Đồng là vật liệu không quá đắt so với nhôm và dễ kiếm tìm
D. Dây dẫn bằng đồng chịu được lực kéo căng tốt hơn dây bằng nhôm
Lời giải:
A - sai vì trọng lượng riêng của đồng lớn hơn của nhôm
Đáp án: A
Bài 6 : Điện trở của dây dẫn không phụ thuộc vào yếu tố dưới đây?
A. Vật liệu làm dây dẫn
B. Khối lượng của dây dẫn
C. Chiều dài của dây dẫn
D. Tiết diện của dây dẫn
Lời giải:
Ta có:
=> Điện trở của dây dẫn không phụ thuộc vào khối lượng của dây dẫn
Đáp án: B
Bài 7 : Chọn câu trả lời đúng? Một dây dẫn bằng đồng dài l1 = 10m có điện trở R1 và một dây dẫn bằng nhôm dài l2 = 2m có điện trở R2. So sánh giữa R1 và R2 nào dưới đây là đúng?
A. R1 = 2R2
B. R1 < 2R2
C. R1 > 2R2
D. Không đủ điều kiện để so sánh R1 với R2
Lời giải:
Ta có:
Vì ta không biết tiết diện của hai dây dẫn này như thế nào, nên không đủ điều kiện để so sánh R1 với R2
Đáp án cần chọn là: D
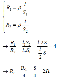
Bài 8 : Hai đoạn dây bằng đồng, cùng chiều dài có tiết diện và điện trở tương ứng là S1, R1 và S2, R2. Hệ thức nào dưới đây là đúng?
Lời giải:
Ta có:
Đáp án: A
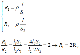
Bài 9 : Hai dây dẫn bằng nhôm có chiều dài, tiết diện và điện trở tương ứng là l1, S1, R1 và l2, S2, R2. Biết l1 = 4l2 và S1 = 2S2. Lập luận nào sau đây về mối quan hệ giữa các điện trở R1 và R2 của hai dây dẫn này là đúng?
Lời giải:
Ta có :
Đáp án: C
Bài 10 : Một dây dẫn đồng chất có chiều dài l, tiết diện S có điện trở được gập đôi thành một dây dẫn mới có chiều dài
. Điện trở của dây dẫn mới này là bao nhiêu?
Lời giải:
Khi gập dây lại thì chiều dài dây giảm nhưng tiết diện S của dây tăng lên.
Theo đề bài ta có:
Áp dụng biểu thức tính điện trở của dây dẫn, ta có:
Đáp án: D
Bài 11 : Một dây đồng dài 50m, có tiết diện là 0,8mm2 thì có điện trở là . Một dây đồng khác có tiết diện 0,4mm2 thì có điện trở là
thì có chiều dài bằng bao nhiêu?
A. 26m
B. 37,5m
C. 48m
D. 56m
Lời giải:
Áp dụng biểu thức tính điện trở của dây dẫn, ta có:
Đáp án: B
Bài 12 : Hai dây bằng nhôm có cùng tiết diện, một dây dài 2m có điện trở R1, dây kia dài 6m có điện trở R2. Tỉ số = ?
Lời giải:
Áp dụng biểu thức tính điện trở của dây dẫn, ta có:
Đáp án: C
Bài 13 : Một dây dẫn dài 120m được dùng để quấn thành một cuộn dây. Khi đặt hiệu điện thế 30V vào hai đầu cuộn dây này thì cường độ dòng điện qua cuộn dây là 125mA. Mỗi đoạn dây dài 1m của cuộn dây có điện trở bằng bao nhiêu?
Lời giải:
Ta có
+ Điện trở của cuộn dây:
+ Gọi R′ là điện trở của đoạn dây dài l′ = 1m , ta có tỉ lệ:
Đáp án: C
Bài 14 : Người ta dùng dây niken làm dây nung cho một bếp điện. Nếu dùng loại dây này với đường kính tiết diện là 0,5mm thì cần dây có chiều dài 4,68m. Nếu không thay đổi điện trở của dây nung, nhưng dùng dây loại này với đường kính tiết diện 0,3mm thì dây phải có chiều dài bằng bao nhiêu?
A. 1,24m
B. 1,4m
C. 2,34m
D. 1,68m
Lời giải:
Bài 15 : Trong số các vật liệu sau, vật liệu nào dẫn điện tốt nhất:
A. Sắt
B. Nhôm
C. Bạc
D. Đồng
Lời giải:
Ta có: Vật liệu nào có điện trở suất càng nhỏ thì dẫn điện càng tốt.
Điện trở suất của bạc nhỏ nhất trong các vật liệu trên => Bạc dẫn điện tốt nhất
Đáp án: C
Bài 16 : Trong số các vật liệu sau, vật liệu nào dẫn điện kém nhất?
A. Vonfram
B. Sắt
C. Nhôm
D. Đồng
Lời giải:
Ta có: Vật liệu nào có điện trở suất càng nhỏ thì dẫn điện càng tốt.
Điện trở suất của sắt lớn nhất trong các vật liệu trên => Sắt dẫn điện kém nhất
Đáp án: B
Bài 17 : Có ba dây dẫn với chiều dài và tiết diện như nhau. Dây thứ nhất bằng bạc có điện trở R1, dây thứ hai bằng đồng có điện trở R2 và dây thứ ba bằng nhôm có điện trở R3. Biết điện trở suất của bạc, đồng, nhôm có giá trị lần lượt là . Khi so sánh các điện trở này, ta có:
A. R1 > R2 > R3
B. R1 > R3 > R2
C. R2 > R1 > R3
D. R3 > R2 > R1
Lời giải:
Vì các dây dẫn có cùng chiều dài và tiết diện nên dây nào làm bằng vật liệu có điện trở suất càng lớn thì điện trở của nó càng lớn.
Ta có:
Ta suy ra: R3 > R2 > R1
Đáp án: D
Bài 18 : Một cuộn dây dẫn bằng đồng với khối lượng của dây dẫn là 0,5kg và dây dẫn có tiết diện 1mm2. Điện trở của cuộn dây là bao nhiêu biết điện trở suất của đồng là và khối lượng riêng của đồng là 8900kg/m3.
Lời giải:
Bài 19 : Người ta dùng dây nicrom có điện trở suất là để làm dây nung cho một bếp điện. Điện trở của dây nung này ở nhiệt độ bình thường là
và có chiều dài tổng cộng là 0,8m. Hỏi dây nung này phải có đường kính tiết diện là bao nhiêu?
A. d = 0,5mm
B. d = 0,2mm
C. d = 0,25mm
D. d = 0,65mm
Lời giải:
(199k) Xem Khóa học KHTN 9 KNTTXem Khóa học KHTN 9 CDXem Khóa học KHTN 9 CTST
Xem thêm các dạng bài tập Vật Lí lớp 9 có lời giải, chọn lọc hay khác:
- Bài tập biến trở - điện trở dùng trong kĩ thuật (cực hay, chi tiết)
- Bài tập công suất điện (cực hay, chi tiết)
- Bài tập điện năng - công dòng điện (cực hay, chi tiết)
- Bài tập định luật Jun-Lenxơ (cực hay, chi tiết)
- Bài tập sử dụng an toàn điện và tiết kiệm điện (cực hay, chi tiết)
Xem thêm các loạt bài Để học tốt Vật Lí lớp 9 hay khác:
Tủ sách VIETJACK luyện thi vào 10 cho 2k11 (2026):
Đã có app VietJack trên điện thoại, giải bài tập SGK, SBT Soạn văn, Văn mẫu, Thi online, Bài giảng....miễn phí. Tải ngay ứng dụng trên Android và iOS.
Theo dõi chúng tôi miễn phí trên mạng xã hội facebook và youtube:Loạt bài Lý thuyết - Bài tập Vật Lý 9 có đáp án của chúng tôi được biên soạn bám sát nội dung chương trình Vật Lý lớp 9.
Nếu thấy hay, hãy động viên và chia sẻ nhé! Các bình luận không phù hợp với nội quy bình luận trang web sẽ bị cấm bình luận vĩnh viễn.
- Giải Tiếng Anh 9 Global Success
- Giải sgk Tiếng Anh 9 Smart World
- Giải sgk Tiếng Anh 9 Friends plus
- Lớp 9 Kết nối tri thức
- Soạn văn 9 (hay nhất) - KNTT
- Soạn văn 9 (ngắn nhất) - KNTT
- Giải sgk Toán 9 - KNTT
- Giải sgk Khoa học tự nhiên 9 - KNTT
- Giải sgk Lịch Sử 9 - KNTT
- Giải sgk Địa Lí 9 - KNTT
- Giải sgk Giáo dục công dân 9 - KNTT
- Giải sgk Tin học 9 - KNTT
- Giải sgk Công nghệ 9 - KNTT
- Giải sgk Hoạt động trải nghiệm 9 - KNTT
- Giải sgk Âm nhạc 9 - KNTT
- Giải sgk Mĩ thuật 9 - KNTT
- Lớp 9 Chân trời sáng tạo
- Soạn văn 9 (hay nhất) - CTST
- Soạn văn 9 (ngắn nhất) - CTST
- Giải sgk Toán 9 - CTST
- Giải sgk Khoa học tự nhiên 9 - CTST
- Giải sgk Lịch Sử 9 - CTST
- Giải sgk Địa Lí 9 - CTST
- Giải sgk Giáo dục công dân 9 - CTST
- Giải sgk Tin học 9 - CTST
- Giải sgk Công nghệ 9 - CTST
- Giải sgk Hoạt động trải nghiệm 9 - CTST
- Giải sgk Âm nhạc 9 - CTST
- Giải sgk Mĩ thuật 9 - CTST
- Lớp 9 Cánh diều
- Soạn văn 9 Cánh diều (hay nhất)
- Soạn văn 9 Cánh diều (ngắn nhất)
- Giải sgk Toán 9 - Cánh diều
- Giải sgk Khoa học tự nhiên 9 - Cánh diều
- Giải sgk Lịch Sử 9 - Cánh diều
- Giải sgk Địa Lí 9 - Cánh diều
- Giải sgk Giáo dục công dân 9 - Cánh diều
- Giải sgk Tin học 9 - Cánh diều
- Giải sgk Công nghệ 9 - Cánh diều
- Giải sgk Hoạt động trải nghiệm 9 - Cánh diều
- Giải sgk Âm nhạc 9 - Cánh diều
- Giải sgk Mĩ thuật 9 - Cánh diều


Giải bài tập SGK & SBT
Tài liệu giáo viên
Sách
Khóa học
Thi online
Hỏi đáp

