20 Bài tập Căn bậc hai; Căn bậc ba nâng cao (có đáp án)
Tài liệu Bài tập Căn bậc hai; Căn bậc ba nâng cao lớp 9 có lời giải chi tiết với các dạng bài tập đa dạng giúp học sinh ôn tập và biết cách làm bài tập Toán 9.
20 Bài tập Căn bậc hai; Căn bậc ba nâng cao (có đáp án)
(199k) Học Toán 9 KNTTHọc Toán 9 CDHọc Toán 9 CTST
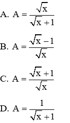
Câu 1: Rút gọn biểu thức ta được.
Lời giải:
Đáp án cần chọn là: B
Câu 2: Rút gọn biểu thức
khi x ≥ 0
Lời giải:
Đáp án cần chọn là: C
Câu 3: Cho biểu thức với
. Chọn câu đúng.
A. B > 2
B. B > 1
C. B = 1
D. B < 2
Lời giải:
Đáp án cần chọn là: B
Câu 4: Cho
và
. Chọn câu đúng.
A. C = 2B
B. B = 2C
C. B = C
D. B = −C
Lời giải:
Đáp án cần chọn là: A
Câu 5: Phương trình có bao nhiêu nghiệm?
A. 3
B. 3
C. 1
D. 2
Lời giải:
Đáp án cần chọn là: D
Câu 6: Tính x + y biết
A. x + y = 2018
B. x + y = 2
C. x + y = 1
D. x + y = 0
Lời giải:
Đáp án cần chọn là: D
Câu 7: Giải phương trình ta được nghiệm duy nhất x0. Chọn câu đúng.
A. x0 < 1
B. x0 > 2
C. 0 < x0 < 1
D. 1 < x0 < 2
Lời giải:
Từ đó ta có 1 < x0 < 2
Đáp án cần chọn là: D
Câu 8: Cho x + √3 = 2. Tính giá trị của biểu thức H = x5 – 3x4 + 6x2 – 20x + 2024
A. H = 2019
B. H = 2018
C. H = 2020
D. H = 2023
Lời giải:
Suy ra: H = (x5 – 4x4 + x3) + (x4 −4x3 + x2) + 5 (x2 – 4x + 1) + 2019
Đáp án cần chọn là: A
Câu 9: Cho .
Chọn đáp án đúng về giá trị biểu thức:
A. P > 2
B. P > 1
C. P > 0
D. P > 3
Lời giải:
Đáp án cần chọn là: C
Câu 10: Tính giá trị biểu thức
với x, y, z > 0 và xy + yz + xz = 1.
A. P = 4
B. P = 1
C. P = 2
D. P = 3
Lời giải:
Vì xy + yz + xz = 1 nên 1 + x2 = x2 + xy + yz + xz = (x + y)(x + z)
Tương tự đối với
1 + y2 = (y + x)(y + z); 1 + z2 = (z + x)(z + y)
Từ đó ta có
Suy ra P = x(y + z) + y(z + x) + z(x + y) = 2 (xy + yz + zx) = 2
(vì xy + yz + zx = 1)
Đáp án cần chọn là: C
Câu 11: Chọn câu đúng:
Lời giải:
Nên từ đó suy ra A > B
Đáp án cần chọn là: D
Câu 12: Với x; y; z là các số thực thỏa mãn x + y + z + xy + yz + zx = 6. Tìm giá trị nhỏ nhất của biểu thức:
Lời giải:
Đáp án cần chọn là: B
Câu 13: Tổng các nghiệm của phương trình là:
Lời giải:
Đáp án cần chọn là: A
Câu 14: Cho biểu thức: với x > y > 0
Lời giải:
Đáp án cần chọn là: C
Câu 15: Rút gọn biểu thức: ta được:
Lời giải:
Đáp án cần chọn là: C
Câu 16: Phương trình có bao nhiêu nghiệm.
A. 2
B. 1
C. 0
D. 3
Lời giải:
Vậy phương trình có nghiệm duy nhất x = 3
Đáp án cần chọn là: B
Câu 17: Cho với x > 4
A. A = 8
B. A = 7
C. A = 6
D. A = 0
Lời giải:
+ Điều kiện để biểu thức A xác định là x > 4
+ Nhận thấy:
Đáp án cần chọn là: A
Câu 18: Cho biểu thức (với x > 0; x ≠ 1)
Lời giải:
Đáp án cần chọn là: C
Câu 19: Giả sử a; b; c là các số thực dương. Chọn câu đúng:
Lời giải:
Cộng cả ba bất đẳng thức trên rồi chia cho 2 ta có:
Dấu “=” xảy ra khi a = b = c = 1
Đáp án cần chọn là: D
Câu 20: Cho ba số thực dương: a, b, c ≤ 1 thỏa mãn: . Chọn câu đúng.
Lời giải:
Vì 0 < a, b, c ≤ 1 thì 1 – a2 ≥ 0; 1 – b2 ≥ 0; 1 – c2 ≥ 0
Áp dụng bất đẳng thức Cô-si cho hai số không âm, ta có:
Đẳng thức xảy ra khi và chỉ chi:
Đáp án cần chọn là: A
(199k) Học Toán 9 KNTTHọc Toán 9 CDHọc Toán 9 CTST
Xem thêm bài tập trắc nghiệm Toán lớp 9 có lời giải hay khác:
- Trắc nghiệm Rút gọn biểu thức chứa căn thức bậc hai (có đáp án - phần 2)
- Trắc nghiệm Căn bậc ba (có đáp án)
- Trắc nghiệm Căn bậc ba (có đáp án - phần 2)
- Top 22 Bài tập trắc nghiệm Căn bậc hai; Căn bậc ba (có đáp án)
Tủ sách VIETJACK luyện thi vào 10 cho 2k11 (2026):
Đã có app VietJack trên điện thoại, giải bài tập SGK, SBT Soạn văn, Văn mẫu, Thi online, Bài giảng....miễn phí. Tải ngay ứng dụng trên Android và iOS.
Theo dõi chúng tôi miễn phí trên mạng xã hội facebook và youtube:Loạt bài Chuyên đề: Lý thuyết - Bài tập Toán lớp 9 Đại số và Hình học có đáp án có đầy đủ Lý thuyết và các dạng bài được biên soạn bám sát nội dung chương trình sgk Đại số 9 và Hình học 9.
Nếu thấy hay, hãy động viên và chia sẻ nhé! Các bình luận không phù hợp với nội quy bình luận trang web sẽ bị cấm bình luận vĩnh viễn.
- Giải Tiếng Anh 9 Global Success
- Giải sgk Tiếng Anh 9 Smart World
- Giải sgk Tiếng Anh 9 Friends plus
- Lớp 9 Kết nối tri thức
- Soạn văn 9 (hay nhất) - KNTT
- Soạn văn 9 (ngắn nhất) - KNTT
- Giải sgk Toán 9 - KNTT
- Giải sgk Khoa học tự nhiên 9 - KNTT
- Giải sgk Lịch Sử 9 - KNTT
- Giải sgk Địa Lí 9 - KNTT
- Giải sgk Giáo dục công dân 9 - KNTT
- Giải sgk Tin học 9 - KNTT
- Giải sgk Công nghệ 9 - KNTT
- Giải sgk Hoạt động trải nghiệm 9 - KNTT
- Giải sgk Âm nhạc 9 - KNTT
- Giải sgk Mĩ thuật 9 - KNTT
- Lớp 9 Chân trời sáng tạo
- Soạn văn 9 (hay nhất) - CTST
- Soạn văn 9 (ngắn nhất) - CTST
- Giải sgk Toán 9 - CTST
- Giải sgk Khoa học tự nhiên 9 - CTST
- Giải sgk Lịch Sử 9 - CTST
- Giải sgk Địa Lí 9 - CTST
- Giải sgk Giáo dục công dân 9 - CTST
- Giải sgk Tin học 9 - CTST
- Giải sgk Công nghệ 9 - CTST
- Giải sgk Hoạt động trải nghiệm 9 - CTST
- Giải sgk Âm nhạc 9 - CTST
- Giải sgk Mĩ thuật 9 - CTST
- Lớp 9 Cánh diều
- Soạn văn 9 Cánh diều (hay nhất)
- Soạn văn 9 Cánh diều (ngắn nhất)
- Giải sgk Toán 9 - Cánh diều
- Giải sgk Khoa học tự nhiên 9 - Cánh diều
- Giải sgk Lịch Sử 9 - Cánh diều
- Giải sgk Địa Lí 9 - Cánh diều
- Giải sgk Giáo dục công dân 9 - Cánh diều
- Giải sgk Tin học 9 - Cánh diều
- Giải sgk Công nghệ 9 - Cánh diều
- Giải sgk Hoạt động trải nghiệm 9 - Cánh diều
- Giải sgk Âm nhạc 9 - Cánh diều
- Giải sgk Mĩ thuật 9 - Cánh diều


Giải bài tập SGK & SBT
Tài liệu giáo viên
Sách
Khóa học
Thi online
Hỏi đáp

