Top 26 Bài tập trắc nghiệm Hàm số bậc nhất (có lời giải)
Tài liệu Bài tập trắc nghiệm Hàm số bậc nhất lớp 9 có đáp án với các dạng bài tập cơ bản, nâng cao đầy đủ các mức độ: nhận biết, thông hiểu, vận dụng, vận dụng cao sẽ giúp học sinh ôn luyện và biết cách làm các dạng bài tập Toán 9.
Top 26 Bài tập trắc nghiệm Hàm số bậc nhất (có lời giải)
(199k) Học Toán 9 KNTTHọc Toán 9 CDHọc Toán 9 CTST
Câu 1: Đồ thị hàm số y = ax + b (a ≠ 0) cắt trục hoành tại điểm có hoành độ bằng… và cắt trục tung tại điểm có tung độ bằng…”. Trong dấu “…” lần lượt là?
Lời giải:
Đồ thị hàm số y = ax + b cắt trục hoành ⇒ y = 0 ⇒ ax + b = 0
ĐTHS y = ax + b cắt trục tung ⇒ x = 0 ⇒ y = a.0 + b ⇒ y = b
Vậy hàm số y = ax + b (a ≠ 0) cắt trục hoành tại điểm có hoành độ bằng và cắt trục tung tại điểm có tung độ bằng b
Đáp án cần chọn là: B
Câu 2: Điểm nào sau đây thuộc ĐTHS y = 2x + 1:
A. (0; 1)
B. (0; −1)
C. (1; 0)
D. (−1; 2)
Lời giải:
Đáp án A: Thay x0 = 0; y0 = 1 vào hàm số, ta có 2.0 + 1 = 1 ⇒ (0; 1) thuộc ĐTHS đã cho
Đáp án cần chọn là: A
Câu 3: Với giá trị nào của m thì điểm (1; 2) thuộc đường thẳng x – y = m?
A. −2
B. 2
C. 1
D. −1
Lời giải:
Điểm (1; 2) thuộc ĐTHS x – y = m ⇔ 1 – 2 = m ⇔ −1 = m
Đáp án cần chọn là: D
Câu 4: Điểm (−2; 3) thuộc đường thẳng nào trong các đường thẳng có phương trình sau:
A. 3x – 2y = 3
B. 3x – y = 0
C. 0x + y = 3
D. 0xx – 3y = 9
Lời giải:
Ta có 3(−2) – 2.3 = −12 ≠ 3 ⇒ Loại A
3(−2) – 3 = −9 ≠ 0 ⇒ Loại B
0(−2) + 3 = 3
Đáp án cần chọn là: C
Câu 5: Đồ thị hàm số y = (3 – m)x + m + 3 đi qua gốc tọa độ khi:
A. m = −3
B. m = 3
C. m 3
D. m
Lời giải:
Ta có điểm O (0; 0) thuộc đường thẳng
y = (3 – m)x + m + 3 ⇔ (3 – m).0 + m + 3 = 0 ⇔ m + 3 = 0 ⇔ m = −3
Đáp án cần chọn là: A
Câu 6: Cho 3 đường thẳng (d): y = (m + 2)x – 3m; (d’): y = 2x + 4; (d’’): y = −3x – 1. Giá trị của m để 3 đường thẳng trên đồng quy là:
A. −1
B. 1
C. 2
D. −2
Lời giải:
Xét phương trình hoành độ giao điểm A của (d’) và (d’’)
2x + 4 = −3x – 1 ⇔ 5x = −5 ⇔ x = −1
⇒ y = 2(−1) + 4 = 2 ⇒ A (−1; 2)
Để (d); (d’); (d’’) đồng quy thì A (−1; 2) ∈ (d)
⇔ 2 = (m + 2).(−1) – 3m ⇔ 2 = −2 – 4m ⇔ 4m = −4 ⇔ m = −1
Vậy khi m = −1 thì (d); (d’); (d’’) đồng quy tại A (−1; 2)
Đáp án cần chọn là: A
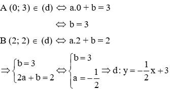
Câu 7: Cho 3 điểm A (0; 3); B (2; 2); C (m + 3; m). Giá trị của điểm m để 3 điểm A, B, C thẳng hàng là?
A. 1
B. −3
C. 3
D. −1
Lời giải:
Gọi d: y = ax + b là đường thẳng đi qua A và B
Đáp án cần chọn là: A
Câu 8: Tìm m để đường thẳng (d): y = x + 3; (d’): y = −x + 1; (d’’): y = √3x – m – 2 đồng quy
A. m = 4 + √3
B. m = −4 − √3
C. m = 4 − √3
D. m = 2 + √3
Lời giải:
(d): y = x + 3; (d’): y = −x + 1; (d’’): y = √3x – m – 2
Xét phương trình hoành độ giao điểm của d và d’
x + 3 = −x + 1 ⇔ 2x = −2 ⇔ x = −1 ⇒ y = 2
Do đó, d và d’ cắt nhau tại điểm (−1; 2)
Đáp án cần chọn là: B
Câu 9: Giá trị của m để đường thẳng y = (m – 1)x – m cắt trục tung tại điểm có tung độ là 1 + √2
A. −1 − √2
B. 1 + √2
C. √2 − 1
D. Đáp án khác
Lời giải:
Đồ thị hàm số y = (m – 1)x – m cắt trục tung tại điểm có tung độ là 1 + √2
⇒ −m = 1 + √2 ⇒ m = −1 − √2
Đáp án cần chọn là: A
Câu 10: Hai đồ thị hàm số
cắt nhau tại điểm:
A. (−4; −1)
B. (−4; 1)
C. (4; 1)
D. (4; −1)
Lời giải:
Xét phương trình hoành độ giao điểm:
Vậy giao điểm cần tìm có tọa độ (−4; 1)
Đáp án cần chọn là: D
Câu 11: Cho 2 đường thẳng . Tìm giá trị của m để d cắt d’ tại điểm nằm trên trục tung.
Lời giải:
Xét phương trình hoành độ giao điểm của d và d’:
Đáp án cần chọn là: D
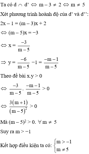
Câu 12: Cho 2 đường thẳng d: y = 2x – 1; d’: y = (m – 3)x + 2. Tìm m để d cắt d’ mà hoành độ và tung độ giao điểm cùng dấu.
Lời giải:
Đáp án cần chọn là: B
Câu 13: Tìm m để đường thẳng (d): 2y + x – 7 = 0; (d’): y = 3; (d’’): y = mx – 1 đồng quy.
A. m = −4
B. m = 3
C. m = 4
D. Cả A và C đúng
Lời giải:
Xét phương trình hoành độ giao điểm của (d) và (d’’):
nên tọa độ giao điểm là (1; 3)
Để (d); (d’); (d’’) đồng quy thì (1; 3) ∈ (d’’) ⇔ 3 = 1.m – 1 ⇔ m = 4
Vậy với m = 4 thì (d); (d’); (d’’) đồng quy
Đáp án cần chọn là: C
Câu 14: Tìm m để 2 đường thẳng d: y = 2x + m + 3; d’: y = −4x – m – 2 cắt nhau tại 1 điểm thuộc trục hoành.
A. m = −4
B. m = −2
C. m = 2
D. Đáp án khác
Lời giải:
Xét phương trình hoành độ giao điểm của (d) và (d’):
Ta có d cắt d’ tại điểm thuộc trục hoành nên
Vậy m = −4
Đáp án cần chọn là: A
Câu 15: Cho đường thẳng d: y = x – 1. Khi đó khoảng cách từ gốc tọa độ đến đường thẳng đã cho là:
Lời giải:
Ta có
d ∩ Ox tại A (1; 0) ⇒ OA = 1
d ∩ Oy tại B (0; −1) ⇒ OB = 1
Ta có OA ⊥ OB. Gọi H là hình chiếu của O trên đường thẳng AB.
Áp dụng hệ thức trong tam giác, ta có:
Đáp án cần chọn là: C
Câu 16: Cho đường thẳng d vuông góc với và d đi qua P (1; −1). Khi đó phương trình đường thẳng d là:
A. y = 3x – 4
B. y = 3x + 4
C. y = 3x – 2
D. y = 3x + 1
Lời giải:
Đường thẳng d vuông góc với đường thẳng d’
Đường thẳng d đi qua điểm P (1; −1) ⇒ 3.1 + b = −1 ⇔ b = −4
⇒ d: y = 3x – 4
Đáp án cần chọn là: A
Câu 17: Đường thẳng y = ax + b đi qua 2 điểm M (−3; 2) và N (1; −1) là:
Lời giải:
Gọi d: y = ax + b đi qua 2 điểm M (−3; 2) và N (1; −1)
M thuộc d ⇔ −3a + b = 2 ⇒ b = 2 + 3a (1)
N thuộc d ⇔ 1.a + b = −1 ⇒ b = −1 – a (2)
Từ (1) và (2) suy ra 2 + 3a = −1 – a 4a = −3 a =
Đáp án cần chọn là: B
Câu 18: Cho đường thẳng d’: y = −2x + 6. Gọi M, N lần lượt là giao điểm của d’ với Ox và Oy. Khi đó, chu vi tam giác OMN là:
Lời giải:
Ta có
d’ ∩ Ox tại M (3; 0) ⇒ OM = 3
d’ ∩ Oy tại N (0; 6) ⇒ OB = 6
Ta có tam giác OMN vuông tại O
Áp dụng định lý Py ta go ta có:
MN2 = OM2 + ON2 = 9 + 36 = 45 MN = 3√5
Suy ra chu vi tam giác OMN là:
MN + OM + ON = 3√5 + 3 + 6 = 9 + 3√5
Đáp án cần chọn là: B
Câu 19: Cho 2 đường thẳng d: y = 2x – 1; d’: y = x – 3. Đường thẳng nào đi qua giao điểm của d và d’?
Lời giải:
Xét phương trình hoành độ giao điểm của d và d’ ta có:
2x – 1 = x – 3 ⇔ x = −2 ⇒ y = −5 ⇒ M (−2; −5)
Trước hết xét M có thuộc đường thẳng y = 3x + 1 không?
Ta có 3.xM + 1 = 3.(−2) + 1 = −5 = yM nên M thuộc đồ thị hàm số y = 3x + 1
hay A đúng
Đáp án cần chọn là: A
Câu 20: Đường thẳng y = ax + b đi qua điểm (3; 2). Khi đó 6a + 2b bằng:
A. 2
B. 4
C. −4
D. 6
Lời giải:
Điểm (3; 2) thuộc đường thẳng y = ax + b ⇒ 3a + b = 2
Ta có 6a + 2b = 2 (3a + b) = 2.2 = 4
Đáp án cần chọn là: B
Câu 21: Biết đồ thị hàm số y = ax + b cắt trục hoành tại điểm có hoành độ bằng 1và cắt trục tung tại điểm có tung độ bằng 2. Giá trị của a và b lần lượt là:
Lời giải:
Đồ thị hàm số y = ax + b cắt trục hoành tại điểm có hoành độ bằng 1 và cắt trục tung tại điểm có tung độ bằng 2
Đáp án cần chọn là: D
Câu 22: Đường thẳng d: y = ax + b đi qua điểm A (2; −1) và M. Biết M thuộc đường thẳng d’: 2x + y = 3 và điểm M có hoành độ bằng 0,5. Khi đó a nhận giá trị là:
A. a = 1
B. a = ±1
C. a = −1
D. a = −2
Lời giải:
Điểm A (2; −1) ∈ d: y = ax + b ⇔ 2a + b = −1
Điểm M ∈ d’: 2x + y = 3 có
Vậy a = −2
Đáp án cần chọn là: D
Câu 23: Tìm m để giao điểm của d: mx + 2y = 5; d’: y = −2x + 1 nằm ở góc phần tư thứ nhất.
A. m = 10
B. m < 10
C. m > 10
D. m = −10
Lời giải:
Xét phương trình hoành độ giao điểm của d và d’
Do d cắt d’ tại điểm nằm ở góc phần tư thứ nhất nên ta có:
Kết hợp điều kiện suy ra m > 10 thỏa mãn yêu cầu đề bài
Đáp án cần chọn là: C
Câu 24: Tìm m để giao điểm của d: y = 12x + 5 – m; d’: y = 3x + m + 3 nằm bên trái trục tung.
A. m < 1
B. m = 1
C. m > 1
D. m > 2
Lời giải:
Xét phương trình hoành độ giao điểm của d và d’
Do d cắt d’ tại điểm nằm bên trái trục tung nên ta có:
Đáp án cần chọn là: A
Câu 25: Cho đường thẳng d1: y = 2x + 6 cắt Ox; Oy theo thứ tự A và B. Diện tích tam giác OAB là
A. 9
B. 18
C. 12
D. 6
Lời giải:
Đáp án cần chọn là: A
Câu 26: Cho đường thẳng d: y = x + 2; d’: y = −2x + 5. Gọi M là giao điểm của d và d’. A và B lần lượt là giao điểm của d và d’ với trục hoành. Khi đó, diện tích tam giác AMB là:
Lời giải:
Xét phương trình hoành độ giao điểm của d1 và d2
x + 2 = −2x + 5 ⇔ x = 1 ⇒ y = 3 ⇒ d1 ∩ d2 tại M(1;3)
Gọi H là chân đường vuông góc kẻ từ M tới Ox. Suy ra MH = 3
Đáp án cần chọn là: D
(199k) Học Toán 9 KNTTHọc Toán 9 CDHọc Toán 9 CTST
Xem thêm bài tập trắc nghiệm Toán lớp 9 có lời giải hay khác:
- Trắc nghiệm Đường thẳng song song và đường thẳng cắt nhau (có đáp án)
- Trắc nghiệm Đường thẳng song song và đường thẳng cắt nhau (có đáp án - phần 2)
- Trắc nghiệm Hệ số góc của đường thẳng y = ax + b (có đáp án)
- Trắc nghiệm Hệ số góc của đường thẳng y = ax + b (có đáp án - phần 2)
Tủ sách VIETJACK luyện thi vào 10 cho 2k11 (2026):
Đã có app VietJack trên điện thoại, giải bài tập SGK, SBT Soạn văn, Văn mẫu, Thi online, Bài giảng....miễn phí. Tải ngay ứng dụng trên Android và iOS.
Theo dõi chúng tôi miễn phí trên mạng xã hội facebook và youtube:Loạt bài Chuyên đề: Lý thuyết - Bài tập Toán lớp 9 Đại số và Hình học có đáp án có đầy đủ Lý thuyết và các dạng bài được biên soạn bám sát nội dung chương trình sgk Đại số 9 và Hình học 9.
Nếu thấy hay, hãy động viên và chia sẻ nhé! Các bình luận không phù hợp với nội quy bình luận trang web sẽ bị cấm bình luận vĩnh viễn.
- Giải Tiếng Anh 9 Global Success
- Giải sgk Tiếng Anh 9 Smart World
- Giải sgk Tiếng Anh 9 Friends plus
- Lớp 9 Kết nối tri thức
- Soạn văn 9 (hay nhất) - KNTT
- Soạn văn 9 (ngắn nhất) - KNTT
- Giải sgk Toán 9 - KNTT
- Giải sgk Khoa học tự nhiên 9 - KNTT
- Giải sgk Lịch Sử 9 - KNTT
- Giải sgk Địa Lí 9 - KNTT
- Giải sgk Giáo dục công dân 9 - KNTT
- Giải sgk Tin học 9 - KNTT
- Giải sgk Công nghệ 9 - KNTT
- Giải sgk Hoạt động trải nghiệm 9 - KNTT
- Giải sgk Âm nhạc 9 - KNTT
- Giải sgk Mĩ thuật 9 - KNTT
- Lớp 9 Chân trời sáng tạo
- Soạn văn 9 (hay nhất) - CTST
- Soạn văn 9 (ngắn nhất) - CTST
- Giải sgk Toán 9 - CTST
- Giải sgk Khoa học tự nhiên 9 - CTST
- Giải sgk Lịch Sử 9 - CTST
- Giải sgk Địa Lí 9 - CTST
- Giải sgk Giáo dục công dân 9 - CTST
- Giải sgk Tin học 9 - CTST
- Giải sgk Công nghệ 9 - CTST
- Giải sgk Hoạt động trải nghiệm 9 - CTST
- Giải sgk Âm nhạc 9 - CTST
- Giải sgk Mĩ thuật 9 - CTST
- Lớp 9 Cánh diều
- Soạn văn 9 Cánh diều (hay nhất)
- Soạn văn 9 Cánh diều (ngắn nhất)
- Giải sgk Toán 9 - Cánh diều
- Giải sgk Khoa học tự nhiên 9 - Cánh diều
- Giải sgk Lịch Sử 9 - Cánh diều
- Giải sgk Địa Lí 9 - Cánh diều
- Giải sgk Giáo dục công dân 9 - Cánh diều
- Giải sgk Tin học 9 - Cánh diều
- Giải sgk Công nghệ 9 - Cánh diều
- Giải sgk Hoạt động trải nghiệm 9 - Cánh diều
- Giải sgk Âm nhạc 9 - Cánh diều
- Giải sgk Mĩ thuật 9 - Cánh diều


Giải bài tập SGK & SBT
Tài liệu giáo viên
Sách
Khóa học
Thi online
Hỏi đáp

