Trắc nghiệm Hàm số bậc nhất (có đáp án)
Tài liệu bài tập trắc nghiệm Hàm số bậc nhất lớp 9 có đáp án với các dạng bài tập cơ bản, nâng cao đầy đủ các mức độ: nhận biết, thông hiểu, vận dụng, vận dụng cao sẽ giúp học sinh ôn luyện và biết cách làm các dạng bài tập Toán 9.
Trắc nghiệm Hàm số bậc nhất (có đáp án)
(199k) Học Toán 9 KNTTHọc Toán 9 CDHọc Toán 9 CTST
Câu 1: Chọn đáp án đúng nhất. Hàm số y = ax + b là hàm số bậc nhất khi:
A. a = 0
B. a < 0
C. a > 0
D. a ≠ 0
Lời giải:
Hàm số bậc nhất là hàm số có dạng y = ax + b (a ≠ 0).
Đáp án cần chọn là: D
Câu 2: Chọn đáp án đúng nhất. Với a ≠ 0 hàm số y = ax + b là hàm số:
A. Bậc nhất
B. Hàm hằng
C. Đồng biến
D. Nghịch biến
Lời giải:
Hàm số có dạng y = ax + b (a ≠ 0) là hàm số bậc nhất.
Đáp án cần chọn là: A
Câu 3: Chọn đáp án đúng nhất. Hàm số y = ax + b là hàm số đồng biến khi:
A. a = 0
B. a < 0
C. a > 0
D. a ≠ 0
Lời giải:
Hàm số bậc nhất y = ax + b xác định với mọi giá trị của x thuộc R và có tính chất sau:
- Đồng biến trên R nếu a > 0
- Nghịch biến trên R nếu a < 0
Đáp án cần chọn là: C
Câu 4: Chọn đáp án đúng nhất. Hàm số y = ax + b là hàm số nghịch biến khi:
A. a = 0
B. a < 0
C. a > 0
D. a ≠ 0
Lời giải:
Hàm số bậc nhất y = ax + b xác định với mọi giá trị của x thuộc R và có tính chất sau:
- Đồng biến trên R nếu a > 0
- Nghịch biến trên R nếu a < 0
Đáp án cần chọn là: B
Câu 5: Hàm số nào dưới đây là hàm số bậc nhất?
Lời giải:
Theo định nghĩa thì hàm số y = 2x + 1 là hàm số bậc nhất.
Đáp án cần chọn là: A
Câu 6: Hàm số nào dưới đây không là hàm số bậc nhất?
Lời giải:
Theo định nghĩa thì các hàm số
là hàm số bậc nhất.
Hàm số không là hàm số bậc nhất
Đáp án cần chọn là: C
Câu 7: Trong các hàm số
có bao nhiêu hàm số là hàm số bậc nhất?
A. 3
B. 2
C. 4
D. 1
Lời giải:
Theo định nghĩa thì hàm số là hàm số bậc nhất
Đáp án cần chọn là: B
Câu 8: Tìm m để hàm số là hàm số bậc nhất
A. m < 2
B. m > 2
C. m = 2
D. m ≠ 2
Lời giải:
Đáp án cần chọn là: A
Câu 9: Tìm m để hàm số là hàm số bậc nhất.
Lời giải:
Hàm số là hàm số bậc nhất khi
Đáp án cần chọn là: D
Câu 10: Tìm m để hàm số là hàm số bậc nhất.
Lời giải:
Hàm số là hàm số bậc nhất khi
Đáp án cần chọn là: C
Câu 11: Hàm số là hàm số bậc nhất khi:
Lời giải:
Hàm số là hàm số bậc nhất khi
Đáp án cần chọn là: A
Câu 12: Hàm số nào sau đây là hàm số nghịch biến?
A. y = 2x – 1
B. y = − (1 – 3x)
C. y = − (2x – 1)
D. y = x
Lời giải:
Hàm số y = 2x – 1 có a = 2 > 0 nên là hàm số đồng biến.
Hàm số y = − (1 – 3x) ⇔ y = 3x – 1 có a = 3 > 0 nên là hàm số đồng biến
Hàm số y = − (2x – 1) ⇔ y = −2x + 1 có a = −2 < 0 nên là hàm số nghịch biến
Hàm số y = x có a = 1 > 0 nên là hàm số đồng biến.
Đáp án cần chọn là: C
Câu 13: Trong các hàm số có bao nhiêu hàm số nghịch biến?
A. 1
B. 3
C. 4
D. 2
Lời giải:
Hàm số y = −3x + 2 có a = −3 < 0 nên là hàm số nghịch biến
Hàm số nên là hàm số đồng biến
Hàm số nên là hàm số nghịch biến
Hàm số y = − (1 – 2x) ⇔ y = 2x – 1 có a = 2 > 0 nên là hàm số đồng biến
Vậy có hai hàm số nghịch biến
Đáp án cần chọn là: D
Câu 14: Hàm số nào sau đây là hàm số bậc nhất và đồng biến?
Lời giải:
+) Hàm số y = 2 (4 – x) + 5 = 8 – 2x + 5 ⇔ y = −2x + 13 có a = −2 < 0 nên là hàm số nghịch biến.
+) Hàm số y = √3 − (2x + 2) ⇔ y = √3 − 2x – 2 ⇔ y = −2x + √3 − 2 có a = −2 < 0 nên là hàm số nghịch biến.
+) Hàm số y = − (9 – x) ⇔ y = x – 9 có a = 1 > 0 nên là hàm số đồng biến
+) Hàm số y = x3 – x không là hàm số bậc nhất
Đáp án cần chọn là: D
Câu 15: Hàm số nào sau đây là hàm số đồng biến?
Lời giải:
Hàm số nên là hàm số nghịch biến
Hàm số nên là hàm số đồng biến
Hàm số y = − 5 – 3x ⇔ y = − 3x − 5 có a = −3 < 0 nên là hàm số nghịch biến
Hàm số y = − (9 + 3x) ⇔ y = −3x – 9 có a = − 3 < 0 nên là hàm số nghịch biến
Đáp án cần chọn là: B
Câu 16: Cho hàm số y = (8 – 4m)x + 5. Tìm m để hàm số là hàm số nghịch biến.
A. m > 2
B. m < 2
C. m = 2
D. m ≠ 2
Lời giải:
Hàm số y = (8 – 4m)x + 5 là hàm số nghịch biến khi 8 – 4m < 0 ⇔ m > 2
Đáp án cần chọn là: A
Câu 17: Với giá trị nào của m thì hàm số là hàm số nghịch biến?
A. m < 1
B. m > 1
C. m = 1
D. Mọi m
Lời giải:
Hàm số
là hàm số nghịch biến khi
Nhận thấy m2 + 2m + 1 = (m + 1)2 + 1 1 > 0 với mọi m nên
⇒ m – 1 < 0 ⇔ m < 1.
Đáp án cần chọn là: A
Câu 18: Cho hàm số . Tìm m để hàm số là hàm số nghịch biến.
A. m > 6
B. m = 6
C. m < 6
D. m ≠ 6
Lời giải:
Hàm số
là hàm số nghịch biến khi
Đáp án cần chọn là: C
Câu 19: Cho hàm số y = 5mx – 2x + m. Tìm m để hàm số là hàm số đồng biến.
Lời giải:
Hàm số y = 5mx – 2x + m ⇔ y = (5m – 2)x + m là hàm số đồng biến khi
Đáp án cần chọn là: C
Câu 20: Cho hàm số y = (−2m2 + 4m – 5)x − 7m + 5 là hàm số đồng biến khi:
Lời giải:
Hàm số y = (−2m2 + 4m – 5)x − 7m + 5 là hàm số đồng biến khi
−2m2 + 4m – 5 > 0
Nhận thấy −2m2 + 4m – 5 = − (2m2 − 4m + 5) = − 2(m2 − 2m + 1) – 3
= −2 (m – 1)2 – 3 < 0, ∀m
Nên hàm số nghịch biến với mọi m, nghĩa là không có giá trị nào của m để hàm đã cho đồng biến.
Đáp án cần chọn là: C
Câu 21: Cho hàm số y = (m2 – 1)x + 5m. Tìm m để hàm số là hàm số đồng biến trên R.
Lời giải:
Hàm số y = (m2 – 1)x + 5m là hàm số đồng biến khi m2 – 1 > 0
Đáp án cần chọn là: D
Câu 22: Cho hàm số . Kết luận nào sau đây là đúng?
A. Hàm số đã cho là hàm nghịch biến với mọi m
B. Hàm số đã cho là hàm nghịch biến với m > √3
C. Hàm số đã cho là hàm hằng
D. Hàm số đã cho là hàm số đồng biến với mọi m.
Lời giải:
Hàm số
có m2 + 3 ≥ 3 > 0 với mọi m nên là hàm số đồng biến với mọi m
Đáp án cần chọn là: D
Câu 23: Cho hàm số . Kết luận nào sau đây là đúng?
A. Hàm số đã cho là hàm nghich biến
B. Hàm số đã cho là hàm đồng biến
C. Hàm số đã cho là hàm hằng
D. Hàm số đã cho là hàm số đồng biến với x > 0
Lời giải:
Đáp án cần chọn là: B
Câu 24: Cho hàm số . Giá trị nguyên nhỏ nhất của m để hàm số đồng biến là?
A. m = 8
B. m = 9
C. m = 3
D. m = 7
Lời giải:
Hàm số
là hàm số đồng biến khi
Giá trị nguyên nhỏ nhất cần tìm là m = 8
Đáp án cần chọn là: A
Câu 25: Cho hàm số . Với giá trị nguyên lớn nhất của m để hàm số nghịch biến là?
A. m = 5
B. m = −20
C. m = −19
D. m = −21
Lời giải:
Hàm số
là hàm số nghịch biến khi
Kết hợp với điều kiện ta được m < −20 nên giá trị nguyên lớn nhất của m thỏa mãn là m = −21
Đáp án cần chọn là: D
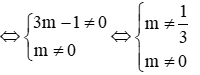
Câu 26: Với giá trị nào của m thì hàm số y = (3m – 1)mx + 6m là hàm số bậc nhất.
Lời giải:
Hàm số y = (3m – 1)mx + 6m là hàm số bậc nhất khi (3m – 1).m ≠ 0
Đáp án cần chọn là: C
Câu 27: Với giá trị nào của m thì hàm số y = (m2 – 9m + 8) x + 10 là hàm số bậc nhất?
A. m ≠ {1; 8}
B. m ≠ 1
C. m ≠ 8
D. Mọi m
Lời giải:
Hàm số y = (m2 – 9m + 8) x + 10 là hàm số bậc nhất khi m2 – 9m + 8 ≠ 0
Đáp án cần chọn là: A
Câu 28: Cho hàm số y = (a2 – 4)x2 + (b – 3a)(b + 2a)x – 2 là hàm số bậc nhất khi:
Lời giải:
Hàm số y = (a2 – 4)x2 + (b – 3a)(b + 2a)x – 2 là hàm số bậc nhất khi:
Đáp án cần chọn là: D
(199k) Học Toán 9 KNTTHọc Toán 9 CDHọc Toán 9 CTST
Xem thêm bài tập trắc nghiệm Toán lớp 9 có lời giải hay khác:
- Trắc nghiệm Nhắc lại và bổ sung các khái niệm về hàm số (có đáp án)
- Trắc nghiệm Đồ thị của hàm số y = ax + b (có đáp án)
- Trắc nghiệm Đồ thị của hàm số y = ax + b (có đáp án - phần 2)
- Trắc nghiệm Đường thẳng song song và đường thẳng cắt nhau (có đáp án)
Tủ sách VIETJACK luyện thi vào 10 cho 2k11 (2026):
Đã có app VietJack trên điện thoại, giải bài tập SGK, SBT Soạn văn, Văn mẫu, Thi online, Bài giảng....miễn phí. Tải ngay ứng dụng trên Android và iOS.
Theo dõi chúng tôi miễn phí trên mạng xã hội facebook và youtube:Loạt bài Chuyên đề: Lý thuyết - Bài tập Toán lớp 9 Đại số và Hình học có đáp án có đầy đủ Lý thuyết và các dạng bài được biên soạn bám sát nội dung chương trình sgk Đại số 9 và Hình học 9.
Nếu thấy hay, hãy động viên và chia sẻ nhé! Các bình luận không phù hợp với nội quy bình luận trang web sẽ bị cấm bình luận vĩnh viễn.
- Giải Tiếng Anh 9 Global Success
- Giải sgk Tiếng Anh 9 Smart World
- Giải sgk Tiếng Anh 9 Friends plus
- Lớp 9 Kết nối tri thức
- Soạn văn 9 (hay nhất) - KNTT
- Soạn văn 9 (ngắn nhất) - KNTT
- Giải sgk Toán 9 - KNTT
- Giải sgk Khoa học tự nhiên 9 - KNTT
- Giải sgk Lịch Sử 9 - KNTT
- Giải sgk Địa Lí 9 - KNTT
- Giải sgk Giáo dục công dân 9 - KNTT
- Giải sgk Tin học 9 - KNTT
- Giải sgk Công nghệ 9 - KNTT
- Giải sgk Hoạt động trải nghiệm 9 - KNTT
- Giải sgk Âm nhạc 9 - KNTT
- Giải sgk Mĩ thuật 9 - KNTT
- Lớp 9 Chân trời sáng tạo
- Soạn văn 9 (hay nhất) - CTST
- Soạn văn 9 (ngắn nhất) - CTST
- Giải sgk Toán 9 - CTST
- Giải sgk Khoa học tự nhiên 9 - CTST
- Giải sgk Lịch Sử 9 - CTST
- Giải sgk Địa Lí 9 - CTST
- Giải sgk Giáo dục công dân 9 - CTST
- Giải sgk Tin học 9 - CTST
- Giải sgk Công nghệ 9 - CTST
- Giải sgk Hoạt động trải nghiệm 9 - CTST
- Giải sgk Âm nhạc 9 - CTST
- Giải sgk Mĩ thuật 9 - CTST
- Lớp 9 Cánh diều
- Soạn văn 9 Cánh diều (hay nhất)
- Soạn văn 9 Cánh diều (ngắn nhất)
- Giải sgk Toán 9 - Cánh diều
- Giải sgk Khoa học tự nhiên 9 - Cánh diều
- Giải sgk Lịch Sử 9 - Cánh diều
- Giải sgk Địa Lí 9 - Cánh diều
- Giải sgk Giáo dục công dân 9 - Cánh diều
- Giải sgk Tin học 9 - Cánh diều
- Giải sgk Công nghệ 9 - Cánh diều
- Giải sgk Hoạt động trải nghiệm 9 - Cánh diều
- Giải sgk Âm nhạc 9 - Cánh diều
- Giải sgk Mĩ thuật 9 - Cánh diều


Giải bài tập SGK & SBT
Tài liệu giáo viên
Sách
Khóa học
Thi online
Hỏi đáp

