Tổng hợp Trắc nghiệm Điện học (có đáp án)
Với câu hỏi & bài tập trắc nghiệm tổng hợp Điện học có lời giải chi tiết sẽ giúp học sinh ôn tập trắc nghiệm Điện học.
Tổng hợp Trắc nghiệm Điện học (có đáp án)
(199k) Học KHTN 9 KNTTHọc KHTN 9 CDHọc KHTN 9 CTST
I. TRẮC NGHIỆM
Câu 1: Trong gia đình, các thiết bị đun nóng bằng điện sứ được sử dụng nhiều điện năng nhất. Biện pháp tiết kiệm nào dưới đây là hợp lý nhất?
A. Không sử dụng các thiết bị đun nóng bằng điện.
B. Không đun nấu bằng điện.
C. Chỉ sử dụng các thiết bị nung nóng bằng điện trong thời gian tối thiểu cần thiết.
D. Không đun nấu bằng điện và chỉ sử dụng các thiết bị nung nóng khác như bàn là, máy sấy tóc.
Biện pháp tiết kiệm hợp lý nhất: Chỉ sử dụng các thiết bị nung nóng bằng điện trong thời gian tối thiểu cần thiết
→ Đáp án C
Câu 2: Khi đặt vào hai đầu dây dẫn một hiệu điện thế 12V thì cường độ dòng điện qua nó là 0,6A. Nếu cường độ dòng điện chạy qua nó là 1A thì hiệu điện thế đặt vào hai đầu dây dẫn là:
A. 12V
B. 9V
C. 20V
D. 18V
Hiệu điện thế giữa hai đầu dây dẫn tăng bao nhiêu lần thì cường độ dòng điện chạy qua dây dẫn đó cũng tăng bấy nhiêu lần.
⇒ Cường độ dòng điện tăng lên
lần nên hiệu điện thế đặt vào dây dẫn đã tăng lên
lần:
→ Đáp án C
Câu 3: Một dây dẫn dài 120m được cuốn thành một cuộn dây. Khi đặt một hiệu điện thế 30V vào hai đầu cuộn dây này thì cường độ dòng điện qua nó là 125mA. Mỗi đoạn dây dài 1m sẽ có điện trở là:
A. 1 Ω
B. 2 Ω
C. 3 Ω
D. 4 Ω
Điện trở cuộn dây:
Điện trở mỗi đoạn dây dài 1m:
→ Đáp án B
Câu 4: Đặt một hiệu điện thế U như nhau vào hai đầu điện trở R1 và R2 biết R2 = 2R1. Nếu hai điện trở R1 và R2 mắc nối tiếp thì cường độ dòng điện là I = 0,2A. Nếu mắc hai điện trở R1 và R2 song song vào hiệu điện thế trên thì cường độ dòng điện trong mạch chính là
A. 0,2A
B. 0,3A
C. 0,4A
D. 0,9A
Điện trở mạch mắc nối tiếp: Rnt = R1 + R2 = 3R1
Vậy U = 0,2.3R1 = 0,6R1
Điện trở mạch mắc song song:
Vậy cường độ dòng điện
→ Đáp án D
Câu 5: Bốn dây dẫn kích thước giống nhau làm bằng đồng, bạc, nhôm và sắt. Phát biểu nào sau đây là đúng?
A. Điện trở dây đồng là nhỏ nhất, dây sắt lớn nhất.
B. Điện trở dây bạc bé nhất, dây sắt lớn nhất.
C. Điện trở dây nhôm bé nhất, dây bạc lớn nhất.
D. Điện trở dây đồng là nhỏ nhất, dây bạc lớn nhất.
Điện trở của một dây dẫn là . Vậy với các dây cùng kích thước thì
của chất làm dây nào nhỏ thì giá trị điện trở của dây đó càng nhỏ. Dây bạc có điện trở bé nhất, dây sắt có điện trở lớn nhất
→ Đáp án B
Câu 6: Hai dây nhôm có cùng tiết diện, một dây dài có điện trở là R1, dây kia có chiều dài
có điện trở là R2 thì tỉ số
. Vậy tỉ số
là:
A. 4
B. 2
C. 0,25
D. 0,5
Điện trở của dây tỉ lệ với chiều dài nên
→ Đáp án C
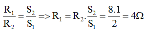
Câu 7: Hai dây dẫn bằng đồng có cùng chiều dài, tiết diện của dây thứ nhất gấp hai lần tiết diện của dây thứ hai, dây thứ hai có điện trở 8Ω . Điện trở của dây thứ nhất là:
A. 2 Ω
B. 3 Ω
C. 4 Ω
D. 16 Ω
Điện trở tỉ lệ nghịch với tiết diện nên
→ Đáp án C
Câu 8: Khi nói về biến trở trong một mạch điện có hiệu điện thế không đổi, câu phát biểu nào sau đây là đúng?
Trong một mạch điện có hiệu điện thế không đổi:
A. Biến trở dùng để thay đổi chiều dòng điện.
B. Biến trở dùng để thay đổi cường độ dòng điện.
C. Biến trở được mắc song song với mạch điện.
D. Biến trở dùng để thay đổi hiệu điện thế.
Trong một mạch điện có hiệu điện thế không đổi, biến trở dùng để thay đổi cường độ dòng điện
→ Đáp án B
Câu 9: Hai bóng đèn mắc nối tiếp rồi mắc vào nguồn điện. Để hai đèn cùng sáng bình thường ta phải chọn hai bóng đèn như thế nào?
A. Có cùng hiệu điện thế định mức.
B. Có cùng công suất định mức.
C. Có cùng cường độ dòng điện định mức.
D. Có cùng điện trở.
Để hai đèn cùng sáng bình thường ta phải chọn hai bóng đèn có cùng cường độ dòng điện định mức
→ Đáp án C
Câu 10: Công có ích của một động cơ điện trong thời gian làm việc 10 phút là 211200J, hiệu suất của động cơ là 80%. Biết rằng hiệu điện thế của động cơ là 220V, cường độ dòng điện qua động cơ là:
A. 2A
B. 2,5A
C. 3,5A
D. 4,5A
Công có ích: A1 = 211200 J = H.A ⇒ Công toàn phần
Mặt khác công toàn phần A = U.I.t = 264000 J ⇒
→ Đáp án A
Câu 11: Một dây mayso có điện trở R được mắc vào hiệu điện thế U rồi nhúng vào chậu nước chứa 4 lít nước nhiệt độ 200C. Sau t phút, nhiệt lượng tỏa ra do hiệu ứng Jun – Len-xơ là 30000 J. Biết nhiệt dung riêng của nước là c = 4200 J/kg.độ, nhiệt độ nước sau thời gian nói trên có thể nhận giá trị nào trong các giá trị sau?
A. 21,80C
B. 82,10C
C. 21,80C
D. 56,20C
Nhiệt lượng nhận được:
Nhiệt độ cuối:
→ Đáp án C
Câu 12: Một dây điện trở R = 200Ω được mắc vào hiệu điện thế U rồi nhúng vào một ấm nước sau 10 phút nhiệt lượng tỏa ra là 30000 J. Cường độ dòng điện và hiệu điện thế hai đầu dây có giá trị là:
A. I = 5A; U = 100V
B. I = 0,5A; U = 100V
C. I = 0,5A; U = 120V
D. I = 1A; U = 110V
Công suất của dây điện trở là:
Hiệu điện thế hai đầu dây là U thì:
Cường độ dòng điện
→ Đáp án B
Câu 13: Cho mạch điện như hình vẽ:
R1 = 2R2 = 2R3, vôn kế V chỉ 12V, ampe kế chỉ 2A. Hiệu điện thế hai đầu mạch là:
A. 15V
B. 18V
C. 20V
D. 24V
Ta có:
Điện trở của mạch:
Vậy U = I.R = 2.10 = 20V
→ Đáp án C
Câu 14: Một dòng điện có cường độ I = 0,002A chạy qua điện trở R = 3000Ω trong thời gian 600 giây. Nhiệt lượng tỏa ra là:
A. 7,2 J
B. 60 J
C. 120 J
D. 3600 J
Nhiệt lượng tỏa ra là:
→ Đáp án A
Câu 15: Phát biểu nào sau đây là đúng nhất?
Công suất điện để chỉ
A. điện năng tiêu thụ nhiều hay ít.
B. cường độ dòng điện chạy qua mạch mạnh hay yếu.
C. hiệu điện thế sử dụng lớn hoặc bé.
D. mức độ hoạt động mạnh hay yếu của dụng cụ điện.
Công suất điện để chỉ mức độ hoạt động mạnh hay yếu của dụng cụ điện
→ Đáp án D
Câu 16: Người ta dùng công tơ điện để đo đại lượng nào sau đây?
A. Công suất điện
B. Công của dòng điện
C. Cường độ dòng điện
D. Điện trở của mạch điện
Người ta dùng công tơ điện để đo công của dòng điện
→ Đáp án B
Câu 17: Dụng cụ nào sau đây không sử dụng tác dụng nhiệt của dòng điện?
A. Nồi cơm điện
B. Bàn là điện
C. Cầu chì
D. Bóng đèn điện Nêon
Bóng đèn điện tuy có tỏa nhiệt nhưng con người không sử dụng tác dụng tỏa nhiệt mà sử dụng tác dụng quang học
→ Đáp án D
Câu 18: Công thức tính điện trở của một dây dẫn hình trụ, đồng chất, tiết diện đều, có chiều dài
, đường kính d và có điện trở suất
là gì?
A.
B.
C.
D.
Công thức tính điện trở:
→ Đáp án A
Câu 19: Một bếp điện tiêu thụ một điện năng 480 kJ trong 24 phút, hiệu điện thế đặt vào bếp bằng 220V. Cường độ dòng điện qua bếp gần đúng với giá trị nào nhất trong các giá trị sau?
A. 1,5A
B. 2A
C. 2,5A
D. 1A
Nhiệt lượng tỏa ra là:
→ Đáp án A
Câu 20: Một gia đình dùng 5 bóng đèn loại 220V – 40W và một bếp điện 220V – 1000W. Mỗi ngày dùng 6 giờ. Trong một tháng (30 ngày) phải trả bao nhiêu tiền điện, biết giá mỗi số điện là 800 đồng, đèn được mắc vào mạch điện 220V.
A. 149760 đồng
B. 172800 đồng
C. 28800 đồng
D. 2880000 đồng
Công suất tiêu thụ tổng cộng:
P = 5.40 + 1000 = 1200 W
Điện năng tiêu thụ trong tháng:
A = P.t = 1,2.6.30 = 216 kW.h
Số tiền phải trả trong tháng: t = 216.800 = 172800 đồng
→ Đáp án B
II. TỰ LUẬN
Câu 1: Cho mạch điện như hình vẽ:
Biết Đ1 (6V – 3W); Đ2 (6V – 0,4W), R = 60 Ω , biến trở MN có điện trở tối đa 54 Ω được phân bố trên chiều dài 27 cm, biết MC = x (cm). Tính điện trở đoạn mạch AB theo x.
Ta vẽ lại sơ đồ mạch điện như hình vẽ:
Ta có điện trở đèn 1 và đèn 2 lần lượt là:
⇒ RCM = 2x ⇒ RCN = 54 – 2x
(Vì 27 cm → 54Ω nên x cm → 2x Ω )
⇒ RCMB = RCM + RMB = 2x + 36
Vậy
Câu 2: Một sợi dây tóc bóng đèn làm bằng vonfram ở nhiệt độ trong phòng có điện trở 25Ω , có tiết diện tròn bán kính 0,01 mm
a) Tính chiều dài của dây tóc này biết vonfram có điện trở suất .
b) Bóng đèn dây tóc nói trên được sử dụng ở hiệu điện thế U = 6V, tính cường độ dòng điện qua bóng đèn. Coi điện trở của dây tóc bóng đèn khi sáng bình thường tăng thêm 5% so với khi nó không sáng.
Tiết diện của dây: .
Từ công thức: .
b) Độ tăng điện trở của bóng đèn khi sáng bình thường:
Điện trở của bóng đèn khi sáng bình thường: .
Cường độ dòng điện qua bóng đèn:
Câu 3: Có hai dây dẫn làm bằng nhôm có tiết diện như nhau, dây thứ nhất dài .
, dây thứ hai
.
. Tính điện trở của dây dẫn thứ hai biết rằng điện trở của dây dẫn thứ nhất là 14 Ω
Điện trở của dây dẫn thứ nhất: .
Điện trở của dây dẫn thứ hai: .
Lập tỉ số ⇒ .
Câu 4: Một cuộn dây nhôm có khối lượng 0,27 kg, tiết diện thẳng của dây là 0,1 mm2. Tìm điện trở của cuộn dây biết rằng nhôm có khối lượng riêng 2,7 g/cm3 và điện trở suất
Thể tích của dây:
Chiều dài cuộn dây:
Điện trở của dây:
Câu 5: Một ấm điện có ghi 220V – 1000W được sử dụng với hiệu điện thế 220V để đun sôi 2 lít nước từ nhiệt độ 200C. Hiệu suất của ấm là 90%, trong đó nhiệt lượng cung cấp để đun sôi nước được coi là có ích.
a) Tính nhiệt lượng cần thiết để đun sôi lượng nước trên, biết nhiệt dung riêng của nước là 4200 J/kg.K
b) Tính nhiệt lượng mà bếp điện đã tỏa ra khi đó.
c) Tính thời gian đun sôi lượng nước trên.
a) Nhiệt lượng cần thiết để đun sôi 2 lít nước (2 kg nước) là:
Q1 = m.c(t2 – t1) = 2.4200.(100 - 20) = 672000 J
b) Nhiệt lượng mà bếp điện đã tỏa ra:
c) Thời gian đun sôi nước: .
Câu 6: Một bếp điện ghi 220V – 1000W đực sử dụng với hiệu điện thế 220V để đun sôi 2 lít nước có nhiệt độ ban đầu 250C, hiệu suất của quá trình đun là 80%. Biết nhiệt dung riêng của nước là 4200 J/kg.K.
a) Tính thời gian đun sôi nước.
b) Biết dây điện trở của bếp có đường kính d = 0,2 mm làm bằng nikelin có điện trở suất .
được quấn trên một lõi sứ cách điện hình trụ có đường kính D = 2 cm. Tính số vòng dây của bếp trên?
a) Nhiệt lượng cần thiết để đun sôi 2 lít nước:
Qthu = m.c.(t2 – t1) = 2.4200.(100 – 25) = 630000 J
Hiệu suất: .
Do U = Uđm = 220V ⇒ .
Thời gian đun sôi nước:
.
b) Điện trở của bếp: .
Tiết diện dây điện trở của bếp là:
Chiều dài của dây điện trở làm bếp:
Chiều dài 1 vòng dây điện trở: .
Số vòng dây là: .
Câu 7: Cho sơ đồ mạch điện như hình vẽ:
Trong đó R1 = 3R2, R3 = 20 Ω
a) Tính hiệu điện thế giữa hai đầu AB. Biết khi K đóng ampe kế chỉ 1,8A.
b) Tính R1 và R2 biết khi K ngắt ampe kế chỉ 0,5A.
a) Khi K đóng, ampe kế chỉ 1,8A tức là I3 = 1,8A và UAB = U3
Vậy UAB = U3 = 1,8.20 = 36V
b) Khi K ngắt, ampe kế chỉ 0,5A
Tức là IAB = 0,5A => .
Mà .
Câu 8: Cho mạch điện gồm 3 điện trở R1 = 12 Ω, R2 = R3 = 24 Ω mắc song song với nhau.
a) Tính điện trở tương đương của đoạn mạch.
b) Đặt vào hai đầu đoạn mạch một hiệu điện thế không đổi U = 54V. Tính dòng điện qua các điện trở và dòng điện trong mạch chính.
a) Điện trở tương đương:
b) Dòng điện qua các điện trở:
Qua R1: .
Qua R2 và R3: .
Dòng điện qua mạch chính: I = I1 + I2 + I3 = 4,5 + 2,25 + 2,25 = 9A
Câu 9: Cho mạch điện có sơ đồ như hình vẽ:
UAB = 20V, R1 = 8 Ω, R2 = 30 Ω, R3 = 3 Ω, R4 = 6 Ω, R5 = 18 Ω.
a) Tính điện trở tương đương của đoạn mạch AB
b) Tính cường độ dòng điện qua các điện trở và qua mạch chính.
a) Điện trở tương đương của đoạn mạch AB:
R345 = R34 + R5 = 2 + 18 = 20 Ω
b) Cường độ dòng điện qua các điện trở và qua mạch chính:
U1 = I1.R1 = 1.8 = 8V
⇒ U2 = UAB – U1 = 20 – 8 = 12V
Ta có: .
Mà I3 + I4 = I34 = I5 = 0,6
Từ (1) và (2) ta được: .
Câu 10: Một quạt điện dùng trên xe ô tô có ghi 12V – 15W
a) Cần phải mắc quạt vào hiệu điện thế là bao nhiêu để nó chạy bình thường? Tính cường độ dòng điện chạy qua quạt khi đó.
b) Tính điện năng mà quạt sử dụng trong 1 giờ khi chạy bình thường.
c) Khi quạt chạy, điện năng được biến đổi thành các dạng năng lượng nào? Cho rằng hiệu suất của quạt là 85%, tính điện trở của quạt.
a) Cần phải mắc quạt vào hiệu điện thế là 12V để nó chạy bình thường.
Cường độ dòng điện chạy qua quạt: .
b) Khi chạy bình thường điện năng mà quạt sử dụng trong 1 giờ là:
c) Khi quạt chạy, điện năng được biến đổi thành cơ năng và nhiệt năng.
Vì vậy hiệu suất của quạt là 85% nên phần công suất biến đổi điện năng thành nhiệt năng là chỉ chiếm 15% và bằng: .
Điện trở của quạt: .
(199k) Học KHTN 9 KNTTHọc KHTN 9 CDHọc KHTN 9 CTST
Xem thêm Lý thuyết và Bài tập trắc nghiệm Vật Lí lớp 9 có đáp án và lời giải chi tiết khác:
- Lý thuyết Nam châm vĩnh cửu (hay, chi tiết)
- Trắc nghiệm Nam châm vĩnh cửu
- Lý thuyết Tác dụng từ của dòng điện - Từ trường (hay, chi tiết)
- Trắc nghiệm Tác dụng từ của dòng điện - Từ trường
- Lý thuyết Từ phổ - Đường sức từ (hay, chi tiết)
- Trắc nghiệm Từ phổ - Đường sức từ
Xem thêm các loạt bài Để học tốt Vật Lí lớp 9 hay khác:
Tủ sách VIETJACK luyện thi vào 10 cho 2k11 (2026):
Đã có app VietJack trên điện thoại, giải bài tập SGK, SBT Soạn văn, Văn mẫu, Thi online, Bài giảng....miễn phí. Tải ngay ứng dụng trên Android và iOS.
Theo dõi chúng tôi miễn phí trên mạng xã hội facebook và youtube:Loạt bài Lý thuyết - Bài tập Vật Lý 9 có đáp án của chúng tôi được biên soạn bám sát nội dung chương trình Vật Lý lớp 9.
Nếu thấy hay, hãy động viên và chia sẻ nhé! Các bình luận không phù hợp với nội quy bình luận trang web sẽ bị cấm bình luận vĩnh viễn.
- Giải Tiếng Anh 9 Global Success
- Giải sgk Tiếng Anh 9 Smart World
- Giải sgk Tiếng Anh 9 Friends plus
- Lớp 9 Kết nối tri thức
- Soạn văn 9 (hay nhất) - KNTT
- Soạn văn 9 (ngắn nhất) - KNTT
- Giải sgk Toán 9 - KNTT
- Giải sgk Khoa học tự nhiên 9 - KNTT
- Giải sgk Lịch Sử 9 - KNTT
- Giải sgk Địa Lí 9 - KNTT
- Giải sgk Giáo dục công dân 9 - KNTT
- Giải sgk Tin học 9 - KNTT
- Giải sgk Công nghệ 9 - KNTT
- Giải sgk Hoạt động trải nghiệm 9 - KNTT
- Giải sgk Âm nhạc 9 - KNTT
- Giải sgk Mĩ thuật 9 - KNTT
- Lớp 9 Chân trời sáng tạo
- Soạn văn 9 (hay nhất) - CTST
- Soạn văn 9 (ngắn nhất) - CTST
- Giải sgk Toán 9 - CTST
- Giải sgk Khoa học tự nhiên 9 - CTST
- Giải sgk Lịch Sử 9 - CTST
- Giải sgk Địa Lí 9 - CTST
- Giải sgk Giáo dục công dân 9 - CTST
- Giải sgk Tin học 9 - CTST
- Giải sgk Công nghệ 9 - CTST
- Giải sgk Hoạt động trải nghiệm 9 - CTST
- Giải sgk Âm nhạc 9 - CTST
- Giải sgk Mĩ thuật 9 - CTST
- Lớp 9 Cánh diều
- Soạn văn 9 Cánh diều (hay nhất)
- Soạn văn 9 Cánh diều (ngắn nhất)
- Giải sgk Toán 9 - Cánh diều
- Giải sgk Khoa học tự nhiên 9 - Cánh diều
- Giải sgk Lịch Sử 9 - Cánh diều
- Giải sgk Địa Lí 9 - Cánh diều
- Giải sgk Giáo dục công dân 9 - Cánh diều
- Giải sgk Tin học 9 - Cánh diều
- Giải sgk Công nghệ 9 - Cánh diều
- Giải sgk Hoạt động trải nghiệm 9 - Cánh diều
- Giải sgk Âm nhạc 9 - Cánh diều
- Giải sgk Mĩ thuật 9 - Cánh diều


Giải bài tập SGK & SBT
Tài liệu giáo viên
Sách
Khóa học
Thi online
Hỏi đáp

