Trắc nghiệm Căn bậc ba (có đáp án - phần 2)
Tài liệu bài tập trắc nghiệm Căn bậc ba lớp 9 có đáp án với các dạng bài tập cơ bản, nâng cao đầy đủ các mức độ: nhận biết, thông hiểu, vận dụng, vận dụng cao sẽ giúp học sinh ôn luyện và biết cách làm bài tập Toán 9.
Trắc nghiệm Căn bậc ba (có đáp án - phần 2)
(199k) Học Toán 9 KNTTHọc Toán 9 CDHọc Toán 9 CTST
Câu 1: Tìm số nguyên nhỏ nhất thỏa mãn bất phương trình
A. x = −31
B. x = −30
C. x = −32
D. x = −29
Lời giải:
Nên số nguyên nhỏ nhất thỏa mãn bất phương trình trên là −30
Đáp án cần chọn là: B
Câu 2: Tìm số nguyên lớn nhất thỏa mãn bất phương trình
A. x = 31
B. x = 28
C. x = 30
D. x = 29
Lời giải:
Nên số nguyên lớn nhất thỏa mãn bất phương trình trên là 29
Đáp án cần chọn là: D
Câu 3: Thu gọn biểu thức ta được
Lời giải:
Đáp án cần chọn là: A
Câu 4: Thu gọn biểu thức ta được:
A. 4ab
B. −8ab
C. 16ab
D. −4ab
Lời giải:
Ta có:
Đáp án cần chọn là: D
Câu 5: Số nghiệm của phương trình là:
A. 2
B. 0
C. 1
D. 3
Lời giải:
Đáp án cần chọn là: C
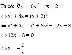
Câu 6: Nghiệm của phương trình là:
Lời giải:
Đáp án cần chọn là: A
Câu 7: Kết luận nào đúng khi nói về nghiệm của phương trình
A. Là số nguyên âm
B. Là phân số
C. Là số vô tỉ
D. Là số nguyên dương
Lời giải:
Đáp án cần chọn là: A
Câu 8: Kết luận nào đúng khi nói về nghiệm của phương trình
A. Là số nguyên âm
B. Là phân số
C. Là số vô tỉ
D. Là số nguyên dương
Lời giải:
Vậy nghiệm của phương trình là phân số
Đáp án cần chọn là: B
Câu 9: Số nghiệm của phương trình là:
A. 2
B. 0
C. 1
D. 3
Lời giải:
Vậy phương trình có ba nghiệm phân biệt
Đáp án cần chọn là: D
Câu 10: Tổng các nghiệm của phương trình là
A. 6
B. 5
C. 2
D. 3
Lời giải:
Vậy tổng các nghiệm của phương trình là: 2 + 3 + 1 = 6
Đáp án cần chọn là: A
Câu 11: Tổng các nghiệm của phương trình là:
Lời giải:
Mà nên ta có phương trình
Đáp án cần chọn là: C
Câu 12: Tập nghiệm của phương trình là:
A. S = {1; −7}
B. S = {−1; 7}
C. S = {7}
D. S = {−1}
Lời giải:
Tập nghiệm của phương trình là S = {−1; 7}
Đáp án cần chọn là: B
Câu 13: Thu gọn biểu thức ta được
A. x
B. –x
C. 2x
D. −2x
Lời giải:
Đáp án cần chọn là: B
Câu 14: Thu gọn biểu thức ta được:
A. −4x
B. −6x
C. 4x
D. 6x
Lời giải:
Đáp án cần chọn là: A
(199k) Học Toán 9 KNTTHọc Toán 9 CDHọc Toán 9 CTST
Xem thêm bài tập trắc nghiệm Toán lớp 9 có lời giải hay khác:
- Trắc nghiệm Rút gọn biểu thức chứa căn thức bậc hai (có đáp án - phần 2)
- Trắc nghiệm Căn bậc ba (có đáp án)
- 20 Bài tập Căn bậc hai; Căn bậc ba nâng cao (có đáp án)
- Top 22 Bài tập trắc nghiệm Căn bậc hai; Căn bậc ba (có đáp án)
Tủ sách VIETJACK luyện thi vào 10 cho 2k11 (2026):
Đã có app VietJack trên điện thoại, giải bài tập SGK, SBT Soạn văn, Văn mẫu, Thi online, Bài giảng....miễn phí. Tải ngay ứng dụng trên Android và iOS.
Theo dõi chúng tôi miễn phí trên mạng xã hội facebook và youtube:Loạt bài Chuyên đề: Lý thuyết - Bài tập Toán lớp 9 Đại số và Hình học có đáp án có đầy đủ Lý thuyết và các dạng bài được biên soạn bám sát nội dung chương trình sgk Đại số 9 và Hình học 9.
Nếu thấy hay, hãy động viên và chia sẻ nhé! Các bình luận không phù hợp với nội quy bình luận trang web sẽ bị cấm bình luận vĩnh viễn.
- Giải Tiếng Anh 9 Global Success
- Giải sgk Tiếng Anh 9 Smart World
- Giải sgk Tiếng Anh 9 Friends plus
- Lớp 9 Kết nối tri thức
- Soạn văn 9 (hay nhất) - KNTT
- Soạn văn 9 (ngắn nhất) - KNTT
- Giải sgk Toán 9 - KNTT
- Giải sgk Khoa học tự nhiên 9 - KNTT
- Giải sgk Lịch Sử 9 - KNTT
- Giải sgk Địa Lí 9 - KNTT
- Giải sgk Giáo dục công dân 9 - KNTT
- Giải sgk Tin học 9 - KNTT
- Giải sgk Công nghệ 9 - KNTT
- Giải sgk Hoạt động trải nghiệm 9 - KNTT
- Giải sgk Âm nhạc 9 - KNTT
- Giải sgk Mĩ thuật 9 - KNTT
- Lớp 9 Chân trời sáng tạo
- Soạn văn 9 (hay nhất) - CTST
- Soạn văn 9 (ngắn nhất) - CTST
- Giải sgk Toán 9 - CTST
- Giải sgk Khoa học tự nhiên 9 - CTST
- Giải sgk Lịch Sử 9 - CTST
- Giải sgk Địa Lí 9 - CTST
- Giải sgk Giáo dục công dân 9 - CTST
- Giải sgk Tin học 9 - CTST
- Giải sgk Công nghệ 9 - CTST
- Giải sgk Hoạt động trải nghiệm 9 - CTST
- Giải sgk Âm nhạc 9 - CTST
- Giải sgk Mĩ thuật 9 - CTST
- Lớp 9 Cánh diều
- Soạn văn 9 Cánh diều (hay nhất)
- Soạn văn 9 Cánh diều (ngắn nhất)
- Giải sgk Toán 9 - Cánh diều
- Giải sgk Khoa học tự nhiên 9 - Cánh diều
- Giải sgk Lịch Sử 9 - Cánh diều
- Giải sgk Địa Lí 9 - Cánh diều
- Giải sgk Giáo dục công dân 9 - Cánh diều
- Giải sgk Tin học 9 - Cánh diều
- Giải sgk Công nghệ 9 - Cánh diều
- Giải sgk Hoạt động trải nghiệm 9 - Cánh diều
- Giải sgk Âm nhạc 9 - Cánh diều
- Giải sgk Mĩ thuật 9 - Cánh diều


Giải bài tập SGK & SBT
Tài liệu giáo viên
Sách
Khóa học
Thi online
Hỏi đáp

