17+ Bài tập trắc nghiệm Định luật Jun - Lenxo (có lời giải)
Tài liệu bài tập trắc nghiệm Định luật Jun - Lenxo lớp 9 có lời giải mới nhất với câu hỏi & bài tập đa dạng đầy đủ các mức độ nhận biết, thông hiểu, vận dụng, vận dụng cao giúp bạn biết cách làm bài tập Vật Lí 9.
17+ Bài tập trắc nghiệm Định luật Jun - Lenxo (có lời giải)
(199k) Học KHTN 9 KNTTHọc KHTN 9 CDHọc KHTN 9 CTST
Bài 1: Định luật Jun-Lenxơ cho biết điện năng biến đổi thành:
A. Cơ năng
B. Năng lượng ánh sáng
C. Hóa năng
D. Nhiệt năng
Lời giải
Định luật Jun - Lenxơ cho biết điện năng biến đổi thành nhiệt năng
Đáp án: D
Bài 2: Câu phát biểu nào dưới đây là không đúng? Nhiệt lượng tỏa ra ở dây dẫn khi có dòng điện chạy qua:
A. Tỉ lệ thuận với cường độ dòng điện, điện trở của dây dẫn và với thời gian dòng điện chạy qua
B. Tỉ lệ thuận với bình phương cường độ dòng điện, với điện trở của dây dẫn và với thời gian dòng điện chạy qua.
C. Tỉ lệ thuận với bình phương hiệu điện thế giữa hai đầu dây dẫn với thời gian dòng điện chạy qua và tỉ lệ nghịch với điện trở của dây dẫn
D. Tỉ lệ thuận với hiệu điện thế giữa hai đầu dây dẫn, với cường độ dòng điện và với thời gian dòng điện chạy qua.
Lời giải
Ta có:
Định luật Jun-Lenxơ
Nhiệt lượng tỏa ra trên dây dẫn khi có dòng điện chạy qua tỉ lệ thuận với bình phương cường độ dòng điện, tỉ lệ thuận với điện trở và thời gian dòng điện chạy qua
A - sai vì nhiệt lượng tỏa ra trên dây dẫn khi có dòng điện chạy qua tỉ lệ thuận với bình phương cường độ dòng điện
B, C, D - đúng
Đáp án: A
Bài 3: Biểu thức nào sau đây là công thức tính nhiệt lượng tỏa ra trên dây dẫn khi có dòng điện chạy qua:
A. Q = Irt
B. Q = I2Rt
C. Q = IR2t
D. Q = IRt2
Lời giải
Ta có: Q = I2Rt
Trong đó:
+ Q: nhiệt lượng tỏa ra (J)
+ I: cường độ dòng điện (A)
+ R: điện trở (Ω)
+ t: thời gian (s)
Đáp án: B
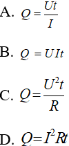
Bài 4: Đặt một hiệu điện thế U vào hai đầu của một biến trở R thì cường độ dòng điện chạy qua là I. Công thức nào dưới đây không phải là công thức tính nhiệt lượng tỏa ra trên dây dẫn trong thời gian t?

Lời giải
Ta có: 
Lại có: 
=> Nhiệt lượng Q còn được tính bởi các công thức khác:

Đáp án: A
Bài 5: Mắc các dây dẫn vào hiệu điện thế không đổi. Trong cùng một thời gian thì nhiệt lượng tỏa ra trên dây dẫn phụ thuộc như thế nào vào điện trở dây dẫn?
A. Tăng gấp đôi khi điện trở của dây dẫn tăng lên gấp đôi
B. Tăng gấp đôi khi điện trở của dây dẫn giảm đi một nửa
C. Tăng gấp bốn khi điện trở của dây dẫn giảm đi một nửa
D. Giảm đi một nửa khi điện trở của dây dẫn tăng lên gấp bốn
Lời giải
Ta có nhiệt lượng tỏa ra trên dây dẫn tỉ lệ thuận với điện trở R
=> Khi tăng gấp đôi điện trở của dây dẫn thì nhiệt lượng tỏa ra trên dây dẫn cũng tăng gấp đôi
Đáp án: A
Bài 6: Chọn câu trả lời đúng. Nhiệt lượng tỏa ra ở dây dẫn khi có dòng điện chạy qua phụ thuộc vào:
A. Điện trở R của dây dẫn
B. Cường độ dòng điện I chạy qua dây
C. Thời gian dòng điện chạy qua
D. Cả A, B, C đều đúng
Lời giải
Nhiệt lượng tỏa ra trên dây dẫn: 
=> Nhiệt lượng tỏa ra trên dây dẫn phụ thuộc vào: cường độ dòng điện chạy qua dây, điện trở dây dẫn và thời gian dòng điện chạy qua
Đáp án: D
Bài 7: Nếu đồng thời giảm điện trở của dây dẫn, cường độ dòng điện và thời gian dòng điện chạy qua dây dẫn đi một nửa thì nhiệt lượng tỏa ra trên dây sẽ thay đổi như thế nào?
A. Giảm đi 2 lần
B. Giảm đi 4 lần
C. Giảm đi 8 lần
D. Giảm đi 16 lần
Lời giải
Ta có: Nhiệt lượng tỏa ra trên dây dẫn: 
=> Khi đồng thời giảm điện trở của dây dẫn, cường độ dòng điện và thời gian dòng điện chạy qua dây dẫn đi một nửa: 
Nhiệt lượng tỏa ra trên dây khi đó: 
=> Nhiệt lượng sẽ giảm đi 16 lần
Đáp án: D
Bài 8: Chọn câu trả lời sai
Nhiệt lượng Q được dùng để đun nóng nước có khối lượng m1 , nhiệt dung riêng c1 và cốc đựng nước có khối lượng m2, nhiệt dung riêng c2 tăng từ nhiệt độ t10C lên t20C được liên hệ với nhau bởi công thức:

Lời giải
Ta có, nhiệt lượng: Q = mcΔt
Nhiệt lượng Q được dùng để đun nóng nước có khối lượng m1 , nhiệt dung riêng c1 và cốc đựng nước có khối lượng m2, nhiệt dung riêng c2 tăng từ nhiệt độ t10C lên t20C được liên hệ với nhau bởi công thức:

=> A, B, D - đúng
C - sai
Đáp án: D
Bài 9: Phương trình nào sau đây là phương trình cân bằng nhiệt:
A. Q tỏa + Q thu = 0
B. Q tỏa.Q thu = 0
C. Q tỏa – Q thu = 0
D. 
Lời giải
Phương trình cân bằng nhiệt:
Q tỏa = Q thu
Đáp án: C
Bài 10: Dòng điện có cường độ 2mA chạy qua một điện trở 3kΩ trong thời gian 10 phút thì nhiệt lượng tỏa ra ở điện trở này có giá trị nào dưới đây?
A. Q = 7,2J
B. Q = 60J
C. Q = 120J
D. Q = 3600J
Lời giải
Ta có:
Nhiệt lượng tỏa ra ở điện trở này là:

Đáp án: A
Bài 11: Một bếp điện khi hoạt động bình thường có điện trở R = 100Ω và cường độ dòng điện qua bếp là I = 4A. Nhiệt lượng mà bếp tỏa ra trong mỗi phút là:
A. 1,6kJ
B. 96kJ
C. 24kJ
D. 12kJ
Lời giải
Ta có: 
Nhiệt lượng mà bếp tỏa ra trong mỗi phút là:

Đáp án: B
Bài 12: Thời gian đun sôi 1,5l nước của một ấm điện là 10 phút. Hiệu điện thế giữa hai đầu dây nung của ấm là 220V. Điện trở của dây nung này có giá trị là bao nhiêu? Biết rằng nếu kể cả nhiệt lượng hao phí để đun sôi 1l nước thì cần nhiệt lượng là 420000J
A. 32Ω
B. 15 Ω
C. 24,2 Ω
D. 46,1Ω
Lời giải
Ta có:
+ Đun 1l nước thì cần nhiệt lượng là 420000J
=> Nhiệt lượng cần thiết để đun sôi 1,5l nước là: Q = 1,5.420000 = 630000J
+ Mặt khác, ta có: 
=> Điện trở của dây nung: 
Đáp án: D
Bài 13: Khi mắc một bàn là vào hiệu điện thế 110V thì dòng điện chạy qua nó có cường độ 5A. Bàn là này sử dụng như vậy trung bình 15 phút mỗi ngày. Hỏi nhiệt lượng tỏa ra trong 30 ngày là bao nhiêu?
A. 1485kJ
B. 4125kJ
C. 13750kJ
D. 14850kJ
Lời giải
Ta có:
+ Công suất tiêu thụ của bàn là là:
P = UI = 110.5 = 550W
+ Điện năng tiêu thụ của bàn là trong 1 ngày là:

=> Điện năng tiêu thụ của bàn là trong 30 ngày là:
A = 30A1 = 30.137,5 = 4125Wh
+ Nhiệt lượng tỏa ra của bàn là tỏa ra trong 30 ngày là:
Q = A = 4125Wh = 4125.60.60 = 14850000J = 14850kJ
Đáp án: D
Bài 14: Một bình nóng lạnh có ghi 220V - 1100W được sử dụng với hiệu điện thế 220V. Thời gian để bình đun sôi 10 lít nước từ nhiệt độ 240C là bao nhiêu? Biết nhiệt dung riêng của nước là 4200J/kg.K và nhiệt lượng bị hao phí là rất nhỏ.
A. 1 giờ
B. 30 phút
C. 50 phút 55 giây
D. 48 phút 22 giây
Lời giải
+ Cường độ dòng điện qua bình:

+ Ta có:
Điện năng tiêu thụ chính bằng nhiệt lượng:

Ta có:
2901,82s ≈ 48 phút 22 giây
Đáp án: D
Bài 15: Khi cho dòng điện có cường độ I1 = 1A chạy qua một thanh kim loại trong thời gian τ thì nhiệt độ của thanh tăng lên là Δt1 = 80C. Khi cho cường độ dòng điện I2 = 2A chạy qua thì trong thời gian đó nhiệt độ của thanh tăng thêm là Δt2 bằng:
A. 40C
B. 160C
C. 240C
D. 320C
Lời giải
Ta có: Nhiệt lượng được tính bởi các công thức

Gọi Q1, Q2 lần lượt là nhiệt lượng của thanh kim loại khi có cường độ dòng điện I1, I2 chạy qua
Ta có: 
Từ (1) và (2), ta suy ra:

Đáp án: D
Bài 16: Một bếp điện được sử dụng với hiệu điện thế 220V thì dòng điện chạy qua bếp có cường độ 2A. Dùng bếp này thì đun sôi được 1,5 lít nước từ nhiệt độ ban đầu 250C trong thời gian 20 phút. Nhiệt dung riêng của nước là c = 4200J/kg.K . Hiệu suất của bếp là:
A. 0,8949%
B. 8,949%
C. 89,49%
D. Không có đáp số nào đúng
Lời giải
+ Nhiệt lượng dùng để đun sôi nước là:

+ Nhiệt lượng bếp tỏa ra trong 20 phút:

Hiệu suất của bếp là:

Đáp án: C
Bài 17: Trong mùa đông, một lò sưởi điện có ghi 220V - 880W được sử dụng với hiệu điện thế 220V trong 4 giờ mỗi ngày. Nhiệt lượng mà lò sưởi này tỏa ra trong mỗi ngày là
A. 12672J
B. 3,52kWh
C. 3,52J
D. 12672000kWh
Lời giải
+ Ta có: P = UI
=> Cường độ dòng điện chạy qua lò sưởi là:

+ Nhiệt lượng tỏa ra của lò sưởi mỗi ngày là:

Đáp án: B
(199k) Học KHTN 9 KNTTHọc KHTN 9 CDHọc KHTN 9 CTST
Xem thêm bộ câu hỏi trắc nghiệm Vật Lí lớp 9 chọn lọc, có đáp án mới nhất hay khác:
- 13+ Bài tập trắc nghiệm Điện năng; Công của dòng điện (có lời giải)
- 10+ Bài tập trắc nghiệm Sử dụng an toàn và tiết kiệm điện (có lời giải)
- 20+ Bài tập trắc nghiệm Nam châm vĩnh cửu (có lời giải)
- 12+ Bài tập trắc nghiệm Tác dụng từ của dòng điện; Từ trường (có lời giải)
- 24+ Bài tập trắc nghiệm Từ phổ; Đường sức từ (có lời giải)
Xem thêm các loạt bài Để học tốt Vật Lí lớp 9 hay khác:
Tủ sách VIETJACK luyện thi vào 10 cho 2k11 (2026):
Đã có app VietJack trên điện thoại, giải bài tập SGK, SBT Soạn văn, Văn mẫu, Thi online, Bài giảng....miễn phí. Tải ngay ứng dụng trên Android và iOS.
Theo dõi chúng tôi miễn phí trên mạng xã hội facebook và youtube:Loạt bài Lý thuyết - Bài tập Vật Lý 9 có đáp án của chúng tôi được biên soạn bám sát nội dung chương trình Vật Lý lớp 9.
Nếu thấy hay, hãy động viên và chia sẻ nhé! Các bình luận không phù hợp với nội quy bình luận trang web sẽ bị cấm bình luận vĩnh viễn.
- Giải Tiếng Anh 9 Global Success
- Giải sgk Tiếng Anh 9 Smart World
- Giải sgk Tiếng Anh 9 Friends plus
- Lớp 9 Kết nối tri thức
- Soạn văn 9 (hay nhất) - KNTT
- Soạn văn 9 (ngắn nhất) - KNTT
- Giải sgk Toán 9 - KNTT
- Giải sgk Khoa học tự nhiên 9 - KNTT
- Giải sgk Lịch Sử 9 - KNTT
- Giải sgk Địa Lí 9 - KNTT
- Giải sgk Giáo dục công dân 9 - KNTT
- Giải sgk Tin học 9 - KNTT
- Giải sgk Công nghệ 9 - KNTT
- Giải sgk Hoạt động trải nghiệm 9 - KNTT
- Giải sgk Âm nhạc 9 - KNTT
- Giải sgk Mĩ thuật 9 - KNTT
- Lớp 9 Chân trời sáng tạo
- Soạn văn 9 (hay nhất) - CTST
- Soạn văn 9 (ngắn nhất) - CTST
- Giải sgk Toán 9 - CTST
- Giải sgk Khoa học tự nhiên 9 - CTST
- Giải sgk Lịch Sử 9 - CTST
- Giải sgk Địa Lí 9 - CTST
- Giải sgk Giáo dục công dân 9 - CTST
- Giải sgk Tin học 9 - CTST
- Giải sgk Công nghệ 9 - CTST
- Giải sgk Hoạt động trải nghiệm 9 - CTST
- Giải sgk Âm nhạc 9 - CTST
- Giải sgk Mĩ thuật 9 - CTST
- Lớp 9 Cánh diều
- Soạn văn 9 Cánh diều (hay nhất)
- Soạn văn 9 Cánh diều (ngắn nhất)
- Giải sgk Toán 9 - Cánh diều
- Giải sgk Khoa học tự nhiên 9 - Cánh diều
- Giải sgk Lịch Sử 9 - Cánh diều
- Giải sgk Địa Lí 9 - Cánh diều
- Giải sgk Giáo dục công dân 9 - Cánh diều
- Giải sgk Tin học 9 - Cánh diều
- Giải sgk Công nghệ 9 - Cánh diều
- Giải sgk Hoạt động trải nghiệm 9 - Cánh diều
- Giải sgk Âm nhạc 9 - Cánh diều
- Giải sgk Mĩ thuật 9 - Cánh diều


Giải bài tập SGK & SBT
Tài liệu giáo viên
Sách
Khóa học
Thi online
Hỏi đáp

