20 Bài tập trắc nghiệm Hệ phương trình đối xứng (có lời giải)
Tài liệu Bài tập trắc nghiệm Hệ phương trình đối xứng lớp 9 có lời giải với các dạng bài tập cơ bản, nâng cao đầy đủ các mức độ: nhận biết, thông hiểu, vận dụng, vận dụng cao sẽ giúp học sinh ôn luyện và biết cách làm bài tập Toán 9.
20 Bài tập trắc nghiệm Hệ phương trình đối xứng (có lời giải)
(199k) Học Toán 9 KNTTHọc Toán 9 CDHọc Toán 9 CTST
Câu 1: Để hệ phương trình có nghiệm, điều kiện cần và đủ là:
Lời giải:
Hệ phương trình đối xứng loại 1 với cách đặt
điều kiện S2 ≥ 4P
⇔ S2 – 4P ≥ 0
Đáp án cần chọn là: D
Câu 2: Hệ phương trình có nghiệm là (x; y) với x > y. Khi đó xy bằng:
A. 0
B. 1
C. 2
D. 4
Lời giải:
Vậy hệ phương trình có hai nghiệm (x; y) = (0; 2); (x; y) = (2; 0)
Tư giả thiết x > y nên x = 2; y = 0 ⇒ xy = 0
Đáp án cần chọn là: A
Câu 3: Hệ phương trình có nghiệm là (x; y) với x > y. Khi đó tổng 3x + 2y bằng:
A. 14
B. 10
C. 12
D. 16
Lời giải:
Với x = 2 ⇒ y = 6 – 2 = 4
Với x = 4 ⇒ y = 6 – 4 = 2
Vậy hệ phương trình có hai nghiệm (x; y) = (2; 4); (x; y) = (4; 2)
Từ giả thiết x > y nên x = 4; y = 2 ⇒ 3x + 2y = 3.4 + 2.2 = 16
Đáp án cần chọn là: D
Câu 4: Hệ phương trình
A. Có 2 nghiệm (2; 3) và (1; 5)
B. Có 2 nghiệm (2; 1) và (3; 5)
C. Có 1 nghiệm là (5; 6)
D. Có 4 nghiệm là (2; 3); (3; 2); (1; 5); (5; 1)
Lời giải:
Vậy hệ phương trình có bốn nghiệm (2; 3); (3; 2); (1; 5); (5; 1)
Đáp án cần chọn là: D
Câu 5: Hệ phương trình
A. Có 2 nghiệm (5; 1) và (1; 5)
B. Có 2 nghiệm (2; 1) và (1; 2)
C. Có 1 nghiệm là (2; 2)
D. Có 4 nghiệm (1; 2); (2; 1); (1; 5) và (5; 1)
Lời giải:
Vậy hệ phương trình có hai nghiệm (1; 2) và (2; 1)
Đáp án cần chọn là: B
Câu 6: Hệ phương trình có bao nhiêu nghiệm?
A. 0
B. 1
C. 2
D. 4
Lời giải:
+ Ta có
+ Đặt S = x + y; P = xy ta được hệ phương trình
Vậy hệ phương trình có hai nghiệm
Đáp án cần chọn là: C
Câu 7: Hệ phương trình có bao nhiêu nghiệm?
A. 0
B. 1
C. 2
D. 4
Lời giải:
+ Đặt S = x + y; P = xy ta được hệ phương trình:
Nhận thấy phương trình (*) có ∆ = 19 > 0 nên có hai nghiệm
Vậy hệ phương trình có bốn nghiệm:
Đáp án cần chọn là: D
Câu 8: Hãy chỉ ra các cặp nghiệm khác 0 của hệ phương trình
A. (3; 3)
B. (2; 2); (3; 1); (−3; 6)
C. (1; 1); (2; 2); (3; 3)
D. (−2; −2); (1; −2); (−6; 3)
Lời giải:
Trừ vế với vế của hai phương trình ta được:
Vì nên hệ (*) vô nghiệm
Vậy nghiệm khác 0 của hệ là (3; 3)
Đáp án cần chọn là: A
Câu 9: Hệ phương trình có bao nhiêu cặp nghiệm (x; y)?
A. 1
B. 2
C. 3
D. 4
Lời giải:
Khi x = y thì x2 – 2x = 0. Suy ra hoặc x = 0 ⇒ y = 0 hoặc x = 2 ⇒ y = 2
Khi y = 4 – x thì x2 – 4x + 4 = 0 ⇔ x = 2 ⇒ y = 2
Vậy hệ phương trình có hai nghiệm là (0; 0), (2; 2)
Đáp án cần chọn là: B
Câu 10: Các cặp nghiệm khác (0; 0) của hệ phương trình
A. (5; 5)
B. (5; 5), (1; −2), (−2; 1)
C. (5; 5), (1; 2), (2; 1)
D. (5; 5); (−1; 2), (2; −1)
Lời giải:
Trừ vế với vế của hai phương trình ta được:
Vậy nghiệm khác 0 của hệ là (5; 5); (−1; 2), (2; −1)
Đáp án cần chọn là: D
Câu 11: Hệ phương trình có bao nhiêu cặp nghiệm (x; y)
A. 1
B. 2
C. 3
D. 4
Lời giải:
Khi x = y thì x2 – 2x = 0 ⇔ x = 0; x = 2
Khi y = 4 – x thì x2 – 4x + 4 = 0 ⇔ x = 2
Vậy hệ phương trình có hai nghiệm (0; 0), (2; 2)
Đáp án cần chọn là: B
Câu 12: Hệ phương trình có bao nhiêu nghiệm?
A. 6
B. 4
C. 2
D. 0
Lời giải:
Trừ vế với vế của hai phương trình ta được:
Đáp án cần chọn là: B
Câu 13: Hệ phương trình có bao nhiêu nghiệm?
A. 6
B. 0
C. 2
D. 4
Lời giải:
Trừ vế với vế của hai phương trình ta được:
Đáp án cần chọn là: D
Câu 14: Biết cặp số (x; y) là nghiệm của hệ . Tìm giá trị của m để P = xy + 2(x + y) đạt giá trị nhỏ nhất.
A. m = −1
B. m = −2
C. m = 1
D. m = 0
Lời giải:
Điều kiện để hệ trên có nghiệm là m2 – 4(m2 – 3) ≥ 0 ⇔ 12 – 3m2 ≥ 0
⇔ m2 – 4 ≥ 0 ⇔ -2 ≤ m ≤ 2
Khi đó thay x + y = m; xy = m2 – 3 vào P ta được
P = m2 – 3 + 2m = (m + 1)2 – 4 ≥ −4
Dấu “=” xảy ra khi m + 1 = 0 ⇔ m = −1 (thỏa mãn)
Vậy Pmin = −4 ⇔ m = −1
Đáp án cần chọn là: A
Câu 15: Biết cặp số (x; y) là nghiệm của hệ . Tìm giá trị của m để P = xy – 3 (x + y) đạt giá trị nhỏ nhất.
Lời giải:
Khi đó thay x + y = 2m; xy = m2 – m − 1 vào P ta được
Dấu “=” xảy ra khi (thỏa mãn)
Đáp án cần chọn là: C
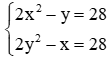
Câu 16: Biết hệ phương trình có hai nghiệm (x1; y1); (x2; y2). Tổng x1 + x2 bằng?
A. −1
B. 2
C. 1
D. 0
Lời giải:
+ Đặt
điều kiện S2 ≥ 4P hệ phương trình đã cho trở thành:
+ Suy ra x, y là hai nghiệm của phương trình:
X2 – X – 6 = 0 ⇔ (X – 3)(X + 2) = 0 ⇔ X1 = 3; X2 = −2
Vậy hệ đã cho có hai cặp nghiệm (x; y) = (−2; 3), (x; y) = 3; −2)
Từ đó x1 = −2; x2 = 3 ⇒ x1 + x2 = 1
Đáp án cần chọn là: C
Câu 17: Biết hệ phương trình có hai nghiệm (x1; y1); (x2; y2). Tổng x1 + x2 bằng?
A. 2
B. −2
C. 1
D. 0
Lời giải:
+ Đặt điều kiện S2 ≥ 4P hệ phương trình đã cho trở thành:
+ Suy ra x, y là hai nghiệm của phương trình:
X2 – 2X = 0 ⇔ X (X – 2) = 0 ⇔ X1 = 0; X2 = 2
Vậy hệ đã cho có hai cặp nghiệm (x; y) = (0; 2), (x; y) = (2; 0)
Từ đó x1 = 2; x2 = 0 ⇒ x1 + x2 = 2
Đáp án cần chọn là: A
Câu 18: Hệ phương trình có bao nhiêu nghiệm?
A. 3
B. 5
C. 4
D. 6
Lời giải:
Vì thay x = 0 vào hệ ta được (vô lý) nên x = 0 không là nghiệm của hệ
Đặt y = tx, khi đó ta có
Suy ra hệ phương trình có các cặp nghiệm:
Đáp án cần chọn là: C
Câu 19: Hệ phương trình có nghiệm là?
Lời giải:
Vì thay x = 0 vào hệ ta được (vô lý) nên x = 0 không là nghiệm của hệ.
Với x ≠ 0, đặt y = tx. Khi đó, phương trình (2) trở thành
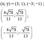
Suy ra hệ phương trình có các cặp nghiệm (x; y) thuộc:
Đáp án cần chọn là: C
Câu 20: Cho hệ phương trình . Khẳng định nào sau đây là đúng?
Lời giải:
Đáp án cần chọn là: B
(199k) Học Toán 9 KNTTHọc Toán 9 CDHọc Toán 9 CTST
Xem thêm bài tập trắc nghiệm Toán lớp 9 có lời giải hay khác:
- Bài tập Sự tương giao giữa đường thẳng và parabol (có đáp án)
- Trắc nghiệm Giải bài toán bằng cách lập phương trình (có đáp án)
- Trắc nghiệm Giải bài toán bằng cách lập phương trình (có đáp án - phần 2)
- Bài tập Sự tương giao giữa đường thẳng và parabol nâng cao (có lời giải)
Tủ sách VIETJACK luyện thi vào 10 cho 2k11 (2026):
Đã có app VietJack trên điện thoại, giải bài tập SGK, SBT Soạn văn, Văn mẫu, Thi online, Bài giảng....miễn phí. Tải ngay ứng dụng trên Android và iOS.
Theo dõi chúng tôi miễn phí trên mạng xã hội facebook và youtube:Loạt bài Chuyên đề: Lý thuyết - Bài tập Toán lớp 9 Đại số và Hình học có đáp án có đầy đủ Lý thuyết và các dạng bài được biên soạn bám sát nội dung chương trình sgk Đại số 9 và Hình học 9.
Nếu thấy hay, hãy động viên và chia sẻ nhé! Các bình luận không phù hợp với nội quy bình luận trang web sẽ bị cấm bình luận vĩnh viễn.
- Giải Tiếng Anh 9 Global Success
- Giải sgk Tiếng Anh 9 Smart World
- Giải sgk Tiếng Anh 9 Friends plus
- Lớp 9 Kết nối tri thức
- Soạn văn 9 (hay nhất) - KNTT
- Soạn văn 9 (ngắn nhất) - KNTT
- Giải sgk Toán 9 - KNTT
- Giải sgk Khoa học tự nhiên 9 - KNTT
- Giải sgk Lịch Sử 9 - KNTT
- Giải sgk Địa Lí 9 - KNTT
- Giải sgk Giáo dục công dân 9 - KNTT
- Giải sgk Tin học 9 - KNTT
- Giải sgk Công nghệ 9 - KNTT
- Giải sgk Hoạt động trải nghiệm 9 - KNTT
- Giải sgk Âm nhạc 9 - KNTT
- Giải sgk Mĩ thuật 9 - KNTT
- Lớp 9 Chân trời sáng tạo
- Soạn văn 9 (hay nhất) - CTST
- Soạn văn 9 (ngắn nhất) - CTST
- Giải sgk Toán 9 - CTST
- Giải sgk Khoa học tự nhiên 9 - CTST
- Giải sgk Lịch Sử 9 - CTST
- Giải sgk Địa Lí 9 - CTST
- Giải sgk Giáo dục công dân 9 - CTST
- Giải sgk Tin học 9 - CTST
- Giải sgk Công nghệ 9 - CTST
- Giải sgk Hoạt động trải nghiệm 9 - CTST
- Giải sgk Âm nhạc 9 - CTST
- Giải sgk Mĩ thuật 9 - CTST
- Lớp 9 Cánh diều
- Soạn văn 9 Cánh diều (hay nhất)
- Soạn văn 9 Cánh diều (ngắn nhất)
- Giải sgk Toán 9 - Cánh diều
- Giải sgk Khoa học tự nhiên 9 - Cánh diều
- Giải sgk Lịch Sử 9 - Cánh diều
- Giải sgk Địa Lí 9 - Cánh diều
- Giải sgk Giáo dục công dân 9 - Cánh diều
- Giải sgk Tin học 9 - Cánh diều
- Giải sgk Công nghệ 9 - Cánh diều
- Giải sgk Hoạt động trải nghiệm 9 - Cánh diều
- Giải sgk Âm nhạc 9 - Cánh diều
- Giải sgk Mĩ thuật 9 - Cánh diều


Giải bài tập SGK & SBT
Tài liệu giáo viên
Sách
Khóa học
Thi online
Hỏi đáp

