Trắc nghiệm Ứng dụng thực tế các tỉ số lượng giác của góc nhọn (có đáp án)
Tài liệu bài tập trắc nghiệm Ứng dụng thực tế các tỉ số lượng giác của góc nhọn lớp 9 có đáp án với các dạng bài tập cơ bản, nâng cao đầy đủ các mức độ: nhận biết, thông hiểu, vận dụng, vận dụng cao sẽ giúp học sinh ôn luyện và biết cách làm các dạng bài tập Toán 9.
Trắc nghiệm Ứng dụng thực tế các tỉ số lượng giác của góc nhọn (có đáp án)
(199k) Học Toán 9 KNTTHọc Toán 9 CDHọc Toán 9 CTST
Câu 1: Một cột đèn có bóng trên mặt đất dài 7,5m. Các tia nắng mặt trời tạo với mặt đất một góc xấp xỉ bằng 42o. Tính chiều cao của cột đèn. (làm tròn đến chữ số thập phân thứ ba)
A. 6,753m
B. 6,75m
C. 6,751m
D. 6,755m
Lời giải:
Ta có chiều cao cột đèn là
Xét tam giác ACB vuông tại A có:
AC = AB. tan B = 7,5. tan 42o ≃ 6,753m
Vậy cột đèn cao 6,753m
Đáp án cần chọn là: A
Câu 2: Một cầu trượt trong công việc có độ dốc là 28o và có độ cao là 2,1m. Tính độ dài của mặt cầu trượt. (làm tròn đến chữ số thập phân thứ hai)
A. 4,6m
B. 4,69m
D. 5,7m
D. 6,49m
Lời giải:
Ta có chiều cao cột đèn là
Xét tam giác ACB vuông tại A có:
AC = AB. tan B = 6. tan 38o ≈ 4,68m
Vậy cột đèn cao 4,69m
Đáp án cần chọn là: B
Câu 3: Một cầu trượt trong công viên có độ dốc là 28o và có độ cao là 2,1m. Tính độ dài của mặt cầu trượt. (làm tròn đến chữ số thập phân thứ hai)
A. 3,95m
B. 3,8m
D. 4,5m
D. 4,47m
Lời giải:
Ta có độ dài của mặt cầu trượt là
Xét tam giác ACB vuông tại A có:
BC = AB : sin B = 2,1 : sin 28o ≈ 4,47m
Vậy độ dài của mặt cầu trượt là 4,47m
Đáp án cần chọn là: D
Câu 4: Một cầu trượt trong công viên có độ dốc là 25o và có độ cao là 2,4m. Tính độ dài của mặt cầu trượt. (làm tròn đến chữ số thập phân thứ hai)
A. 5,86m
B. 5m
C. 5,68m
D. 5,9m
Lời giải:
Ta có độ dài của mặt cầu trượt là
Xét tam giác ACB vuông tại A có:
BC = AB : sin B = 2,4 : sin 25o ≈ 5,68m
Vậy độ dài của mặt cầu trượt là 5,68m
Đáp án cần chọn là: C
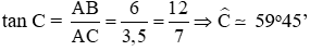
Câu 5: Một cột đèn điện AB cao 6m có bóng in trên mặt đất là AC dài 3,5m. Hãy tính góc (làm tròn đến phút) mà tia sáng mặt trời tạo với mặt đất.
A. 58o45’
B. 59o50’
C. 59o45’
D. 59o4’
Lời giải:
Ta có:
Đáp án cần chọn là: C
Câu 6: Một cột đèn điện AB cao 7m có bóng in trên mặt đất là AC dài 4m. Hãy tính góc (làm tròn đến phút) mà tia sáng mặt trời tạo với mặt đất.
A. 59o45’
B. 62o
C. 61o15’
D. 60o15’
Lời giải:
Đáp án cần chọn là: D
Câu 7: Tính chiều cao của cây trong hình vẽ bên (Làm tròn đến chữ số thập phân thứ nhất)
A. 14,3m
B. 15,7m
C. 16,8m
D. 17,2m
Lời giải:
Chiều cao của cây là: h = 1,7 + 20. tan35o ≈ 15,7m
Đáp án cần chọn là: B
Câu 8: Một cây tre cao 9m bị gió bão làm gãy ngang thân cây, ngọn cây chạm đất cách gốc 3m. Hỏi điểm gãy cách gốc bao nhiêu? (làm tròn đến chữ số thập phân thứ hai).
A. 6m
B. 5m
C. 4m
D. 3m
Lời giải:
Giả sử AB là độ cao của cây tre, C là điểm gãy.
Đặt AC = x (0 < x < 9) ⇔ CB = CD = 9 – x. Vì ∆ACD vuông tại A
Suy ra AC2 + AD2 = CD2
⇔ x2 + 32 = (9 – x)2 ⇔ x = 4 (TM)
Vậy điểm gãy cách gốc cây 4m
Đáp án cần chọn là: C
Câu 9: Một cây tre cao 8m bị gió bão làm gãy ngang thân cây, ngọn cây chạm đất cách gốc 3,5m. Hỏi điểm gãy cách gốc bao nhiêu? (làm tròn đến chữ số thập phân thứ hai).
A. 3,32m
B. 3,23m
C. 4m
D. 3m
Lời giải:
Giả sử AB là độ cao của cây tre, C là điểm gãy.
Đặt AC = x ⇔ CB = CD = 8 – x.
Vậy điểm gãy cách gốc cây 3,23m
Đáp án cần chọn là: B
Câu 10: Nhà bạn Minh có một chiếc thang dài 4m. Cần đặt chân thang cách chân tường một khoảng cách bằng bao nhiêu để nó tạo được với mặt đất một góc “an toàn” là 65o (tức là đảm bảo thang không bị đổ khi sử dụng). (làm tròn đến chữ số thập phân thứ hai)
A. 1,76m
B. 1,71m
C. 1,68m
D. 1,69m
Lời giải:
Đáp án cần chọn là: D
Câu 11: Nhà bạn Vũ có một chiếc thang dài 3,5m. Cần đặt chân thang cách chân tường một khoảng cách bằng bao nhiêu để nó tạo được với mặt đất một góc “an toàn” là 62o (tức là đảm bảo thang không bị đổ khi sử dụng). (làm tròn đến chữ số thập phân thứ hai)
A. 1,65m
B. 1,64m
D. 1,68m
D. 1,69m
Lời giải:
Đáp án cần chọn là: B
Câu 12: Một máy bay đang bay ở độ cao 10km so với mặt đất, muốn hạ cánh xuống sân bay. Để đường bay và mặt đất hợp thành một góc an toàn là 15o thì phi công phải bắt đầu hạ cánh từ vị trí cách sân bay bao xa? (làm tròn kết quả đến hai chữ số phần thập phân)
A. 37,32km
B. 373,2km
D. 38,32km
D. 37,52km
Lời giải:
Đáp án cần chọn là: A
Câu 13: Một máy bay đang bay ở độ cao 12km so với mặt đất, muốn hạ cánh xuống sân bay. Để đường bay và mặt đất hợp thành một góc an toàn là 12o thì phi công phải bắt đầu hạ cánh từ vị trí cách sân bay bao xa? (làm tròn kết quả đến một chữ số phần thập phân)
A. 56,6km
B. 56,5km
C. 55,6km
D. 57km
Lời giải:
Đáp án cần chọn là: B
Câu 14: Một cái cây bị sét đánh trúng thân cây làm cây ngả xuống đất, tạo với mặt đất một góc là 40o. Biết rằng khúc cây còn đứng cao 1m. Tính chiều cao lúc đầu của cây.
A. 2,61m
B. 2,82m
C. 2,58m
D. 2,56m
Lời giải:
Từ giả thiết ra có chiều dài ban đầu của cây là AD; sau khi bị sét đánh thì cây còn lại
Đáp án cần chọn là: D
Câu 15: Một cái cây bị sét đánh trúng thân cây làm cây ngả xuống đất, tạo với mặt đất một góc là 35o. Biết rằng khúc cây còn đứng cao 1,5m. Tính chiều cao lúc đầu của cây. (làm tròn đến chữ số thập phân thứ nhất)
A. 4m
B. 4,5m
C. 4,1m
D. 3,9m
Lời giải:
Từ giả thiết ra có chiều dài ban đầu của cây là AD; sau khi bị sét đánh thì cây còn lại
Vậy cây cao 4,1m
Đáp án cần chọn là: C
Câu 16: Một chiếc máy bay đang bay lên với vận tốc 500km/h. Đường bay lên tạo với phương ngang một góc 30o. Hỏi sau 1,2 phút kể từ lúc cất cánh, máy bay đạt được độ cao là bao nhiêu?
A. 7km
B. 5km
C. 6km
D. 8km
Lời giải:
Nên AC = BC. sin 30o = 5km
Vậy máy bay đạt được độ cao là 5km sau 1,2 phút
Đáp án cần chọn là: B
Câu 17: Một chiếc máy bay đang bay lên với vận tốc 480km/h. Đường bay lên tạo với phương ngang một góc 25o. Hỏi sau 1,5 phút kể từ lúc cất cánh, máy bay đạt được độ cao là bao nhiêu? (làm tròn đến chữ số thập phân thứ nhất)
A. 7,1km
B. 5km
C. 5,1km
D. 6km
Lời giải:
Nên AC = BC. sin 25o = 5,1km
Vậy máy bay đạt được độ cao là 5,1km sau 1,5 phút
Đáp án cần chọn là: C
Câu 18: Một khúc sông rộng khoảng 250m. Một chiếc thuyền muốn qua sông theo phương ngang nhưng bị dòng nước đẩy theo phương xiên, nên phải đi khoảng 320m mới sang được vờ bên kia. Hỏi dòng nước đã đẩy thuyền đi một góc bao nhiêu độ?
A. 30o
B. 40o
C. 38o37’
D. 39o37’
Lời giải:
Ta có khúc sông AC = 250m, quãng đường thuyền đi là BC = 320m
Vậy góc lệch là 38o37’
Đáp án cần chọn là: C
Câu 19: Một khúc sông rộng khoảng 100m. Một chiếc thuyền muốn qua sông theo phương ngang nhưng bị dòng nước đẩy theo phương xiên, nên phải đi khoảng 180m mới sang được vờ bên kia. Hỏi dòng nước đã đẩy thuyền đi một góc bao nhiêu độ? (làm tròn đến độ)
A. 56o
B. 40o
C. 65o
D. 55o
Lời giải:
Ta có khúc sông AC = 100m, quãng đường thuyền đi là BC = 180m
Vậy góc lệch là 56o
Đáp án cần chọn là: A
Câu 20: Hai bạn học sinh Trung và Dũng đang đứng ở mặt đất bằng phẳng, cách nhau 100m thì nhìn thấy một chiếc diều (ở vị trí C giữa hai bạn). Biết góc “nâng” để nhìn thấy diều ở vị trí của Trung là 50o và góc “nâng” để nhìn thấy diều ở vị trí của Dũng là 40o. Hãy tính độ cao của diều lúc đó so với mặt đất? (làm tròn đến chữ số thập phân thứ hai)
A. 49,26m
B. 49,24m
C. 50m
D. 51m
Lời giải:
Độ cao của diều là CD, độ dài AB = 100m. Trung đứng ở A, Dũng đứng ở B
Gọi AD = x (0 < x < 100)
⇒ BD = 100 – x
Xét ΔACD vuông tại D, ta có CD = AD.tan A = x.tan 50o
Xét ΔABD vuông tại D, ta có CD = BD.tan B = (100 – x).tan 40o
Nên x.tan 50o = (100 – x).tan 40o
⇒ x ≃ 41,32 (thỏa mãn)
⇒ CD = 41,32.tan 50o ≃ 49,24,
Vậy độ cao của diều lúc đó so với mặt đất là 49,24m
Đáp án cần chọn là: B
(199k) Học Toán 9 KNTTHọc Toán 9 CDHọc Toán 9 CTST
Xem thêm bài tập trắc nghiệm Toán lớp 9 có lời giải hay khác:
- Trắc nghiệm Tỉ số lượng giác của góc nhọn (có đáp án - phần 2)
- Trắc nghiệm Một số hệ thức về cạnh và góc trong tam giác vuông (có đáp án)
- Trắc nghiệm Một số hệ thức về cạnh và góc trong tam giác vuông (có đáp án - phần 2)
- Top 20 Bài tập trắc nghiệm Hệ thức lượng trong tam giác vuông (có đáp án)
Tủ sách VIETJACK luyện thi vào 10 cho 2k11 (2026):
Đã có app VietJack trên điện thoại, giải bài tập SGK, SBT Soạn văn, Văn mẫu, Thi online, Bài giảng....miễn phí. Tải ngay ứng dụng trên Android và iOS.
Theo dõi chúng tôi miễn phí trên mạng xã hội facebook và youtube:Loạt bài Chuyên đề: Lý thuyết - Bài tập Toán lớp 9 Đại số và Hình học có đáp án có đầy đủ Lý thuyết và các dạng bài được biên soạn bám sát nội dung chương trình sgk Đại số 9 và Hình học 9.
Nếu thấy hay, hãy động viên và chia sẻ nhé! Các bình luận không phù hợp với nội quy bình luận trang web sẽ bị cấm bình luận vĩnh viễn.
- Giải Tiếng Anh 9 Global Success
- Giải sgk Tiếng Anh 9 Smart World
- Giải sgk Tiếng Anh 9 Friends plus
- Lớp 9 Kết nối tri thức
- Soạn văn 9 (hay nhất) - KNTT
- Soạn văn 9 (ngắn nhất) - KNTT
- Giải sgk Toán 9 - KNTT
- Giải sgk Khoa học tự nhiên 9 - KNTT
- Giải sgk Lịch Sử 9 - KNTT
- Giải sgk Địa Lí 9 - KNTT
- Giải sgk Giáo dục công dân 9 - KNTT
- Giải sgk Tin học 9 - KNTT
- Giải sgk Công nghệ 9 - KNTT
- Giải sgk Hoạt động trải nghiệm 9 - KNTT
- Giải sgk Âm nhạc 9 - KNTT
- Giải sgk Mĩ thuật 9 - KNTT
- Lớp 9 Chân trời sáng tạo
- Soạn văn 9 (hay nhất) - CTST
- Soạn văn 9 (ngắn nhất) - CTST
- Giải sgk Toán 9 - CTST
- Giải sgk Khoa học tự nhiên 9 - CTST
- Giải sgk Lịch Sử 9 - CTST
- Giải sgk Địa Lí 9 - CTST
- Giải sgk Giáo dục công dân 9 - CTST
- Giải sgk Tin học 9 - CTST
- Giải sgk Công nghệ 9 - CTST
- Giải sgk Hoạt động trải nghiệm 9 - CTST
- Giải sgk Âm nhạc 9 - CTST
- Giải sgk Mĩ thuật 9 - CTST
- Lớp 9 Cánh diều
- Soạn văn 9 Cánh diều (hay nhất)
- Soạn văn 9 Cánh diều (ngắn nhất)
- Giải sgk Toán 9 - Cánh diều
- Giải sgk Khoa học tự nhiên 9 - Cánh diều
- Giải sgk Lịch Sử 9 - Cánh diều
- Giải sgk Địa Lí 9 - Cánh diều
- Giải sgk Giáo dục công dân 9 - Cánh diều
- Giải sgk Tin học 9 - Cánh diều
- Giải sgk Công nghệ 9 - Cánh diều
- Giải sgk Hoạt động trải nghiệm 9 - Cánh diều
- Giải sgk Âm nhạc 9 - Cánh diều
- Giải sgk Mĩ thuật 9 - Cánh diều


Giải bài tập SGK & SBT
Tài liệu giáo viên
Sách
Khóa học
Thi online
Hỏi đáp

