Tổng hợp Trắc nghiệm Quang học (có đáp án)
Với câu hỏi & bài tập trắc nghiệm Quang học có lời giải chi tiết sẽ giúp học sinh ôn tập trắc nghiệm Quang học.
Tổng hợp Trắc nghiệm Quang học (có đáp án)
(199k) Học KHTN 9 KNTTHọc KHTN 9 CDHọc KHTN 9 CTST
Câu 1: Chiếu một tia sáng từ không khí vào nước với góc tới là 600. Kết quả nào sau đây là hợp lý?
A. Góc khúc xạ r = 600
B. Góc khúc xạ r = 40030’
C. Góc khúc xạ r = 00
D. Góc khúc xạ r = 700
Chiếu một tia sáng từ không khí vào nước thì góc tới phải lớn hơn góc khúc xạ. Nếu góc tới là 600 thì kết quả góc khúc xạ r = 40030’ là hợp lý
→ Đáp án B
Câu 2: Một vật đặt trong khoảng tiêu cự của thấu kính hội tụ. Đặc điểm của ảnh của vật tạo bởi thấu kính là:
A. ảnh ảo, cùng chiều, nhỏ hơn vật.
B. ảnh ảo, cùng chiều, lớn hơn vật.
C. ảnh thật, cùng chiều, nhỏ hơn vật.
D. ảnh thật, ngược chiều, nhỏ hơn vật.
Đặc điểm của ảnh của vật tạo bởi thấu kính là ảnh ảo, cùng chiều, lớn hơn vật.
→ Đáp án B
Câu 3: Đặt một vật sáng AB vuông góc với trục chính của một thấu kính hội tụ có tiêu cự f = 16 cm. Có thể thu được ảnh nhỏ hơn vật tạo bởi thấu kính này khi đặt vật cách thấu kính là:
A. 8 cm
B. 16 cm
C. 32 cm
D. 48 cm
Đặt một vật sáng AB vuông góc với trục chính của một thấu kính hội tụ có tiêu cự f = 16 cm. Có thể thu được ảnh nhỏ hơn vật tạo bởi thấu kính này khi đặt vật cách thấu kính một khoảng lớn hơn hai lần tiêu cự, tức là d > 2f = 32cm
→ Đáp án D
Câu 4: Trong tác dụng sinh học của ánh sáng. Năng lượng ánh sáng đã biến thành
A. Nhiệt năng
B. Quang năng
C. Năng lượng cần thiết
D. Cơ năng
Năng lượng ánh sáng đã biến thành năng lượng cần thiết
→ Đáp án C
Câu 5: Điều nào sau đây là đúng khi nói về ảnh cho bởi thấu kính phân kì?
A. Vật đặt trong khoảng tiêu cự cho ảnh thật, ngược chiều với vật.
B. Vật đặt trong khoảng tiêu cự cho ảnh ảo, cùng chiều, lớn hơn vật.
C. Vật đặt ngoài khoảng tiêu cự cho ảnh thật.
D. Tất cả mọi trường hợp vật đặt trước thấu kính phân kì đều cho ảnh ảo, cùng chiều, bé hơn vật và luôn nằm trong khoảng tiêu cự của thấu kính.
Đối với thấu kính phân kì, vật đặt ở vị trí nào trước thấu kính đều cho ta một ảnh ảo.
→ Đáp án D
Câu 6: Ảnh của một vật hiện trên phim trong máy ảnh là:
A. ảnh thật, ngược chiều vật
B. ảnh thật, cùng chiều vật
C. ảnh ảo, ngược chiều vật
D. ảnh ảo, cùng chiều vật
Ảnh của một vật hiện trên phim trong máy ảnh là ảnh thật, ngược chiều vật
→ Đáp án A
Câu 7: Chọn phát biểu không đúng
A. Kính lúp dùng để quan sát những vật nhỏ.
B. Kính lúp là thấu kính hội tụ có tiêu cự ngắn.
C. Dùng kính lúp để nhìn các vật nhỏ thì ảnh quan sát được là ảnh thật lớn hơn vật.
D. Độ bội giác của kính lúp càng lớn thì ảnh quan sát được càng lớn.
Dùng kính lúp để nhìn các vật nhỏ thì ảnh quan sát được là ảnh ảo lớn hơn vật.
→ Đáp án C
Câu 8: Dùng máy ảnh mà vật kính cách phim 5cm để chụp ảnh của một người cao 1,6m, đứng cách máy 4m. Chiều cao của ảnh là:
A. 3 cm
B. 2 cm
C. 1 cm
D. 4 cm
Chiều cao của ảnh là:
→ Đáp án B
Câu 9: Lăng kính và đĩa CD có tác dụng gì?
A. Tổng hợp ánh sáng
B. Nhuộm màu cho ánh sáng
C. Phân tích ánh sáng
D. Khúc xạ ánh sáng
Lăng kính và đĩa CD có tác dụng phân tích ánh sáng
→ Đáp án C
Câu 10: Vật màu đỏ có đặc điểm nào dưới đây?
A. Tán xạ kém ánh sáng màu đỏ và tán xạ mạnh ánh sáng các màu khác.
B. Tán xạ mạnh ánh sáng màu đỏ và tán xạ kém ánh sáng màu khác.
C. Tán xạ mạnh tất cả các màu.
D. Tán xạ kém tất cả các màu.
Vật màu đỏ có đặc điểm tán xạ mạnh ánh sáng màu đỏ và tán xạ kém ánh sáng màu khác
→ Đáp án B
Câu 11: Vật AB đặt trước thấu kính hội tụ có tiêu cự f và cách thấu kính một khoảng OA cho ảnh A’B’ ngược chiều và cao bằng vật AB. Điều nào sau đây là đúng nhất?
A. OA = f
B. OA = 2f
C. OA > f
D. OA < f
Vật AB đặt trước thấu kính hội tụ cho ảnh A’B’ ngược chiều và cao bằng AB thì khi này vật cách thấu kính một khoảng bằng 2 lần tiêu cự
→ Đáp án B
Câu 12: Độ bội giác của một kính lúp là 5. Tiêu cự của kính có thể nhận giá trị nào trong các giá trị sau?
A. 5m
B. 5 cm
C. 5mm
D. 5dm
Áp dụng công thức
→ Đáp án B
Câu 13: Điều nào không đúng khi nói về mắt?
A. Hai bộ phận quan trọng của mắt là thủy tinh thể và màng lưới.
B. Thủy tinh thể là một thấu kính hội tụ làm bằng vật chất trong suốt và mềm.
C. Màng lưới là một màng mà khi ta nhìn thấy ảnh của vật sẽ thể hiện rõ trên đó.
D. Thủy tinh thể ở mắt đóng vai trò như buồng tối ở máy ảnh.
Thủy tinh thể ở mắt đóng vai trò như vật kính
→ Đáp án D
Câu 14: Một người cận thị, điểm xa nhất mà người đó nhìn rõ là 0,5m. Người đó muốn khắc phục tật cận thị phải lựa chọn kính như thế nào?
A. Kính hội tụ có tiêu cự f = 1m
B. Kính phân kì có tiêu cự f = 1m
C. Kính phân kì có tiêu cự f = 0,5m
D. Kính hội tụ có tiêu cự f = 0,5m
Tật cận thị muốn khắc phục phải đeo kính phân kì có f = OCV = 0,5m
→ Đáp án C
Câu 15: Một tờ giấy màu vàng được chiếu sáng bằng một bóng đèn điện dây tóc. Nếu nhìn tờ giấy đó qua hai tấm kính lọc màu đỏ và màu vàng chồng lên nhau thì ta thấy tờ giấy màu gì?
A. Vàng
B. Da cam
C. Lam
D. Đen
Nếu nhìn tờ giấy đó qua hai tấm kính lọc màu đỏ và màu vàng chồng lên nhau thì ta thấy tờ giấy là đen vì khi đó ánh sáng không qua được hai tấm kính
→ Đáp án D
Câu 16: Đặc điểm nào sau đây không phải là của mắt lão?
A. Chỉ nhìn được vật ở trong khoảng từ điểm cực cận đến điểm cực viễn.
B. Nhìn rõ những vật ở xa nhưng không nhìn rõ vật ở gần mắt.
C. Có điểm cực cận xa mắt hơn so với mắt bình thường.
D. Có khoảng cực cận lớn hơn so với mắt bình thường.
Chỉ nhìn được vật ở trong khoảng từ điểm cực cận đến điểm cực viễn không phải đặc điểm của mắt lão
→ Đáp án A
Câu 17: Trong ba nguồn sáng: Bút laze, Mặt Trời, đèn dây tóc nóng sáng thì nguồn nào phát ánh sáng trắng?
A. Bút laze, Mặt Trời
B. Mặt Trời
C. Mặt Trời, đèn dây tóc nóng sáng
D. Đèn dây tóc nóng sáng
Mặt Trời, đèn dây tóc nóng sáng là hai nguồn phát ánh sáng trắng
→ Đáp án C
Câu 18: Dưới ánh sáng đỏ và dưới ánh sáng lục, ta thấy một dòng chữ có màu đen. Vậy nếu là ánh sáng trắng, dòng chữ ấy có màu
A. đỏ
B. vàng
C. lục
D. xanh thẫm, tím hoặc đen
Vậy nếu là ánh sáng trắng, dòng chữ ấy có màu xanh thẫm, tím hoặc đen
→ Đáp án D
Câu 19: Câu nào dưới đây không đúng?
A. Vật màu trắng tán xạ tốt mọi ánh sáng (trắng, đỏ, vàng, lục, lam)
B. Vật có màu đen không tán xạ ánh sáng.
C. Vật có màu xanh tán xạ hoàn toàn ánh sáng trắng.
D. Vật có màu nào (trừ màu đen) thì tán xạ tốt ánh sáng màu đó.
Vật có màu xanh tán xạ hoàn toàn ánh sáng màu xanh
→ Đáp án C
Câu 20: Sự điều tiết của mắt có tác dụng gì?
A. làm tăng độ lớn của vật
B. làm ảnh của vật hiện rõ nét trên màng lưới
C. làm tăng khoảng cách đến vật
D. làm giảm khoảng cách đến vật
Sự điều tiết của mắt có tác dụng làm ảnh của vật hiện rõ nét trên màng lưới, khi đó mắt mới nhìn rõ vật
→ Đáp án B
II. Tự luận
Câu 1: Vật AB đặt vuông góc với trục chính của một thấu kính hội tụ, cách thấu kính 16 cm, A nằm trên trục chính. Tiêu cự của thấu kính là 12 cm.
a) Vẽ ảnh của AB
b) Ảnh cao gấp mấy lần vật? Vị trí của ảnh như thế nào?
Mà AB = OI
Câu 2: Ta biết Mặt Trời là nguồn phát ánh sáng trắng rất mạnh nhưng tại sao lúc bình minh hoặc lúc hoàng hôn thì ta lại thấy ánh sáng Mặt Trời lại có màu đỏ da cam?
Lúc bình minh hoặc lúc hoàng hôn thì ta lại thấy ánh sáng mặt trời lại có màu đỏ da cam vì trong khí quyển có vô số các hạt phân tử thể khí, cát bụi và những hạt nước nhỏ li ti. Lúc bình minh hoặc lúc hoàng hôn các phân tử thể khí, cát bụi và những hạt nước nhỏ li ti đóng vai trò như một lăng kính đã phân tích ánh sáng trắng của mặt trời thành nhiều chùm sáng màu khác nhau. Trong đó chỉ có chùm sáng màu đỏ da cam là truyền đến được mắt ta.
Câu 3: Hãy giải thích tại sao các bồn chưa xăng dầu thường được sơn màu nhũ bạc trắng còn trên tấm kính của pin mặt trời thường làm màu đen?
- Các bồn chưa xăng dầu thường được sơn màu nhũ bạc trắng để khi ánh sáng chiếu vào thì hầu như bị phản xạ nên chúng ít hấp thụ năng lượng của ánh sáng mặt trời. Nếu sơn các màu sẫm hoặc đen thì khi ánh sáng chiếu vào chúng sẽ hấp thụ gần như hầu hết năng lượng của ánh sáng. Kết quả chúng bị nóng lên nên rất dễ hây nguy hiểm hỏa hoạn.
- Pin mặt trời là một dụng cụ hấp thụ nhiệt năng của ánh sáng mặt trời càng nhiều càng tốt để chuyển hóa thành điện năng. Vì vậy nên tấm kính của pin mặt trời thường làm màu đen để chúng hấp thụ tốt năng lượng của ánh sáng làm cho pin tích trữ điện năng càng nhanh.
Câu 4: Các đèn sau và các đèn báo rẽ của xe ô tô, xe máy thường có màu đỏ hay vàng. Hãy tìm hiểu xem các ánh sáng màu đó được tạo ra bằng cách nào?
Các đèn sau và các đèn báo rẽ của xe ô tô, xe máy thực chất cũng là các bóng đèn dây tóc nóng sáng, các bóng đèn này phát ra ánh sáng trắng. Ánh sáng màu đỏ, vàng được tạo ra là nhờ có các vỏ nhựa trong suốt màu đỏ và màu vàng, chúng đóng vai trò là các tấm lọc màu.
Câu 5: Một người mắt thường có khoảng cực cận OCC = 25 cm đeo sát mắt một kính lúp để có thể nhìn rõ được vật gần nhất đặt cách mắt 15cm. Kích thước ảnh A’B’ qua kính là 4 mm. Tính kích thước của vật AB.
Để nhìn rõ vật AB đặt gần nhất cách mắt 15cm thì ảnh A’B’ là ảnh ảo nằm tại điểm cực cận CC của mắt tức là
⇒ OA = 15 cm; OA’ = OCC = 25cm
Theo đề bài thì kính đeo sát mắt: OK = OM = O ⇒ Tia sáng tới qua B và quang tâm O cũng sẽ đi qua ảnh B’ và B’’ như hình vẽ:
Ta có:
Câu 6: Một người dùng kính lúp có tiêu cự 8cm để quan sát một vật nhỏ. Vật đặt cách kính 6cm.
a) Dựng ảnh của vật qua kính. Ảnh của vật qua kính lúp là ảnh thật hay ảnh ảo?
b) Ảnh lớn hơn hay nhỏ hơn vật bao nhiêu lần?
a) Ảnh của vật qua kính lúp là ảnh ảo
b) Ta đặt OA = d, OA’ = d’, OF = f
Ta có:
Chia hai vế cho dd’f ta được
Thay vào (1) ta được:
Vậy A’B’ = 4AB
Câu 7: Đặt một vật sáng AB vuông góc với trục chính của một thấu kính hội tụ, A nằm trên trục chính, ta thu được ảnh A1B1 rõ nét trên màn cách thấu kính 15cm. Sau đó giữ nguyên vị trí thấu kính, dịch chuyển vật dọc theo trục chính lại gần thấu kính một đoạn a, thì thấy phải dời màn ảnh đi một đoạn b = 5cm mới thu được ảnh rõ nét A2B2 trên màn. Biết A2B2 = 2A1B1. Tính khoảng cách a và tiêu cự của thấu kính.
Lúc đầu trước khi dịch chuyển vật (hình vẽ)
Do Δ AOB ∼ Δ A1OB1 nên ta có :
Do Δ OIF’ ∼ Δ A1B1F’ nên ta có :
Do OI = AB ⇒
Từ (1) và (2) ta được:
Chia cả hai vế cho d1.d1’.f ta được :
Khi dịch chuyển vật lại gần thấu kính một đoạn a thì khoảng cách từ vật tới thấu kính lúc này là: d2 = d1 - a
Khoảng cách từ ảnh tới thấu kính lúc này là:
d2’ = d1’ + b = 15 + 5 = 20 (cm)
Áp dụng các công thức (1) và (3) cho trường hợp sau khi dịch chuyển vật ta được:
Do A2B2 = 2A1B1 nên từ (1) và (4) ta được:
Từ ( 3 ) và ( 5 ) ta được:
Giải hệ phương trình (6), (7) ta được: a = 10 (cm) ; d1 = 30 (cm).
Thay d1 = 30 (cm) vào (3) ta được tiêu cự của thấu kính là f = 10 cm.
Câu 8: Đặt một vật AB có dạng một đoạn thẳng nhỏ cao 2,4 cm vuông góc với trục chính của một kính lúp, cách kính lúp 8cm. Biết kính lúp có kí hiệu 2,5x ghi trên vành kính.
a) Vẽ ảnh của vật AB qua kính lúp
b) Xác định vị trí và độ cao của ảnh
a)
Ta có:
Chia hai vế cho dd’f ta được
Từ
Câu 9: Dùng thấu kính hội tụ có tiêu cự f = 5 cm làm kính lúp
a) Tính độ bội giác của kính lúp nói trên
b) Khi quan sát một vật nhỏ bằng kính lúp này thì thấy ảnh của vật qua kính lúp là ảnh ảo cao gấp 10 lần vật. Xác định vị trí đã đặt vật trước kính lúp và vị trí của ảnh.
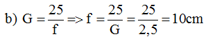
a) Áp dụng công thức:
b)
Theo đề bài ta có:
Ta có:
Chia hai vế cho dd’f ta được
Vậy vật cách kính 4,5 cm và ảnh cách kính 45cm
Câu 10: Một ly đựng đầy nước hình trụ cao 20 cm có đường kính 20 cm. Một người đặt mắt gần miệng ly nhìn theo phương AM thì vừa vặn thấy tâm O của đáy ly.
a) Vẽ đường đi của tia sáng phát ra từ O và truyền tới mắt người quan sát.
b) Tính góc hợp bởi phương của tia tới với phương của tia khúc xạ.
a) Đường đi của tia sáng là OIM
b) Góc
hợp bởi phương của tia tới với tia khúc xạ là
(199k) Học KHTN 9 KNTTHọc KHTN 9 CDHọc KHTN 9 CTST
Xem thêm Lý thuyết và Bài tập trắc nghiệm Vật Lí lớp 9 có đáp án và lời giải chi tiết khác:
- Lý thuyết Năng lượng và sự chuyển hóa năng lượng (hay, chi tiết)
- Trắc nghiệm Năng lượng và sự chuyển hóa năng lượng
- Lý thuyết Định luật bảo toàn năng lượng (hay, chi tiết)
- Trắc nghiệm Định luật bảo toàn năng lượng
- Lý thuyết Sản xuất điện năng - nhiệt điện và thủy điện (hay, chi tiết)
- Trắc nghiệm Sản xuất điện năng - nhiệt điện và thủy điện
Xem thêm các loạt bài Để học tốt Vật Lí lớp 9 hay khác:
Tủ sách VIETJACK luyện thi vào 10 cho 2k11 (2026):
Đã có app VietJack trên điện thoại, giải bài tập SGK, SBT Soạn văn, Văn mẫu, Thi online, Bài giảng....miễn phí. Tải ngay ứng dụng trên Android và iOS.
Theo dõi chúng tôi miễn phí trên mạng xã hội facebook và youtube:Loạt bài Lý thuyết - Bài tập Vật Lý 9 có đáp án của chúng tôi được biên soạn bám sát nội dung chương trình Vật Lý lớp 9.
Nếu thấy hay, hãy động viên và chia sẻ nhé! Các bình luận không phù hợp với nội quy bình luận trang web sẽ bị cấm bình luận vĩnh viễn.
- Giải Tiếng Anh 9 Global Success
- Giải sgk Tiếng Anh 9 Smart World
- Giải sgk Tiếng Anh 9 Friends plus
- Lớp 9 Kết nối tri thức
- Soạn văn 9 (hay nhất) - KNTT
- Soạn văn 9 (ngắn nhất) - KNTT
- Giải sgk Toán 9 - KNTT
- Giải sgk Khoa học tự nhiên 9 - KNTT
- Giải sgk Lịch Sử 9 - KNTT
- Giải sgk Địa Lí 9 - KNTT
- Giải sgk Giáo dục công dân 9 - KNTT
- Giải sgk Tin học 9 - KNTT
- Giải sgk Công nghệ 9 - KNTT
- Giải sgk Hoạt động trải nghiệm 9 - KNTT
- Giải sgk Âm nhạc 9 - KNTT
- Giải sgk Mĩ thuật 9 - KNTT
- Lớp 9 Chân trời sáng tạo
- Soạn văn 9 (hay nhất) - CTST
- Soạn văn 9 (ngắn nhất) - CTST
- Giải sgk Toán 9 - CTST
- Giải sgk Khoa học tự nhiên 9 - CTST
- Giải sgk Lịch Sử 9 - CTST
- Giải sgk Địa Lí 9 - CTST
- Giải sgk Giáo dục công dân 9 - CTST
- Giải sgk Tin học 9 - CTST
- Giải sgk Công nghệ 9 - CTST
- Giải sgk Hoạt động trải nghiệm 9 - CTST
- Giải sgk Âm nhạc 9 - CTST
- Giải sgk Mĩ thuật 9 - CTST
- Lớp 9 Cánh diều
- Soạn văn 9 Cánh diều (hay nhất)
- Soạn văn 9 Cánh diều (ngắn nhất)
- Giải sgk Toán 9 - Cánh diều
- Giải sgk Khoa học tự nhiên 9 - Cánh diều
- Giải sgk Lịch Sử 9 - Cánh diều
- Giải sgk Địa Lí 9 - Cánh diều
- Giải sgk Giáo dục công dân 9 - Cánh diều
- Giải sgk Tin học 9 - Cánh diều
- Giải sgk Công nghệ 9 - Cánh diều
- Giải sgk Hoạt động trải nghiệm 9 - Cánh diều
- Giải sgk Âm nhạc 9 - Cánh diều
- Giải sgk Mĩ thuật 9 - Cánh diều


Giải bài tập SGK & SBT
Tài liệu giáo viên
Sách
Khóa học
Thi online
Hỏi đáp

