Trắc nghiệm Hệ số góc của đường thẳng y = ax + b (có đáp án - phần 2)
Tài liệu bài tập trắc nghiệm Hệ số góc của đường thẳng y = ax + b lớp 9 có đáp án với các dạng bài tập cơ bản, nâng cao đầy đủ các mức độ: nhận biết, thông hiểu, vận dụng, vận dụng cao sẽ giúp học sinh ôn luyện và biết cách làm bài tập Toán 9.
Trắc nghiệm Hệ số góc của đường thẳng y = ax + b (có đáp án - phần 2)
(199k) Học Toán 9 KNTTHọc Toán 9 CDHọc Toán 9 CTST
Câu 1: Tìm hệ số góc của đường thẳng d: y = (2m + 5)x + 1 biết nó vuông góc với đường thẳng d’: y – 2x = 0
Lời giải:
Ta có d’: y – 2x = 0 ⇔ y = 2x
Đường thẳng d: y = (2m + 5)x + 1 có hệ số góc 2m + 5
Suy ra đường thẳng d: y = (2m + 5)x + 1 có hệ số góc
Đáp án cần chọn là: B
Câu 2: Tính góc tạo bởi tia Ox và đường thẳng
A. 45o
B. 30o
C. 60o
D. 90o
Lời giải:
Gọi là góc tạo bởi tia Ox và d. Ta có tanα = √3 ⇒ α = 60o
Đáp án cần chọn là: C
Câu 3: Tính góc tạo bởi tia Ox và đường thẳng
A. 45o
B. 30o
C. 60o
D. 90o
Lời giải:
Gọi là góc tạo bởi tia Ox và d. Ta có tan
Đáp án cần chọn là: B
Câu 4: Cho đường thẳng d: y = mx + √3. Tính góc tạo bởi tia Ox và đường thẳng d biết d đi qua điểm A (3; 0)
A. 120o
B. 150o
C. 60o
D. 90o
Lời giải:
Thay tọa độ điểm A vào phương trình đường thẳng d ta được
Đáp án cần chọn là: B
Câu 5: Cho đường thẳng .
Tính tanα với α là góc tạo bởi tia Ox và đường thẳng d biết d đi qua điểm
Lời giải:
Thay
vào phương trình đường thẳng d ta được:
Đáp án cần chọn là: D
Câu 6: Viết phương trình đường thẳng d biết d có hệ số góc bằng −4 và đi qua điểm A (3; −2)
A. y = −4x + 10
B. y = 4x + 10
C. y = −4x – 10
D. y = −4x
Lời giải:
Gọi phương trình đường thẳng d: y = ax + b
Vì d có hệ số góc bằng −4 nên a = −4 ⇒ y = −4x + b
Thay tọa độ điểm A vào phương trình đường thẳng d ta có −4.3 + b = −2 ⇒ b = 10
Nên d: y = −4x + 10
Đáp án cần chọn là: A
Câu 7: Viết phương trình đường thẳng d biết d có hệ số góc bằng 2 và đi qua điểm A (2; 1)
A. y = −2x + 3
B. y = 2x − 3
C. y = −2x – 3
D. y = 2x + 5
Lời giải:
Gọi phương trình đường thẳng d: y = ax + b
Vì d có hệ số góc bằng 2 nên a = 2 ⇒ y = 2x + b
Thay tọa độ điểm A vào phương trình đường thẳng d ta có 2.2 + b = 1 ⇒ b = −3
Nên d: y = 2x − 3
Đáp án cần chọn là: B
Câu 8: Viết phương trình đường thẳng d biết d đi qua B (−1; 1) và tạo với trục Ox một góc bằng 450
A. y = x – 2
B. y = x + 2
C. y = −x – 2
D. y = x + 1
Lời giải:
Gọi phương trình đường thẳng d: y = ax + b (a ≠ 0)
Vì góc tạo bởi đường thẳng d và trục Ox là 45o nên a = tan45o = 1 ⇒ y = x + b
Thay tọa độ điểm B vào phương trình đường thẳng d ta có −1 + b = 1 ⇒ b = 2
Nên d: y = x + 2
Đáp án cần chọn là: B
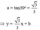
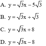
Câu 9: Viết phương trình đường thẳng d biết d đi qua và tạo với trục Ox một góc bằng 600
Lời giải:
Gọi phương trình đường thẳng d: y = ax + b (a ≠ 0)
Vì góc tạo bởi đường thẳng d và trục Ox là 60o nên a = tan60o = √3
⇒ y = √3x + b
Thay tọa độ điểm B vào phương trình đường thẳng d ta có
Đáp án cần chọn là: D
Câu 10: Viết phương trình đường thẳng d biết d tạo với trục Ox một góc bằng 600 và cắt trục hoành tại điểm có hoành độ bằng −2
Lời giải:
Gọi phương trình đường thẳng d: y = ax + b (a ≠ 0)
Vì góc tạo bởi đường thẳng d và trục Ox là 60o nên a = tan60o = √3 (TM)
⇒ y = √3x + b
Vì đường thẳng d cắt trục hoành tại điểm có hoành độ −2 nên d giao với trục hoành tại A(−2; 0)
Thay tọa độ điểm A vào phương trình đường thẳng d ta có
Đáp án cần chọn là: D
Câu 11: Viết phương trình đường thẳng d biết d tạo với trục Ox một góc bằng 300 và cắt trục hoành tại điểm có hoành độ bằng 6
Lời giải:
Gọi phương trình đường thẳng d: y = ax + b (a ≠ 0)
Vì góc tạo bởi đường thẳng d và trục Ox là 30o nên:
Vì đường thẳng d cắt trục hoành tại điểm có hoành độ 6 nên d giao với trục hoành tại A(6; 0)
Thay tọa độ điểm A vào phương trình đường thẳng d ta có
Đáp án cần chọn là: C
Câu 12: Đường thẳng y = 2(m + 1)x – 5m – 8 đi qua điểm A (3; −5) có hệ số góc bằng bao nhiêu?
A. −4
B. 4
C. 3
D. 2
Lời giải:
Thay tọa độ điểm A vào phương trình đường thẳng d ta có:
2(m + 1).3 – 5m – 8 = −5 ⇔ m = −3
Khi đó y = −4x + 7
Đường thẳng y = −4x + 7 có hệ số góc k = −4
Đáp án cần chọn là: A
Câu 13: Đường thẳng đi qua điểm A (−2; 4) có hệ số góc bằng bao nhiêu?
Lời giải:
Thay x = −2; y = 4 vào phương trình đường thẳng d ta có
Đáp án cần chọn là: B
Câu 14: Viết phương trình đường thẳng d biết d tạo với đường thẳng y = 1 một góc bằng 1200 và cắt trục tung tại điểm có tung độ bằng −2.
Lời giải:
Gọi phương trình đường thẳng d: y = ax + b (a ≠ 0)
Vì góc tạo bởi đường thẳng d và đường thẳng y = 1 là 120o nên góc tạo bởi đường thẳng y và trục Ox cũng là 120o (do đường thẳng y = 1 song song với trục Ox) nên:
Vì đường thẳng d cắt trục tung tại điểm có tung độ −2 nên b = −2
Đáp án cần chọn là: A
Câu 15: Viết phương trình đường thẳng d biết d tạo với đường thẳng y = 2 (theo chiều dương) một góc bằng 1350 và cắt trục tung tại điểm có tung độ bằng 4.
A. y = x – 4
B. y = −x – 4
C. y = x + 4
D. y = −x + 4
Lời giải:
Gọi phương trình đường thẳng d: y = ax + b (a ≠ 0)
Vì góc tạo bởi đường thẳng d và đường thẳng y = 2 là 135o nên góc tạo bởi đường thẳng y và trục Ox cũng là 135o (do đường thẳng y = 2 song song với trục Ox) nên a = tan135o = −1
⇒ y = −x + b
Vì đường thẳng d cắt trục tung tại điểm có tung độ 4 nên b = 4
Từ đó d: y = −x + 4
Đáp án cần chọn là: D
(199k) Học Toán 9 KNTTHọc Toán 9 CDHọc Toán 9 CTST
Xem thêm bài tập trắc nghiệm Toán lớp 9 có lời giải hay khác:
- Trắc nghiệm Đường thẳng song song và đường thẳng cắt nhau (có đáp án)
- Trắc nghiệm Đường thẳng song song và đường thẳng cắt nhau (có đáp án - phần 2)
- Trắc nghiệm Hệ số góc của đường thẳng y = ax + b (có đáp án)
- Top 26 Bài tập trắc nghiệm Hàm số bậc nhất (có đáp án)
Tủ sách VIETJACK luyện thi vào 10 cho 2k11 (2026):
Đã có app VietJack trên điện thoại, giải bài tập SGK, SBT Soạn văn, Văn mẫu, Thi online, Bài giảng....miễn phí. Tải ngay ứng dụng trên Android và iOS.
Theo dõi chúng tôi miễn phí trên mạng xã hội facebook và youtube:Loạt bài Chuyên đề: Lý thuyết - Bài tập Toán lớp 9 Đại số và Hình học có đáp án có đầy đủ Lý thuyết và các dạng bài được biên soạn bám sát nội dung chương trình sgk Đại số 9 và Hình học 9.
Nếu thấy hay, hãy động viên và chia sẻ nhé! Các bình luận không phù hợp với nội quy bình luận trang web sẽ bị cấm bình luận vĩnh viễn.
- Giải Tiếng Anh 9 Global Success
- Giải sgk Tiếng Anh 9 Smart World
- Giải sgk Tiếng Anh 9 Friends plus
- Lớp 9 Kết nối tri thức
- Soạn văn 9 (hay nhất) - KNTT
- Soạn văn 9 (ngắn nhất) - KNTT
- Giải sgk Toán 9 - KNTT
- Giải sgk Khoa học tự nhiên 9 - KNTT
- Giải sgk Lịch Sử 9 - KNTT
- Giải sgk Địa Lí 9 - KNTT
- Giải sgk Giáo dục công dân 9 - KNTT
- Giải sgk Tin học 9 - KNTT
- Giải sgk Công nghệ 9 - KNTT
- Giải sgk Hoạt động trải nghiệm 9 - KNTT
- Giải sgk Âm nhạc 9 - KNTT
- Giải sgk Mĩ thuật 9 - KNTT
- Lớp 9 Chân trời sáng tạo
- Soạn văn 9 (hay nhất) - CTST
- Soạn văn 9 (ngắn nhất) - CTST
- Giải sgk Toán 9 - CTST
- Giải sgk Khoa học tự nhiên 9 - CTST
- Giải sgk Lịch Sử 9 - CTST
- Giải sgk Địa Lí 9 - CTST
- Giải sgk Giáo dục công dân 9 - CTST
- Giải sgk Tin học 9 - CTST
- Giải sgk Công nghệ 9 - CTST
- Giải sgk Hoạt động trải nghiệm 9 - CTST
- Giải sgk Âm nhạc 9 - CTST
- Giải sgk Mĩ thuật 9 - CTST
- Lớp 9 Cánh diều
- Soạn văn 9 Cánh diều (hay nhất)
- Soạn văn 9 Cánh diều (ngắn nhất)
- Giải sgk Toán 9 - Cánh diều
- Giải sgk Khoa học tự nhiên 9 - Cánh diều
- Giải sgk Lịch Sử 9 - Cánh diều
- Giải sgk Địa Lí 9 - Cánh diều
- Giải sgk Giáo dục công dân 9 - Cánh diều
- Giải sgk Tin học 9 - Cánh diều
- Giải sgk Công nghệ 9 - Cánh diều
- Giải sgk Hoạt động trải nghiệm 9 - Cánh diều
- Giải sgk Âm nhạc 9 - Cánh diều
- Giải sgk Mĩ thuật 9 - Cánh diều


Giải bài tập SGK & SBT
Tài liệu giáo viên
Sách
Khóa học
Thi online
Hỏi đáp

