15 Bài tập Hệ thức Vi-ét và ứng dụng nâng cao (có lời giải)
Tài liệu Bài tập Hệ thức Vi-ét và ứng dụng nâng cao lớp 9 có lời giải với các dạng bài tập cơ bản, nâng cao đầy đủ các mức độ: nhận biết, thông hiểu, vận dụng, vận dụng cao sẽ giúp học sinh ôn luyện và biết cách làm bài tập Toán 9.
15 Bài tập Hệ thức Vi-ét và ứng dụng nâng cao (có lời giải)
(199k) Xem Khóa học Toán 9 KNTTXem Khóa học Toán 9 CDXem Khóa học Toán 9 CTST
Câu 1: Phân tích đa thức f(x) = x4 – 2mx2 – x + m2 – m thành tích của hai tam thức bậc hai ẩn x.
A. f(x) = (m + x2 – x – 1)(m + x2 + x)
B. f(x) = (m − x2 – x – 2)(m − x2 + x)
C. f(x) = (m − x2 – x – 1)(m − x2 + x + 1)
D. f(x) = (m − x2 – x – 1)(m − x2 + x)
Lời giải:
Ta có: x4 – 2mx2 – x + m2 – m = 0 ⇔ m2 – (2x2 + 1)m + x4 – x = 0
Ta coi đây là phương trình bậc hai ẩn m và có:
∆m = (2x2 + 1)2 – 4(x4 – x) = 4x2 + 4x + 1 = (2x + 1)2 ≥ 0
Do đó f(x) = (m − x2 – x – 1)(m − x2 + x)
Đáp án cần chọn là: D
Câu 2: Cho phương trình x2 – 4x = 2|x – 2| − m – 5, với m là tham số. Xác định m để phương trình có bốn nghiệm phân biệt
A. m < 1
B. −1 < m < 0
C. 0 < m < 1
D. m > 0
Lời giải:
Ta có: x2 – 4x = 2|x – 2| − m – 5 ⇔ (x2 – 4x + 4) – 2|x – 2| = −m – 1
⇔ (x – 2)2 – 2|x – 2| = −m – 1 (1)
Đặt t = |x −2| ≥ 0. Khi đó (1) thành: t2 – 2t + 1 + m = 0 (2)
Để (1) có 4 nghiệm phân biệt thì (2) có hai nghiệm phân biệt dương, tức là phải có:
thỏa mãn yêu cầu bài toán
Đáp án cần chọn là: C
Câu 3: Tìm m để phương trình 3x2 + 4(m – 1)x + m2 – 4m + 1 = 0 có
hai nghiệm phân biệt x1; x2 thỏa mãn:
A. m = 1; m = 5
B. m = 1; m = −1
C. m = 5
D. m ≠ 1
Lời giải:
Trước hết phương trình phải có hai nghiệm phân biệt x1; x2 khác 0 nên:
Thay vào (*) ta thấy m = −1 không thỏa mãn
Vậy m = 1; m = 5 là giá trị cần tìm
Đáp án cần chọn là: A
Câu 4: Tìm các giá trị của m để phương trình x2 – mx + m2 – m – 3 = 0 có hai nghiệm x1; x2 là độ dài các cạnh góc vuông của tam giác ABC tại A biết độ dài cạnh huyền BC = 2
Lời giải:
Vì độ dài cạnh của tam giác vuông là số dương nên x1; x2 > 0
Theo định lý Vi-ét ta có
Điều kiện để phương trình có nghiệm là:
∆ = m2 – 4(m2 – m – 3) ≥ 0 ⇔ 3m2– 4m – 12 ≤ 0 (2)
Từ giả thiết suy ra x12 + x22 = 4 ⇔ (x1 + x2)2 – 2x1.x2 = 4. Do đó
m2 – 2(m2 – m – 3) = 4 ⇔ m2 – 2m – 2 = 0 ⇔ m = 1
Thay m = 1 ± √3 vào (1) và (2) ta thấy chỉ có m = 1 + √3 thỏa mãn.
Vậy giá trị cần tìm là m = 1 + √3
Đáp án cần chọn là: C
Câu 5: Cho phương trình x4 – mx3 + (m + 1)x2 – m(m + 1)x + (m + 1)2 = 0
Lời giải:
Khi m = −2, ta có phương trình x4 + 2x3 − x2 – 2x + 1 = 0
Kiểm tra ta thấy x = 0 không là nghiệm của phương trình
Chia hai vế của phương trình cho x2+ ta được:
Đặt . Thay vào phương trình nêu trên ta được:
t2 + 2t – 1 = 0 ⇔ t = −1
Đáp án cần chọn là: A
Câu 6: Có bao nhiêu giá trị của m để phương trình x2 – (2m + 1)x + m2 + 1 = 0 (1) có hai nghiệm phân biệt x1; x2 thỏa mãn (x1; x2)2 = x1
A. 2
B. 3
C. 4
D. 1
Lời giải:
Để phương trình đã cho có 2 nghiệm phân biệt thì
Vậy thì phương trình có hai nghiệm phân biệt
Với thì phương trình có hai nghiệm phân biệt x1; x2
Vậy thỏa mãn điều kiện bài toán
Đáp án cần chọn là: A
Câu 7: Cho phương trình x2 – (m – 1)x – m2 + m – 2 = 0, với m là tham số.
Gọi hai nghiệm của phương trình đã cho là x1; x2. Tìm m để biểu thức đạt giá trị lớn nhất
A. m = 4
B. m = 3
C. m = 2
D. m = 1
Lời giải:
+) Xét với mọi m ∈ R
Vậy phương trình luôn có hai nghiệm trái dấu với mọi m
+) Gọi hai nghiệm của phương trình đã cho là x1; x2
Vì phương trình luôn có hai nghiệm trái dấu nên x1x2 ≠ 0, do đó A được xác định với mọi x1; x2
Do x1; x2 trái dấu nên , suy ra A < 0
Khi đó mang giá trị âm và A đạt giá trị lớn nhất khi –A có giá trị nhỏ nhất.
Ta có (BĐT Cô-si), suy ra A ≤ −2. Đẳng thức xảy ra khi và chỉ khi
Vậy với m = 1 thì biểu thức A đạt giá trị lớn nhất là −2
Đáp án cần chọn là: D
Câu 8: Cho phương trình 2x2 + 2mx + m2 – 2 = 0, với m là tham số. Gọi x1; x2 là hai nghiệm của phương trình. Tìm hệ thức liên hệ giữa x1; x2 không phụ thuộc vào m.
A. x1.x2 = x2 – x1 + 1
B. x1 − x2 = x2 – x1 – 1
C. x1.x2 = x2 – x1 + 1
D. x1.x2 = x1 + x2 − 1
Lời giải:
Ta có ∆ = m2 – 4(m – 1) = (m – 2)2 ≥ 0, với mọi m
Do đó phương trình luôn có nghiệm với mọi giá trị của m
Theo hệ thức Vi-ét, ta có x1 + x2 = m và x1.x2 = m – 1
Thay m = x1 + x2 vào x1.x2 = m – 1, ta được x1.x2 = x1 + x2 – 1
Vậy hệ thức liên hệ giữa x1; x2 không phụ thuộc vào m là x1.x2 = x1 + x2 – 1
Đáp án cần chọn là: D
Câu 9: Cho phương trình x2 – (2m + 1)x + 2m2 – 3m + 1 = 0, với m là tham số. Gọi x1; x2 là nghiệm của phương trình. Chọn câu đúng.
Lời giải:
Ta có ∆' =(m – 1)2 – (2m2 – 3m + 1) = −m2 + m = m(1 – m). Để phương trình có hai nghiệm
Đáp án cần chọn là: A
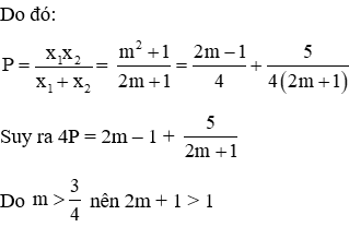
Câu 10: Cho phương trình x2 – (2m + 1)x + m2 + 1 = 0, với m là tham số.
Tìm tất cả các giá trị của m ∈ Z để phương trình có hai nghiệm phân biệt x1; x2 sao cho biểu thức có giá trị là số nguyên
A. m = 1
B. m = 2
C. m = −2
D. m = 0
Lời giải:
Ta có ∆ = (2m + 1)2 – 4(m2 + 1) = 4m – 3. Để phương trình có hai nghiệm phân biệt . Theo định lý Vi-ét ta có:
x1 + x2 = 2m + 1 và x1.x2 = m2 + 1.
Để P ∈ Z thì ta phải có (2m + 1) là ước của 5, suy ra 2m + 1 = 5 ⇔ m = 2
Thử lại với m = 2, ta được P = 1 (thỏa mãn)
Vậy m = 2 là giá trị cần tìm thỏa mãn bài toán.
Đáp án cần chọn là: B
Câu 11: Cho phương trình x2 – 2(m + 1)x + m2 + 2, với m là tham số. Khi phương trình có hai nghiệm x1; x2 thì biểu thức P = x1 x2 – 2(x1 + x2) – 6 có giá trị nhỏ nhất là:
A. −10
B. 0
C. −11
D. −12
Lời giải:
Ta có ∆' = (m + 1)2 – (m2 + 2) = 2m – 1
Để phương trình có hai nghiệm . Theo định lý Vi-ét ta có:
x1 + x2 = 2m + 2 và x1.x2 = m2 + 2. Ta có:
P = x1.x2 – 2(x1 + x2) – 6 = m2 + 2 – 2(2m + 2) – 6 = m2 – 4m – 8
= (m – 2)2 – 12 ≥ −12
Dấu “=” xảy ra khi và chỉ khi m = 2 thỏa mãn điều kiện (*)
Vậy với m = 2 thì biểu thức P đạt giá trị nhỏ nhất −12
Đáp án cần chọn là: D
Câu 12: Gọi x1; x2 là hai nghiệm của phương trình 2x2 – (3a – 1)x – 2 = 0.
Tìm giá trị nhỏ nhất của biểu thức:
A. 24
B. 20
C. 21
D. 23
Lời giải:
Ta có ∆ =(3a – 1)2 + 16 > 0 ⇒ Phương trình luôn có hai nghiệm phân biệt.
Vậy giá trị nhỏ nhất của P là 24
Đáp án cần chọn là: A
Câu 13: Giả sử phương trình bậc hai ax2 + bx + c = 0 có hai nghiệm thuộc [0; 3].
Tìm giá trị lớn nhất của biểu thức:
A. 5
B. 4
C. 2
D. 3
Lời giải:
Vì phương trình bậc hai có 2 nghiệm nên a ≠ 0. Biểu thức Q có dạng đẳng cấp bậc hai ta chia cả tử và mẫu của Q cho a2 thì
Gọi x1; x2 là hai nghiệm của phương trình, theo Vi-ét ta có
Ta đánh giá (x1 + x2)2 qua x1x2 với điều kiện x1; x2 ∈ [0; 3]
Vậy giá trị lớn nhất của Q là 3
Đáp án cần chọn là: D
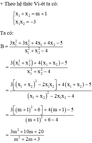
Câu 14: Cho phương trình x2 – (m + 1)x – 3 = 0 (1), với x là ẩn, m là tham số.
Gọi x1; x2 là hai nghiệm của phương trình (1). Đặt . Tìm m khi B đạt giá trị lớn nhất.
Lời giải:
Phương trình x2 – (m + 1)x – 3 = 0 (1)
+ Nhận xét ∆ = (m + 1)2 + 12 > 0, ∀ m ∈ R. Suy ra (1) luôn có hai nghiệm phân biệt x1; x2
+ Nếu B ≠ 3 thì (*) là phương trình bậc 2 ẩn m. Phương trình (*) có nghiệm m khi và chỉ khi ∆' ≥ 0
Hay (B – 5)2 – (B – 3)(3B – 20) ≥ 0 ⇔ 2B2 – 19B + 35 ≤ 0
⇔ (2B – 5)(B – 7) ≤ 0
Đáp án cần chọn là: A
(199k) Xem Khóa học Toán 9 KNTTXem Khóa học Toán 9 CDXem Khóa học Toán 9 CTST
Xem thêm bài tập trắc nghiệm Toán lớp 9 có lời giải hay khác:
- Bài tập Sự tương giao giữa đường thẳng và parabol nâng cao (có lời giải)
- Bài tập Giải bài toán bằng cách lập phương trình, hệ phương trình nâng cao (có đáp án)
- 40 Bài tập Hàm số y = ax^2; Phương trình bậc hai một ẩn nâng cao (có đáp án)
- Top 20 Bài tập trắc nghiệm Hàm số y = ax^2; Phương trình bậc hai một ẩn (có đáp án)
Tủ sách VIETJACK luyện thi vào 10 cho 2k11 (2026):
Đã có app VietJack trên điện thoại, giải bài tập SGK, SBT Soạn văn, Văn mẫu, Thi online, Bài giảng....miễn phí. Tải ngay ứng dụng trên Android và iOS.
Theo dõi chúng tôi miễn phí trên mạng xã hội facebook và youtube:Loạt bài Chuyên đề: Lý thuyết - Bài tập Toán lớp 9 Đại số và Hình học có đáp án có đầy đủ Lý thuyết và các dạng bài được biên soạn bám sát nội dung chương trình sgk Đại số 9 và Hình học 9.
Nếu thấy hay, hãy động viên và chia sẻ nhé! Các bình luận không phù hợp với nội quy bình luận trang web sẽ bị cấm bình luận vĩnh viễn.
- Giải Tiếng Anh 9 Global Success
- Giải sgk Tiếng Anh 9 Smart World
- Giải sgk Tiếng Anh 9 Friends plus
- Lớp 9 Kết nối tri thức
- Soạn văn 9 (hay nhất) - KNTT
- Soạn văn 9 (ngắn nhất) - KNTT
- Giải sgk Toán 9 - KNTT
- Giải sgk Khoa học tự nhiên 9 - KNTT
- Giải sgk Lịch Sử 9 - KNTT
- Giải sgk Địa Lí 9 - KNTT
- Giải sgk Giáo dục công dân 9 - KNTT
- Giải sgk Tin học 9 - KNTT
- Giải sgk Công nghệ 9 - KNTT
- Giải sgk Hoạt động trải nghiệm 9 - KNTT
- Giải sgk Âm nhạc 9 - KNTT
- Giải sgk Mĩ thuật 9 - KNTT
- Lớp 9 Chân trời sáng tạo
- Soạn văn 9 (hay nhất) - CTST
- Soạn văn 9 (ngắn nhất) - CTST
- Giải sgk Toán 9 - CTST
- Giải sgk Khoa học tự nhiên 9 - CTST
- Giải sgk Lịch Sử 9 - CTST
- Giải sgk Địa Lí 9 - CTST
- Giải sgk Giáo dục công dân 9 - CTST
- Giải sgk Tin học 9 - CTST
- Giải sgk Công nghệ 9 - CTST
- Giải sgk Hoạt động trải nghiệm 9 - CTST
- Giải sgk Âm nhạc 9 - CTST
- Giải sgk Mĩ thuật 9 - CTST
- Lớp 9 Cánh diều
- Soạn văn 9 Cánh diều (hay nhất)
- Soạn văn 9 Cánh diều (ngắn nhất)
- Giải sgk Toán 9 - Cánh diều
- Giải sgk Khoa học tự nhiên 9 - Cánh diều
- Giải sgk Lịch Sử 9 - Cánh diều
- Giải sgk Địa Lí 9 - Cánh diều
- Giải sgk Giáo dục công dân 9 - Cánh diều
- Giải sgk Tin học 9 - Cánh diều
- Giải sgk Công nghệ 9 - Cánh diều
- Giải sgk Hoạt động trải nghiệm 9 - Cánh diều
- Giải sgk Âm nhạc 9 - Cánh diều
- Giải sgk Mĩ thuật 9 - Cánh diều


Giải bài tập SGK & SBT
Tài liệu giáo viên
Sách
Khóa học
Thi online
Hỏi đáp

