Top 20 Bài tập trắc nghiệm Hàm số y = ax^2; Phương trình bậc hai một ẩn (có lời giải)
Tài liệu Bài tập trắc nghiệm Hàm số y = ax^2; Phương trình bậc hai một ẩn lớp 9 có đáp án với các dạng bài tập cơ bản, nâng cao đầy đủ các mức độ: nhận biết, thông hiểu, vận dụng, vận dụng cao sẽ giúp học sinh ôn luyện và biết cách làm các dạng bài tập Toán 9.
Top 20 Bài tập trắc nghiệm Hàm số y = ax^2; Phương trình bậc hai một ẩn (có lời giải)
(199k) Học Toán 9 KNTTHọc Toán 9 CDHọc Toán 9 CTST
Câu 1: Cho phương trình x2 + 2(m – 3)x + m2 + m + 1 = 0 (1). Khẳng định nào trong các khẳng định sau đúng:
A. Với m = 3 phương trình (1) có 2 nghiệm phân biệt
B. Với m = −1 phương trình (1) có nghiệm duy nhất
C. Với m = 2 phương trình (1) vô nghiệm
D. Với m = 2 phương trình (1) có 2 nghiệm phân biệt
Lời giải:
Phương trình (1) là phương trình bậc hai với ẩn x và tham số m
Xét: ∆' = (m – 3)2 – (m2 + m + 1) = m2 – 6m + 9 − m2 – m – 1 = −7m + 8
● Phương trình đã cho vô nghiệm ⇔ ∆' < 0 ⇔ −7m + 8 < 0 ⇔ m >
● Phương trình đã cho có nghiệm duy nhất ∆' = 0 ⇔ −7m + 8 = 0 ⇔ m =
● Phương trình đã cho có hai nghiệm phân biệt ∆' > 0 ⇔ −7m + 8 > 0 ⇔ m <
Như vậy:
+ Với m = 3 > thì phương trình vô nghiệm nên A sai.
+ Với m = −1 < thì phương trình có hai nghiệm phân biệt nên B sai
+ Với m = 2 > thì phương trình vô nghiệm nên C đúng, D sai.
Vậy đáp án đúng là đáp án C
Đáp án cần chọn là: C
Câu 2: Cho phương trình bậc hai: x2 + ax + b = 0 (1) có hai nghiệm phân biệt x1; x2. Điều kiện để x1; x2 > 0 là:
Lời giải:
Để phương trình (1) có 2 nghiệm phân biệt x1; x2 nên ∆ > 0 ⇔ a2 > 4b
Để phương trình (1) có 2 nghiệm dương phân biệt thì:
Đáp án cần chọn là: A
Câu 3: Giả sử x1; x2 là hai nghiệm của phương trình x2 – 4x – 9 = 0. Khi đó x12 + x22 bằng:
A. 30
B. 32
C. 34
D. 36
Lời giải:
Phương trình đã cho có: ∆' = (−2)2 – 1.(−9) = 13 > 0 nên có hai nghiệm phân biệt
Ta có x12 + x22 = x12 + 2x1x2 + x22 − 2x1x2 = (x1 + x2)2 − 2x1x2 (1)
Áp dụng hệ thức Vi-ét ta có:
Thay vào (1) ta được x12 + x22 = 42 – 2.(−9) = 16 + 18 = 34
Đáp án cần chọn là: C
Câu 4: Lập phương trình bậc hai có hai nghiệm là √5 − 2 và √5 + 2
A. x2 − 2√5x + 1 = 0
B. x2 − 3√5x + 2 = 0
C. x2 + 2√5x + 1 = 0
D. x2 − 3√5x − 2 = 0
Lời giải:
Ta có S = √5 − 2 + √5 + 2 = 2√5
P = (√5 − 2)(√5 + 2) = 5 – 4 = 1
Nhận thấy S2 > 4P (do (2√5)2 = 20 > 4)
Nên phương trình bậc hai có hai nghiệm là √5 − 2 và √5 + 2 là
x2 − 2√5x + 1 = 0
Đáp án cần chọn là: A
Câu 5: Tập nghiệm của phương trình x4 − 5x2 + 6 = 0 là:
Lời giải:
x4 − 5x2 + 6 = 0 (1)
Đặt x2 = t (t ≥ 0)
(1) ⇔ t2 – 5t + 6 = 0
Có ∆ = 52 – 4.6 = 1 > 0 ⇒ Phương trình có hai nghiệm phân biệt
Đáp án cần chọn là: B
Câu 6: Tập nghiệm của phương trình x + 4√x − 12 = 0 là:
A. S = {36}
B. S = {4; 36}
C. S = {4}
D. S = {2; −6}
Lời giải:
x + 4√x − 12 = 0 (1)
ĐKXĐ: x ≥ 0
Đặt √x = t (t ≥ 0)
(1) ⇔ t2 + 4t – 12 = 0.
Có ∆ = 22 + 12 = 16 > 0 ⇒ Phương trình có hai nghiệm phân biệt
Với t = 2 ⇒ √x = 2 ⇔ x = 4
Đáp án cần chọn là: C
Câu 7: Cho phương trình x4 + mx2 + 2m + 3 = 0 (1). Với giá trị nào dưới đây của m thì phương trình (1) có 4 nghiệm phân biệt?
Lời giải:
Đặt x2 = t (t ≥ 0) ta được: t2 + mt + 2m + 3 = 0 (2)
Để phương trình (1) có 4 nghiệm phân biệt thì phương trình (2) có 2 nghiệm dương phân biệt
Phương trình (2) có hai nghiệm dương phân biệt
Với các giá trị thuộc thì phương trình đã cho có 4 nghiệm phân biệt
Nhận thấy trong các đáp án thì chỉ có để phương trình đã cho có 4 nghiệm phân biệt
Đáp án cần chọn là: A
Câu 8: Cho phương trình bậc hai: x2 – 2px + 5 = 0 có 1 nghiệm x1 = 2. Tìm giá trị của p và nghiệm x2 còn lại.
Lời giải:
Đáp án cần chọn là: C
Câu 9: Cho phương trình bậc hai: x2 – qx + 50 = 0. Tìm q > 0 và 2 nghiệm x1; x2 của phương trình biết rằng x1 = 2x2
A. q = 5; x1 = 10; x2 = 5
B. q = 15; x1 = 10; x2 = 5
C. q = 5; x1 = 5; x2 = 10
D. q = −15; x1 = −10; x2 = −5
Lời giải:
Để phương trình đã cho có 2 nghiệm thì:
Khi đó phương trình có hai nghiệm x1; x2 thỏa mãn hệ thức Vi-ét
Với x1 = 2x2 thì (do q > 0 nên x2 = 5 > 0)
Khi đó: x1 = 2x2 = 2.5 = 10
Vậy q = 15; x1 = 10; x2 = 5
Đáp án cần chọn là: B
Câu 10: Cho phương trình: x2 – (m + 2)x + (2m – 1) = 0 có hai nghiệm phân biệt x1; x2. Hệ thức liên hệ giữa 2 nghiệm không phụ thuộc vào giá trị của m là:
A. 2(x1 + x2) − x1.x2 = −5
B. x1 + x2 − x1.x2 = −1
C. x1 + x2 + 2x1.x2 = 5
D. 2(x1 + x2) − x1.x2 = 5
Lời giải:
Phương trình đã cho có 2 nghiệm phân biệt ⇔ ∆ > 0 ⇔ (m + 2)2 – 4(2m – 1) > 0
⇔ m2 + 4m + 4 – 8m + 4 > 0 ⇔ m2 – 4m + 8 > 0 ⇔ (m – 2)2 + 4 > 0 (∀m)
Vậy với mọi m phương trình đã cho luôn có 2 nghiệm phân biệt
Vậy 2(x1 + x2) − x1.x2 = 5 là hệ thức liên hệ giữa 2 nghiệm không phụ thuộc vào giá trị của m
Đáp án cần chọn là: D
Câu 11: Cho phương trình: x2 – 3(m −5)x + m2 – 9 = 0. Tìm m để phương trình có 2 nghiệm phân biệt trái dấu.
A. m = 3
B. m > −3
C. m < 3
D. −3 < m < 3
Lời giải:
Phương trình: x2 – 3(m −5)x + m2 – 9 = 0 có a = 1; b = – 3(m −5); c = m2 – 9
Phương trình có hai nghiệm phân biệt trái dấu:
Đáp án cần chọn là: D
Câu 12: Cho phương trình: x2 + 2(2m + 1)x + 4m2 = 0. Tìm m để phương trình có hai nghiệm phân biệt âm
Lời giải:
Xét phương trình: x2 + 2(2m + 1)x + 4m2 = 0
Phương trình có hai nghiệm phân biệt âm
Đáp án cần chọn là: B
Câu 13: Cho phương trình: x2 – 2(m – 1)x + m2 − 3m = 0. Tìm m để phương trình có 2 nghiệm phân biệt x1; x2 thỏa mãn x12 + x22 = 8
A. m = 2
B. m = −1
C. m = −2
D. m = 1
Lời giải:
Xét phương trình: x2 – 2(m – 1)x + m2 − 3m = 0 ta có:
∆' = (m – 1)2 – 1.( m2 − 3m) = m2 – 2m + 1 – m2 + 3m = m + 1
Để phương trình có hai nghiệm phân biệt thì ∆' > 0 ⇔ m + 1 > 0 ⇔ m > −1
Ta có x12 + x22 = (x1 + x2)2 − 2x1.x2 = 8 (*)
Áp dụng hệ thức Vi-ét ta có: thay vào (*) ta được:
Vậy với m = 2 thì yêu cầu của bài toán được thỏa mãn
Đáp án cần chọn là: A
Câu 14: Tìm các giá trị của m để đường thẳng d: y = 2(m – 1)x – m – 1 cắt parabol (P): y = x2 tại hai điểm có hoành độ trái dấu.
A. m > −1
B. m < −1
C. m = 1
D. m ≠ −1
Lời giải:
Phương trình hoành độ giao điểm của d và (P) là:
x2 − 2(m – 1)x + m + 1 = 0 (*)
Ta có: a = 1; b = −2(m – 1); c = m + 1
Đường thẳng d cắt (P) tại hai điểm có hoành độ trái dấu ⇔ (*) có 2 nghiệm trái dấu ⇔ ac < 0 ⇔ 1.(m + 1) < 0 ⇔ m < −1
Đáp án cần chọn là: B
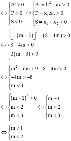
Câu 15: Tìm các giá trị của m để đường thẳng d: y = 2(m – 3)x + 4m − 8 cắt đồ thị hàm số (P): y = x2 tại hai điểm có hoành độ âm
A. m < 3
B. m < 2
C. m < 2; m ≠ 1
D. 2 < m < 3
Lời giải:
Phương trình hoành độ giao điểm của d và (P) là:
x2 − 2(m – 3)x + 8 − 4m = 0 (*)
Ta có: a = 1; b = −2(m – 3); c = 8 – 4m
Đường thẳng d cắt (P) tại hai điểm phân biệt có hoành độ âm ⇔ Phương trình (*) có hai nghiệm phân biệt cùng âm
Đáp án cần chọn là: C
Câu 16: Cho phương trình: x − 2√x + m – 3 = 0 (1). Điều kiện của m để phương trình có 2 nghiệm phân biệt là:
Lời giải:
Đặt √x = t (t ≥ 0) ta được: t2 – 2t + m – 3 = 0 (2)
Để phương trình (1) có 2 nghiệm phân biệt thì phương trình (2) có hai nghiệm phân biệt thỏa mãn t ≥ 0
Phương trình (2) có 2 nghiệm phân biệt thỏa mãn t ≥ 0
Đáp án cần chọn là: B
Câu 17: Cho phương trình: . Phương trình trên có số nghiệm là:
A. 1
B. 2
C. 3
D. 4
Lời giải:
Đáp án cần chọn là: B
Câu 18: Cho phương trình . Gọi S là tổng tất cả các nghiệm của phương trình (1). Giá trị của S là:
Lời giải:
Điều kiện:
Xét x = 0 không phải là nghiệm của phương trình
Suy ra tổng 2 nghiệm S = −11
Đáp án cần chọn là: A
Câu 19: Phương trình x4 – 3x3 − 2x2 + 6x + 4 = 0 có bao nhiêu nghiệm?
A. 1 nghiệm
B. 3 nghiệm
C. 4 nghiệm
D. 2 nghiệm
Lời giải:
Phương trình x4 – 3x3 − 2x2 + 6x + 4 = 0 (1)
Ta thấy x = 0 không là nghiệm của phương trình đã cho.
Với x ≠ 0, ta chia cả hai vế của phương trình cho x2 ta được:
Có: a + b + c = 1 – 3 + 2 = 0 ⇒ phương trình có hai nghiệm phân biệt
Có ∆' = 1 + 2 = 3 > 0 ⇒ phương trình có 2 nghiệm phân biệt
Vậy phương trình đã cho có 4 nghiệm phân biệt
Đáp án cần chọn là: C
Câu 20: Tập nghiệm của phương trình (x + 2)(x + 3)(x + 4)(x + 5) = 35 là:
Lời giải:
(x + 2)(x + 3)(x + 4)(x + 5) = 35
⇔ (x + 2) (x + 5) (x + 3)(x + 4) = 35
⇔ (x2 + 7x + 10)( x2 + 7x + 12) = 35 (*)
Đặt x2 + 7x + 10 = t ⇒ x2 + 7x + 12 = t + 2
(*) ⇔ t(t + 2) = 35 ⇔ t2 + 2t – 35 = 0
Có ∆' = 1 + 35 = 36 > 0 ⇒ Phương trình có 2 nghiệm phân biệt
+) Với t = 5 ⇒ x2 + 7x + 10 = 5 ⇔ x2 + 7x + 5 = 0
Có ∆ = 72 – 4.5 = 29 > 0 ⇒ Phương trình có 2 nghiệm phân biệt
+) Với t = −7 ⇒ x2 + 7x + 10 = −7 ⇔ x2 + 7x + 17 = 0
Có ∆ = 72 – 4.17 = − 19 < 0 ⇒ Phương trình vô nghiệm
Vậy tập nghiệm của phương trình là:
Đáp án cần chọn là: A
(199k) Học Toán 9 KNTTHọc Toán 9 CDHọc Toán 9 CTST
Xem thêm bài tập trắc nghiệm Toán lớp 9 có lời giải hay khác:
- Bài tập Sự tương giao giữa đường thẳng và parabol nâng cao (có lời giải)
- Bài tập Giải bài toán bằng cách lập phương trình, hệ phương trình nâng cao (có đáp án)
- Bài tập Hệ thức Vi-ét và ứng dụng nâng cao (có lời giải)
- 40 Bài tập Hàm số y = ax^2; Phương trình bậc hai một ẩn nâng cao (có đáp án)
Tủ sách VIETJACK luyện thi vào 10 cho 2k11 (2026):
Đã có app VietJack trên điện thoại, giải bài tập SGK, SBT Soạn văn, Văn mẫu, Thi online, Bài giảng....miễn phí. Tải ngay ứng dụng trên Android và iOS.
Theo dõi chúng tôi miễn phí trên mạng xã hội facebook và youtube:Loạt bài Chuyên đề: Lý thuyết - Bài tập Toán lớp 9 Đại số và Hình học có đáp án có đầy đủ Lý thuyết và các dạng bài được biên soạn bám sát nội dung chương trình sgk Đại số 9 và Hình học 9.
Nếu thấy hay, hãy động viên và chia sẻ nhé! Các bình luận không phù hợp với nội quy bình luận trang web sẽ bị cấm bình luận vĩnh viễn.
- Giải Tiếng Anh 9 Global Success
- Giải sgk Tiếng Anh 9 Smart World
- Giải sgk Tiếng Anh 9 Friends plus
- Lớp 9 Kết nối tri thức
- Soạn văn 9 (hay nhất) - KNTT
- Soạn văn 9 (ngắn nhất) - KNTT
- Giải sgk Toán 9 - KNTT
- Giải sgk Khoa học tự nhiên 9 - KNTT
- Giải sgk Lịch Sử 9 - KNTT
- Giải sgk Địa Lí 9 - KNTT
- Giải sgk Giáo dục công dân 9 - KNTT
- Giải sgk Tin học 9 - KNTT
- Giải sgk Công nghệ 9 - KNTT
- Giải sgk Hoạt động trải nghiệm 9 - KNTT
- Giải sgk Âm nhạc 9 - KNTT
- Giải sgk Mĩ thuật 9 - KNTT
- Lớp 9 Chân trời sáng tạo
- Soạn văn 9 (hay nhất) - CTST
- Soạn văn 9 (ngắn nhất) - CTST
- Giải sgk Toán 9 - CTST
- Giải sgk Khoa học tự nhiên 9 - CTST
- Giải sgk Lịch Sử 9 - CTST
- Giải sgk Địa Lí 9 - CTST
- Giải sgk Giáo dục công dân 9 - CTST
- Giải sgk Tin học 9 - CTST
- Giải sgk Công nghệ 9 - CTST
- Giải sgk Hoạt động trải nghiệm 9 - CTST
- Giải sgk Âm nhạc 9 - CTST
- Giải sgk Mĩ thuật 9 - CTST
- Lớp 9 Cánh diều
- Soạn văn 9 Cánh diều (hay nhất)
- Soạn văn 9 Cánh diều (ngắn nhất)
- Giải sgk Toán 9 - Cánh diều
- Giải sgk Khoa học tự nhiên 9 - Cánh diều
- Giải sgk Lịch Sử 9 - Cánh diều
- Giải sgk Địa Lí 9 - Cánh diều
- Giải sgk Giáo dục công dân 9 - Cánh diều
- Giải sgk Tin học 9 - Cánh diều
- Giải sgk Công nghệ 9 - Cánh diều
- Giải sgk Hoạt động trải nghiệm 9 - Cánh diều
- Giải sgk Âm nhạc 9 - Cánh diều
- Giải sgk Mĩ thuật 9 - Cánh diều


Giải bài tập SGK & SBT
Tài liệu giáo viên
Sách
Khóa học
Thi online
Hỏi đáp

