20+ Bài tập trắc nghiệm Máy biến thế (có lời giải)
Tài liệu bài tập trắc nghiệm Máy biến thế lớp 9 có lời giải mới nhất với câu hỏi & bài tập đa dạng đầy đủ các mức độ nhận biết, thông hiểu, vận dụng, vận dụng cao giúp bạn biết cách làm bài tập Vật Lí 9.
20+ Bài tập trắc nghiệm Máy biến thế (có lời giải)
(199k) Học KHTN 9 KNTTHọc KHTN 9 CDHọc KHTN 9 CTST
Bài 1: Các bộ phận chính của máy biến áp gồm:
A. Hai cuộn dây dẫn có số vòng dây khác nhau và nam châm điện
B. Hai cuộn dây dẫn có số vòng dây khác nhau và một lõi sắt
C. Hai cuộn dây dẫn có số vòng dây giống nhau và nam châm vĩnh cửu
D. Hai cuộn dây dẫn có số vòng dây giống nhau và nam châm điện
Lời giải
Các bộ phận chính của máy biến áp:
+ Hai cuộn dây dẫn có số vòng dây khác nhau, đặt cách điện với nhau
+ Một lõi sắt (hay thép) có pha silic chung cho cả hai cuộn dây
Đáp án: B
Bài 2: Chọn phát biểu đúng.
A. Khi một hiệu điện thế xoay chiều vào hai đầu cuộn dây sơ cấp của một máy biến thế thì ở cuộn dây thứ cấp xuất hiện một hiệu điện thế xoay chiều
B. Máy biến thế có thể chạy bằng dòng điện một chiều
C. Không thể dùng dòng điện xoay chiều để chạy máy biến thế mà dùng dòng điện một chiều để chạy máy biến thế
D. Máy biến thế gồm một cuộn dây và mội lõi sắt
Lời giải
A - đúng
B, C - sai vì: Không thể dùng dòng điện không đổi (dòng điện một chiều) để chạy máy biến thế được
D - sai vì: Máy biến thế gồm hai cuộn dây có số vòng khác nhau và một lõi sắt
Đáp án: A
Bài 3: Máy biến thế là thiết bị:
A. Giữ hiệu điện thế không đổi.
B. Giữ cường độ dòng điện không đổi.
C. Biến đổi hiệu điện thế xoay chiều.
D. Biến đổi cường độ dòng điện không đổi.
Lời giải
Máy biến thế là thiết bị biến đổi hiệu điện thế xoay chiều
Đáp án: C
Bài 4: Máy biến thế là thiết bị dùng để biến đổi hiệu điện thế của dòng điện
A. Xoay chiều
B. Một chiều không đổi.
C. Xoay chiều và cả một chiều không đổi
D. Không đổi.
Lời giải
Máy biến thế là thiết bị biến đổi hiệu điện thế xoay chiều
Đáp án: A
Bài 5: Máy biến thế dùng để:
A. Tăng, giảm hiệu điện thế một chiều
B. Tăng, giảm hiệu điện thế xoay chiều
C. Tạo ra dòng điện một chiều
D. Tạo ra dòng điện xoay chiều
Lời giải
Máy biến thế dùng để tăng hoặc giảm hiệu điện thế xoay chiều
+ Tăng hiệu điện thế => máy tăng thế
+ Giảm hiệu điện thế => máy hạ thế
Đáp án: B
Bài 6: Máy biến thế có cuộn dây
A. Đưa điện vào là cuộn sơ cấp
B. Đưa điện vào là cuộn cung cấp
C. Đưa điện vào là cuộn thứ cấp
D. Lấy điện ra là cuộn sơ cấp
Lời giải
Máy biến thế có cuộn dây đưa điện vào là cuộn sơ cấp và cuộn dây lấy điện ra là cuộn thứ cấp.
Đáp án: A
Bài 7: Với 2 cuộn dây có số vòng dây khác nhau ở máy biến thế
A. Cuộn dây ít vòng hơn là cuộn sơ cấp
B. Cuộn dây nhiều vòng hơn là cuộn sơ cấp.
C. Cuộn dây ít vòng hơn là cuộn thứ cấp
D. Cuộn dây nào cũng có thể là cuộn thứ cấp.
Lời giải
Hiệu điện thế ở hai đầu mỗi cuộn dây của máy biến thế tỉ lệ với số vòng dây của mỗi cuộn: 
+ Khi hiệu điện thế ở cuộn sơ cấp lớn hơn hiệu điện thế ở cuộn thứ cấp (U1 > U2) ta có máy hạ thế
+ Khi hiệu điện thế ở cuộn sơ cấp nhỏ hơn hiệu điện thế ở cuộn thứ cấp ( U1 < U2) ta có máy tăng thế
=> Cuộn dây nào cũng có thể là cuộn thứ cấp
Đáp án: D
Bài 8: Trong máy biến thế :
A. Cả hai cuộn dây đều được gọi chung là cuộn sơ cấp.
B. Cả hai cuộn dây đều được gọi chung là cuộn thứ cấp.
C. Cuộn dẫn điện vào là cuộn sơ cấp, cuộn dẫn điện ra là cuộn thứ cấp.
D. Cuộn dẫn điện vào là cuộn thứ cấp, cuộn dẫn điện ra là cuộn sơ cấp.
Lời giải
Máy biến thế có cuộn dây đưa điện vào là cuộn sơ cấp và cuộn dây lấy điện ra là cuộn thứ cấp.
Đáp án: C
Bài 9: Nếu đặt vào hai đầu cuộn dây sơ cấp của máy biến thế một hiệu điện thế xoay chiều thì từ trường trong lõi sắt từ sẽ:
A. Luôn giảm
B. Luôn tăng
C. Biến thiên
D. Không biến thiên
Lời giải
Khi đặt vào hai dầy cuộn sơ cấp một hiệu điện thế xoay chiều thì sẽ tạo ra trọng cuộn dây đó một dòng điện xoay chiều. Lõi sắt bị nhiễm từ trở thành nam châm có từ trường biến thiên.
Đáp án: C
Bài 10: Không thể sử dụng dòng điện không đổi để chạy máy biến thế vì khi sử dụng dòng điện không đổi thì từ trường trong lõi sắt từ của máy biến thế:
A. Chỉ có thể tăng
B. Chỉ có thể giảm
C. Không thể biến thiên
D. Không được tạo ra.
Lời giải
Vì máy biến thế hoạt động dựa trên hiện tượng cảm ứng điện từ. Nghĩa là dòng điện cảm ứng chỉ xuất hiện khi số đường sức từ xuyên qua tiết diện S của ống dây dẫn biến thiên.
Trong khi đó, khi dòng điện một chiều chạy qua khung dây của máy biến thế thì từ trường sinh ra là từ trường không đổi ( nghĩa là số đường sức từ không biến thiên ), từ trường không đổi này đi qua tiết diện S của ống dây ( không thỏa mãn điều kiện để xuất hiện dòng điện cảm ứng ) nên không xuất hiện dòng điện cảm ứng ( ở cuộn thứ cấp ).
Đáp án: C
Bài 11: Khi có dòng điện một chiều, không đổi chạy trong cuộn dây sơ cấp của một máy biến thế thì trong cuộn thứ cấp đã nối thành mạch kín
A. Có dòng điện một chiều không đổi.
B. Có dòng điện một chiều biến đổi.
C. Có dòng điện xoay chiều.
D. Vẫn không xuất hiện dòng điện.
Lời giải
Vì dòng điện một chiều không đổi sẽ tạo ra một từ trường không đổi, dẫn đến số đường sức từ xuyên qua tiết diện của cuộn thứ cấp không đổi. Khi đó trong cuộn thứ cấp không có dòng điện cảm ứng.
Đáp án: D
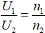
Bài 12: Gọi n1; U1 là số vòng dây và hiệu điện thế giữa hai đầu cuộn sơ cấp. Gọi n2; U2 là số vòng dây và hiệu điện thế giữa hai đầu cuộn thứ cấp của một máy biến thế. Hệ thức đúng là:

Lời giải
Hiệu điện thế ở hai đầu mỗi cuộn dây của máy biến thế tỉ lệ với số vòng dây của mỗi cuộn:
Đáp án: A
Bài 13: Với n1, n2 lần lượt là số vòng dây cuộn sơ cấp và cuộn thứ cấp; U1, U2 là hiệu điện thế giữa hai đầu dây cuộn sơ cấp và cuộn thứ cấp của một máy biến thế ta có biểu thức không đúng là:

Lời giải
Hiệu điện thế ở hai đầu mỗi cuộn dây của máy biến thế tỉ lệ với số vòng dây của mỗi cuộn: 
Đáp án: D
Bài 14: Một máy biến thế có số vòng dây cuộn sơ cấp gấp 3 lần số vòng dây cuộn thứ cấp thì hiệu điện thế ở hai đầu cuộn thứ cấp so với hiệu điện thế ở hai đầu cuộn sơ cấp sẽ:
A. Giảm 3 lần
B. Tăng 3 lần
C. Giảm 6 lần
D. Tăng 6 lần.
Lời giải
Ta có: 
Đáp án: A
Bài 15: Một máy biến thế có số vòng dây cuộn thứ cấp gấp 3 lần số vòng dây cuộn sơ cấp thì hiệu điện thế ở hai đầu cuộn thứ cấp so với hiệu điện thế ở hai đầu cuộn sơ cấp sẽ:
A. Giảm 3 lần
B. Tăng 3 lần
C. Giảm 6 lần
D. Tăng 6 lần
Lời giải
Ta có:
Đáp án: B
Bài 16: Để nâng hiệu điện thế từ U = 25000V lên đến hiệu điện thế U' = 500000V, thì phải dùng máy biến thế có tỉ số giữa số vòng dây của cuộn sơ cấp và số vòng dây của cuộn thứ cấp là:
A. 0,005
B. 0,05
C. 0,5
D. 5
Lời giải
Ta có: 
Đáp án: B
Bài 17: Để sử dụng thiết bị có hiệu điện thế định mức 24V ở nguồn điện có hiệu điện thế 220V phải sử dụng máy biến thế có hai cuộn dây với số vòng dây tương ứng là:
A. Sơ cấp 3458 vòng, thứ cấp 380 vòng
B. Sơ cấp 380 vòng, thứ cấp 3458 vòng
C. Sơ cấp 360 vòng, thứ cấp 3300 vòng
D. Sơ cấp 3300 vòng, thứ cấp 360 vòng
Lời giải

=> Số vòng dây của cuộn sơ cấp lớn hơn số vòng dây của cuộn thứ cấp
=>Dùng máy tính kiểm tra các phương án A và D thấy phương án D thỏa mãn:

Đáp án: D
Bài 18: Cuộn sơ cấp của một máy biến thế có 4400 vòng và cuộn thứ cấp có 240 vòng. Nếu hiệu điện thế giữa hai đầu cuộn sơ cấp là 220V, thì hiệu điện thế giữa hai đầu cuộn thứ cấp là:
A. 50V
B. 120V
C. 12V
D. 60V
Lời giải
Ta có:

Đáp án: C
Bài 19: Số vòng dây cuộn sơ cấp và cuộn thứ cấp của một máy biến thế lần lượt có 1500 vòng và 150 vòng. Nếu hiệu điện thế giữa hai đầu cuộn thứ cấp là 220V, thì hiệu điện thế giữa hai đầu cuộn sơ cấp là:
A. 22000V
B. 2200V
C. 22V
D. 2,2V
Lời giải

Đáp án: B
Bài 20: Hiệu điện thế giữa hai đầu dây cuộn sơ cấp và cuộn thứ cấp của một máy biến thế lần lượt là 220V và (12V. Nếu số vòng dây cuộn sơ cấp là440 vòng, thì số vòng dây cuộn thứ cấp là:
A. 240 vòng
B. 60 vòng
C. 24 vòng
D. 6 vòng
Lời giải
Ta có:
vòng
Đáp án: C
(199k) Học KHTN 9 KNTTHọc KHTN 9 CDHọc KHTN 9 CTST
Xem thêm bộ câu hỏi trắc nghiệm Vật Lí lớp 9 chọn lọc, có đáp án mới nhất hay khác:
- 28+ Bài tập trắc nghiệm Truyền tải điện năng đi xa (có lời giải)
- 15+ Bài tập trắc nghiệm Hiện tượng khúc xạ ánh sáng (có lời giải)
- 20+ Bài tập trắc nghiệm Quan hệ giữa góc tới và góc khúc xạ (có lời giải)
- 20+ Bài tập trắc nghiệm Thấu kính hội tụ (có lời giải)
- 15+ Bài tập trắc nghiệm Ảnh của một vật tạo bởi thấu kính hội tụ (có lời giải)
Xem thêm các loạt bài Để học tốt Vật Lí lớp 9 hay khác:
Tủ sách VIETJACK luyện thi vào 10 cho 2k11 (2026):
Đã có app VietJack trên điện thoại, giải bài tập SGK, SBT Soạn văn, Văn mẫu, Thi online, Bài giảng....miễn phí. Tải ngay ứng dụng trên Android và iOS.
Theo dõi chúng tôi miễn phí trên mạng xã hội facebook và youtube:Loạt bài Lý thuyết - Bài tập Vật Lý 9 có đáp án của chúng tôi được biên soạn bám sát nội dung chương trình Vật Lý lớp 9.
Nếu thấy hay, hãy động viên và chia sẻ nhé! Các bình luận không phù hợp với nội quy bình luận trang web sẽ bị cấm bình luận vĩnh viễn.
- Giải Tiếng Anh 9 Global Success
- Giải sgk Tiếng Anh 9 Smart World
- Giải sgk Tiếng Anh 9 Friends plus
- Lớp 9 Kết nối tri thức
- Soạn văn 9 (hay nhất) - KNTT
- Soạn văn 9 (ngắn nhất) - KNTT
- Giải sgk Toán 9 - KNTT
- Giải sgk Khoa học tự nhiên 9 - KNTT
- Giải sgk Lịch Sử 9 - KNTT
- Giải sgk Địa Lí 9 - KNTT
- Giải sgk Giáo dục công dân 9 - KNTT
- Giải sgk Tin học 9 - KNTT
- Giải sgk Công nghệ 9 - KNTT
- Giải sgk Hoạt động trải nghiệm 9 - KNTT
- Giải sgk Âm nhạc 9 - KNTT
- Giải sgk Mĩ thuật 9 - KNTT
- Lớp 9 Chân trời sáng tạo
- Soạn văn 9 (hay nhất) - CTST
- Soạn văn 9 (ngắn nhất) - CTST
- Giải sgk Toán 9 - CTST
- Giải sgk Khoa học tự nhiên 9 - CTST
- Giải sgk Lịch Sử 9 - CTST
- Giải sgk Địa Lí 9 - CTST
- Giải sgk Giáo dục công dân 9 - CTST
- Giải sgk Tin học 9 - CTST
- Giải sgk Công nghệ 9 - CTST
- Giải sgk Hoạt động trải nghiệm 9 - CTST
- Giải sgk Âm nhạc 9 - CTST
- Giải sgk Mĩ thuật 9 - CTST
- Lớp 9 Cánh diều
- Soạn văn 9 Cánh diều (hay nhất)
- Soạn văn 9 Cánh diều (ngắn nhất)
- Giải sgk Toán 9 - Cánh diều
- Giải sgk Khoa học tự nhiên 9 - Cánh diều
- Giải sgk Lịch Sử 9 - Cánh diều
- Giải sgk Địa Lí 9 - Cánh diều
- Giải sgk Giáo dục công dân 9 - Cánh diều
- Giải sgk Tin học 9 - Cánh diều
- Giải sgk Công nghệ 9 - Cánh diều
- Giải sgk Hoạt động trải nghiệm 9 - Cánh diều
- Giải sgk Âm nhạc 9 - Cánh diều
- Giải sgk Mĩ thuật 9 - Cánh diều


Giải bài tập SGK & SBT
Tài liệu giáo viên
Sách
Khóa học
Thi online
Hỏi đáp

