Trắc nghiệm Máy biến thế (có đáp án)
Với câu hỏi & bài tập trắc nghiệm Máy biến thế có lời giải chi tiết sẽ giúp học sinh ôn tập trắc nghiệm Máy biến thế.
Trắc nghiệm Máy biến thế (có đáp án)
(199k) Học KHTN 9 KNTTHọc KHTN 9 CDHọc KHTN 9 CTST
Câu 1: Các bộ phận chính của máy biến thế gồm:
A. Hai cuộn dây dẫn có số vòng dây khác nhau và nam châm điện.
B. Hai cuộn dây dẫn có số vòng dây khác nhau và một lõi sắt.
C. Hai cuộn dây dẫn có số vòng dây giống nhau và nam châm vĩnh cửu.
D. Hai cuộn dây dẫn có số vòng dây giống nhau và nam châm điện.
Các bộ phận chính của máy biến thế:
+ Hai cuộn dây dẫn có số vòng dây khác nhau, đặt cách điện với nhau.
+ Một lõi sắt (hay thép) có pha silic chung cho cả hai cuộn dây
→ Đáp án B
Câu 2: Chọn phát biểu đúng
A. Khi một hiệu điện thế xoay chiều vào hai đầu cuộn dây sơ cấp của một máy biến thế thì ở cuộn dây thứ cấp xuất hiện một hiệu điện thế xoay chiều.
B. Máy biến thế có thể chạy bằng dòng điện một chiều.
C. Không thể dùng dòng điện xoay chiều để chạy máy biến thế mà dùng dòng điện một chiều để chạy máy biến thế.
D. Máy biến thế gồm một cuộn dây và một lõi sắt.
Không thể dùng dòng điện không đổi (dòng điện một chiều) để chạy máy biến thế được. Máy biến thế gồm hai cuộn dây có số vòng khác nhau và một lõi sắt.
→ Đáp án A
Câu 3: Máy biến thế có cuộn dây:
A. Đưa điện vào là cuộn sơ cấp.
B. Đưa điện vào là cuộn sơ cấp.
C. Đưa điện vào là cuộn thứ cấp.
D. Lấy điện ra là cuộn sơ cấp.
Máy biến thế có cuộn dây đưa điện vào là cuộn sơ cấp
→ Đáp án A
Câu 4: Phát biểu nào sau đây về máy biến thế là không đúng ?
A. Số vòng cuộn sơ cấp nhiều gấp n lần số vòng cuộn thứ cấp là máy hạ thế.
B. Số vòng cuộn thứ cấp ít hơn số vòng cuộn sơ cấp là máy tăng thế.
C. Số vòng cuộn thứ cấp nhiều gấp n lần số vòng cuộn sơ cấp là máy tăng thế.
D. Số vòng cuộn thứ cấp ít hơn số vòng cuộn sơ cấp là máy hạ thế.
Số vòng cuộn thứ cấp ít hơn số vòng cuộn sơ cấp là máy hạ thế
→ Đáp án B
Câu 5: Máy biến thế là thiết bị:
A. Giữ hiệu điện thế không đổi.
B. Giữ cường độ dòng điện không đổi.
C. Biến đổi hiệu điện thế xoay chiều.
D. Biến đổi cường độ dòng điện không đổi.
Máy biến thế là thiết bị biến đổi hiệu điện thế xoay chiều
→ Đáp án C
Câu 6: Nếu đặt vào hai đầu cuộn dây sơ cấp của máy biến thế một hiệu điện thế xoay chiều thì từ trường trong lõi sắt từ sẽ:
A. Luôn giảm
B. Luôn tăng
C. Biến thiên
D. Không biến thiên
Nếu đặt vào hai đầu cuộn dây sơ cấp của máy biến thế một hiệu điện thế xoay chiều thì từ trường trong lõi sắt từ sẽ biến thiên
→ Đáp án C
Câu 7: Cuộn sơ cấp của máy biến thế có 4400 vòng, cuộn thứ cấp có 240 vòng. Khi đặt vào hai đầu cuộn sơ cấp một hiệu điện thế xoay chiều 220V thì ở hai đầu dây cuộn thứ cấp có hiệu điện thế là bao nhiêu ?
A. 12
B. 16
C. 18
D. 24
Ta có:
→ Đáp án A
Câu 8: Một máy biến thế có hiệu điện thế cuộn sơ cấp là 220V, số vòng cuộn sơ cấp là 500 vòng, hiệu điện thế cuộn thứ cấp là 110V. Hỏi số vòng của cuộn thứ cấp là bao nhiêu vòng?
A. 220 vòng
B. 230 vòng
C. 240 vòng
D. 250 vòng
Ta có:
→ Đáp án D
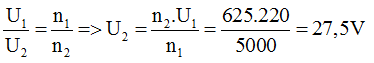
Câu 9: Cuộn sơ cấp của một máy biến thế có N1 = 5000 vòng, cuộn thứ cấp có N2 = 625 vòng. Nối hai đầu cuộn sơ cấp vào mạng điện có hiệu điện thế U1 = 220V.
a) Tính hiệu điện thế giữa hai đầu cuộn thứ cấp.
b) Tính dòng điện chạy qua cuộn thứ cấp nếu nối hai đầu cuộn thứ cấp với điện trở 137,5 Ω
Coi điện năng không bị mất mát
Hiệu điện thế giữa hai đầu cuộn thứ cấp:
Dòng điện qua cuộn thứ cấp:
Câu 10: Mắc vôn kế vào hai đầu cuộn thứ cấp của một máy biến thế thì thấy vôn kế chỉ 9V. Biết hiệu điện thế của hai đầu cuộn sơ cấp là 360V. Hỏi:
a) Biến thế nói trên là biến thế tăng hay giảm thế?
b) Biết cuộn thứ cấp có 42 vòng. Tính số vòng dây ở cuộn sơ cấp.
a) Ta có U2 = 9V, U1 = 360V => U1 > U2
=> Máy biến thế có tác dụng giảm thế
b) Ta có:
Bài tập bổ sung
Bài 1: Hai đầu cuộn thứ cấp máy biến thế cho ra hiệu điện thế 30 V. Hiệu điện thế cuộn sơ cấp là bao nhiêu? Cho biết cuộn sơ cấp có 1 200 vòng dây và cuộn thứ cấp có 300 vòng. Máy biến thế này là máy tăng hay hạ thế?
Bài 2: Một máy biến áp lí tưởng có hiệu suất bằng 1 được nối vào nguồn điện xoay chiều có điện áp hiệu dụng 5 V. Biết số vòng dây của cuộn sơ cấp và thứ cấp là 500 vòng và 1 500 vòng. Do cuộn sơ cấp có 20 vòng bị quấn ngược. Điện áp thu được ở cuộn thứ cấp là bao nhiêu?
Bài 3: Một máy biến thế gồm có 2 cuộn dây: cuộn thứ nhất có 5 000 vòng, cuộn thứ hai 30 000 vòng. Máy biến thế đựơc đặt và sử dụng tại nhà máy phát điện. Cuộn dây nào của máy biến thế là cuộn sơ cấp? Vì sao?
Bài 4: Người ta truyền tải điện năng từ A đến B, ở A dùng một máy tăng thế và ở B dùng hạ thế, dây dẫn từ A đến B có điện trở 40 Ω. Cường độ dòng điện trên dây là 50 A, công suất hao phí trên dây bằng 5% công suất tiêu thụ ở B và hiệu điện thế ở hai đầu cuộn thứ cấp của mấy hạ thế là 220 V. Biết dòng điện và hiệu điện thế luôn cùng pha và bỏ qua hao phí trên máy biến thế, tỉ số biến đổi của máy hạ thế là bao nhiêu?
Bài 5: Có hai máy biến áp lí tưởng (bỏ qua mọi hao phí) cuộn sơ cấp có cùng số vòng dây nhưng cuộn thứ cấp có số vòng dây khác nhau. Khi đặt điện áp xoay chiều có giá trị hiệu dụng U không đổi vào hai đầu cuộn sơ cấp của máy thứ nhất thì tỉ số giữa hiệu điện thế ở hai đầu cuộn thứ cấp và cuộn sơ cấp của máy đó là 1,5. Khi đặt điện áp xoay chiều nói trên vào hai đầu cuộn sơ cấp của máy thứ hai thì tỉ số đó là 2. Khi cùng thay đổi số vòng dây của cuộn thứ cấp của mỗi máy 100 vòng dây rồi lặp lại thí nghiệm thì tỉ số điện áp nói trên của hai máy là bằng nhau. Tính số vòng dây ở cuộn sơ cấp của hai máy biến thế?
Bài 6: Một người định cuốn một biến thế từ hiệu điên thế U1 = 110 V lên 220 V, với số vòng các cuộn ứng với 1,2 vòng/vôn. Người đó cuốn đúng hoàn toàn cuộn thứ cấp nhưng lại cuốn ngược chiều những vòng cuối của cuộn sơ cấp. Do đó, khi hiệu điện thế giữa hai đầu cuộn sơ cấp là 110 V thì hiệu điện thế ở hai đầu cuộn thứ cấp đo được U2 = 264 V. Số vòng dây bị cuốn ngược là bao nhiêu?
Bài 7: Để giảm hao phí truyền tải điện năng, người ta lắp thêm một máy biến thế ở nơi phát. Để nâng hiệu điện thế từ U = 25 kV lên đến hiệu điện thế U = 500 kV, thì phải dùng máy biến thế có tỉ số giữa số vòng dây của cuộn sơ cấp và số vòng dây của cuộn thứ cấp là bao nhiêu?
Bài 8: Nếu đặt vào hai đầu của một cuộn dây (gọi là cuộn sơ cấp) một hiệu điện thế xoay chiều thì bóng đèn mắc ở hai đầu cuộn dây kia (gọi là thứ cấp) có sáng lên không? Tại sao?
Bài 9: Một máy biến áp đang biến đổi hiệu điện thế từ 220 V xuống 12 V. Khi giảm cuộn sơ cấp đi 34 vòng và tăng cuộn thứ cấp thêm 34 vòng thì hệ số máy biến thế là . Tìm số vòng dây ban đầu ở cuộn sơ cấp?
Bài 10: Một máy biến thế hạ thế cần hạ hiệu điện thế từ 15 kV xuống 220 V. Cuộn sơ cấp của máy biến thế có 300 000 vòng. Hỏi số vòng dây của cuộn thứ cấp là bao nhiêu?
(199k) Học KHTN 9 KNTTHọc KHTN 9 CDHọc KHTN 9 CTST
Xem thêm Lý thuyết và Bài tập trắc nghiệm Vật Lí lớp 9 có đáp án và lời giải chi tiết khác:
- Tổng hợp Lý thuyết Điện từ học (hay, chi tiết)
- Tổng hợp Trắc nghiệm Điện từ học
- Lý thuyết Hiện tượng khúc xạ ánh sáng (hay, chi tiết)
- Trắc nghiệm Hiện tượng khúc xạ ánh sáng
- Lý thuyết Quan hệ giữa góc tới và góc khúc xạ (hay, chi tiết)
- Trắc nghiệm Quan hệ giữa góc tới và góc khúc xạ
Xem thêm các loạt bài Để học tốt Vật Lí lớp 9 hay khác:
Tủ sách VIETJACK luyện thi vào 10 cho 2k11 (2026):
Đã có app VietJack trên điện thoại, giải bài tập SGK, SBT Soạn văn, Văn mẫu, Thi online, Bài giảng....miễn phí. Tải ngay ứng dụng trên Android và iOS.
Theo dõi chúng tôi miễn phí trên mạng xã hội facebook và youtube:Loạt bài Lý thuyết - Bài tập Vật Lý 9 có đáp án của chúng tôi được biên soạn bám sát nội dung chương trình Vật Lý lớp 9.
Nếu thấy hay, hãy động viên và chia sẻ nhé! Các bình luận không phù hợp với nội quy bình luận trang web sẽ bị cấm bình luận vĩnh viễn.
- Giải Tiếng Anh 9 Global Success
- Giải sgk Tiếng Anh 9 Smart World
- Giải sgk Tiếng Anh 9 Friends plus
- Lớp 9 Kết nối tri thức
- Soạn văn 9 (hay nhất) - KNTT
- Soạn văn 9 (ngắn nhất) - KNTT
- Giải sgk Toán 9 - KNTT
- Giải sgk Khoa học tự nhiên 9 - KNTT
- Giải sgk Lịch Sử 9 - KNTT
- Giải sgk Địa Lí 9 - KNTT
- Giải sgk Giáo dục công dân 9 - KNTT
- Giải sgk Tin học 9 - KNTT
- Giải sgk Công nghệ 9 - KNTT
- Giải sgk Hoạt động trải nghiệm 9 - KNTT
- Giải sgk Âm nhạc 9 - KNTT
- Giải sgk Mĩ thuật 9 - KNTT
- Lớp 9 Chân trời sáng tạo
- Soạn văn 9 (hay nhất) - CTST
- Soạn văn 9 (ngắn nhất) - CTST
- Giải sgk Toán 9 - CTST
- Giải sgk Khoa học tự nhiên 9 - CTST
- Giải sgk Lịch Sử 9 - CTST
- Giải sgk Địa Lí 9 - CTST
- Giải sgk Giáo dục công dân 9 - CTST
- Giải sgk Tin học 9 - CTST
- Giải sgk Công nghệ 9 - CTST
- Giải sgk Hoạt động trải nghiệm 9 - CTST
- Giải sgk Âm nhạc 9 - CTST
- Giải sgk Mĩ thuật 9 - CTST
- Lớp 9 Cánh diều
- Soạn văn 9 Cánh diều (hay nhất)
- Soạn văn 9 Cánh diều (ngắn nhất)
- Giải sgk Toán 9 - Cánh diều
- Giải sgk Khoa học tự nhiên 9 - Cánh diều
- Giải sgk Lịch Sử 9 - Cánh diều
- Giải sgk Địa Lí 9 - Cánh diều
- Giải sgk Giáo dục công dân 9 - Cánh diều
- Giải sgk Tin học 9 - Cánh diều
- Giải sgk Công nghệ 9 - Cánh diều
- Giải sgk Hoạt động trải nghiệm 9 - Cánh diều
- Giải sgk Âm nhạc 9 - Cánh diều
- Giải sgk Mĩ thuật 9 - Cánh diều


Giải bài tập SGK & SBT
Tài liệu giáo viên
Sách
Khóa học
Thi online
Hỏi đáp

